Physics Exam  >  Physics Notes  >  Kinetic Theory & Thermodynamics  >  Phase Transition: Assignment

Phase Transition: Assignment | Kinetic Theory & Thermodynamics - Physics PDF Download

Q.1. The boiling point of Li is 1620K .

(a) What is the vapor pressure of liquid Lat 1000K ?

(b) Estimate the melting point of lithium from the data given.

Data:

Enthalpy of evaporation is 156 kj /mol

Vapour pressure above solid Li is given by: Phase Transition: Assignment | Kinetic Theory & Thermodynamics - Physics

(a) Integrate the Clausius Clayperon Equation 

Phase Transition: Assignment | Kinetic Theory & Thermodynamics - Physics

Phase Transition: Assignment | Kinetic Theory & Thermodynamics - Physics

(b) At the melting point of Li Psolid = Pliquid

Phase Transition: Assignment | Kinetic Theory & Thermodynamics - Physics

1.47 = Phase Transition: Assignment | Kinetic Theory & Thermodynamics - Physics

T = 375K


Q.2. (a) What is the vapor pressure of H2O at 0 100oC boiling point of water)?

(b) The water forecast tells me that it is 59oF (15oC) outside with a relative humidity of 65%. What is the dew point of that air?

Data: Enthalpy of evaporation for 0

H2O100oC = 40.6kJ /mol

(a) The boiling point is where P* = Patomsphere .So P* H2O = 1atm at the regular boiling point.

(b) The Clausius-Clayperon equation allows us to find vapor pressure at some temperature from knowledge of the vapor pressure at another temperature

Phase Transition: Assignment | Kinetic Theory & Thermodynamics - Physics 

We can integrate this between 373K and 288K

Phase Transition: Assignment | Kinetic Theory & Thermodynamics - Physics = 0.021 atm

Relative humanity is defined as Phase Transition: Assignment | Kinetic Theory & Thermodynamics - Physics

In this problem the relative humanity is 65% so we can find the  PH2O

Phase Transition: Assignment | Kinetic Theory & Thermodynamics - Physics = 0.0136 atm

The dew point is the temperature where PH2O = P*H2O. Again we integrate the Clausius- Clayperon equation, this time solving for T

Phase Transition: Assignment | Kinetic Theory & Thermodynamics - Physics

T = 281K= 8oC


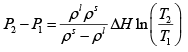
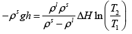
Q.3. A long vertical column is closed at the bottom and open at the top; it is partially filled with a particular liquid and cooled to -5oC . At this temperature the fluid solidifies below a particular level, remaining liquid above this level. If the temperature if further lowered to 0 -5.2oC the solid-liquid interface moves upward by 40cm . The latent heat (per unit mass) is 2cal / g and the density of the liquid phase is 1g / cm3 . Find the density of the solid phase. Neglect thermal expansion of all materials. 

(Hint: Note that the pressure at the original position of the interface remains constant)

Once again, we start with me Clausius-Clayperon equations in this form 

Phase Transition: Assignment | Kinetic Theory & Thermodynamics - Physics

Integrating we get

Phase Transition: Assignment | Kinetic Theory & Thermodynamics - Physics

Let Pbe the pressure at the original interface (T1 =-5oC ) and P2 be the pressure at the new interface (T2 =-5.2oC)

We can also relate the densities to the volume change as follows: 

Phase Transition: Assignment | Kinetic Theory & Thermodynamics - Physics

Phase Transition: Assignment | Kinetic Theory & Thermodynamics - Physics

Also, we know Phase Transition: Assignment | Kinetic Theory & Thermodynamics - Physics

Putting this together we get Phase Transition: Assignment | Kinetic Theory & Thermodynamics - Physics

Solving for the density of the solid,Phase Transition: Assignment | Kinetic Theory & Thermodynamics - Physics

Putting in the values of the know quantities (being very careful with units)

Phase Transition: Assignment | Kinetic Theory & Thermodynamics - Physics

ρs = 2.6g / cm3


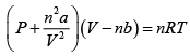
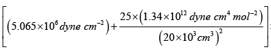
Q.4. For a gas obeying van der Walls' equation, the constants are a =1.32litre2 atm. mol-2 and b = 3.12 x 102 litremol-1 . Calculate the temperature at which 5 moles of the gas at 5atmospheric pressures will occupy a volume of 20 litre. Given R = 8.31 x 107 ergmol- K-1

The van der Waals' equation for n moles of the gas is 

Phase Transition: Assignment | Kinetic Theory & Thermodynamics - Physics

By inverting it, we can write 

T = Phase Transition: Assignment | Kinetic Theory & Thermodynamics - Physics

Here, 

a = 1.32litre2 atm. mol-2

Phase Transition: Assignment | Kinetic Theory & Thermodynamics - Physics

= 1.34x 10dyne cm4 mol-2

b = 3.12 x10-2 litre mol2

= 3.12 x 10-2cm3 mol1

= 3.12 cm3mol-1

p = 5 atm

= 5 x 1.013 x106 dyne cm-2

= 5.065 x106 dyne cm-2

V = 20 litre = 20 x103 cm3

n = 5, R = 8.31x107 erg mol-1 K-1

Phase Transition: Assignment | Kinetic Theory & Thermodynamics - Physics

T = Phase Transition: Assignment | Kinetic Theory & Thermodynamics - Physics

= 245.9K


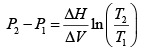
Q.5. It is found that a certain liquid boils at a temperature of 95oC at the top of a hill, whereas it bolls at a temperature of 105oC at the bottom. The latent heat is 1000 cal /mol. What is the approximately height of the hill?

There are two steps to solving this problem 

(1) What is the pressure difference in terms of the height? 

(2) What is the height of the hill?

Use the following from the Clayperon equation (this is valid for equilibrium between an ideal gas and a solid or liquid ΔH is latent Heat)

Phase Transition: Assignment | Kinetic Theory & Thermodynamics - Physics

Which in this case can be written in terms of the pressure at the top and bottom of the hill, and the respective boiling points?

Phase Transition: Assignment | Kinetic Theory & Thermodynamics - Physics

Now we write the pressure at the bottom in terms of the pressure at the top

Phase Transition: Assignment | Kinetic Theory & Thermodynamics - Physics

Substituting this,

Phase Transition: Assignment | Kinetic Theory & Thermodynamics - Physics

If we expand ln (1 + x ) we get,

Phase Transition: Assignment | Kinetic Theory & Thermodynamics - Physics

Phase Transition: Assignment | Kinetic Theory & Thermodynamics - Physics

Assuming that the air is an ideal gas, we can relate the density and pressure to the temperature using the ideal gas law

Phase Transition: Assignment | Kinetic Theory & Thermodynamics - Physics

Where ( MW ) is the molecular weight of the air? We now have 

Phase Transition: Assignment | Kinetic Theory & Thermodynamics - Physics

Plugging in some numbers ( g = 10m/s, MW= 28.8g/mol and we dealing with air at 25oC

h = Phase Transition: Assignment | Kinetic Theory & Thermodynamics - Physics

h = 2.6km


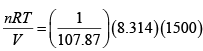
Q.6. (a) A chamber at 1500K with a volume of one cubic meter contains one gram of Ag .

What is the status of the silver in the chamber? Is it all vapor, all liquid, or part liquid and part vapor? If the latter, what fraction of the silvers is in the vapor phase?

(b) How much heat is required to evaporate one mol of Ag from a very large quantity of a silver-copper liquid solution at 1500K containing  xAg = 0.25  . Assume the solution is ideal.

Data for Silver:

Melting point =1235K 

Vapor pressure of liquid given by

Phase Transition: Assignment | Kinetic Theory & Thermodynamics - Physics

Enthalpy of melting for Ag =11.3kJ /mol

Heat capacity for liquid Ag = 33 J /mol - K

First we can find what the vapor pressure over the liquid would be under these conditions 

Phase Transition: Assignment | Kinetic Theory & Thermodynamics - Physics =  -7.95

P* =  3.54 x 10-4 atm = 35.8Pa

If all of the silver was in the vapor phase ( (1gram )

P = Phase Transition: Assignment | Kinetic Theory & Thermodynamics - Physics = 115.61Pa

Hence, there must be both liquid and vapor present 

P = P*= 35.8Pa

Now we can find the moles in the vapor phase

Phase Transition: Assignment | Kinetic Theory & Thermodynamics - Physics

Game of vapor 

Phase Transition: Assignment | Kinetic Theory & Thermodynamics - Physics

So the fraction in the vapor phase is 0.31

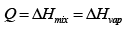
(b) In general the amount of heat necessary would be the sum of the mixing enthalpy and the enthalpy of vaporization 

Phase Transition: Assignment | Kinetic Theory & Thermodynamics - Physics

However since we are told to assume the solution is ideal, the enthalpy of mixing is zero. (This is related to the assumption that the mixing species do not interact)

Thus Phase Transition: Assignment | Kinetic Theory & Thermodynamics - Physics

Since we were not given the enthalpy of vaporization or the boiling point in the data, we must find these quantities. To find the boiling point, use the given equation for the vapor pressure and find the temperature where the pressure is equal to 1 atm .

Phase Transition: Assignment | Kinetic Theory & Thermodynamics - Physics

Choosing T = 1500 and 1600 K , the valued calculated for ΔHvap is 255 kg / mole . (If you this up you get 251 kJ / mole ) Now we can get enthalpy of vaporization at 1500K , which can be done using a loop, since we know enthalpy is a state function

Phase Transition: Assignment | Kinetic Theory & Thermodynamics - Physics

Phase Transition: Assignment | Kinetic Theory & Thermodynamics - Physics

ΔHvap (1500K )= 267kJ / mol


Q.7. The Vapor pressure of pure B at 1000K is 4 5 10 atm   . If B is in an ideal solution with another species at 1000K , its vapor pressure will be:

Higher than 5 x 10-4

Lower than 5 x 10-4

Equal to 5 x 10-4

Impossible to say

The vapor pressure of pure B at 1000 K is 5 x10-4 atm . If B is in an ideal solution with another species at 1000 K , its vapor pressure will be:

Higher than 5 x10-4 

Lower than 5 x10-4  is answer 

Equal to 5 x10-4  

Impossible to say


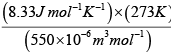
Q.8. One mole of a gas occupies a volume of 0.55 litres at 0oC . Calculate the pressure it will exert if it behaves as (a) an ideal gas and (b) as a van der Walls' gas.

Given a=  0.37 Nmmol-2 ,b = 43 x 106 m3 mol-1 and R = 8.31Jmol-1 K-1

Here V = 0.55 litre mol-1 = 550cm3mol-1 = 550 x 10-6 m3mol-1

(a) For one mole of an ideal gas, 

P = RT/V

On substituting the values of various quantities, we get 

p = Phase Transition: Assignment | Kinetic Theory & Thermodynamics - Physics

= 4.12 x106 Nm-2

(b) For one mole of van der Walls' gas, 

Phase Transition: Assignment | Kinetic Theory & Thermodynamics - Physics

= Phase Transition: Assignment | Kinetic Theory & Thermodynamics - Physics

= Phase Transition: Assignment | Kinetic Theory & Thermodynamics - Physics

= (0.48 x 106 -1.22 x 106) Nm-2

= 3.26 x 106Nm-2

As expected, the pressure exerted by a van der Waals' gas is less than that exerted by an ideal gas.

The document Phase Transition: Assignment | Kinetic Theory & Thermodynamics - Physics is a part of the Physics Course Kinetic Theory & Thermodynamics.
All you need of Physics at this link: Physics
6 videos|20 docs|32 tests

FAQs on Phase Transition: Assignment - Kinetic Theory & Thermodynamics - Physics

1. What is a phase transition in the context of the IIT JAM exam?
Ans. A phase transition, in the context of the IIT JAM exam, refers to the change in the state of matter from one phase to another due to variations in temperature, pressure, or other external factors. It is an important concept in the field of physics and is often tested in the exam.
2. How can I identify if a phase transition has occurred during an experiment?
Ans. To identify if a phase transition has occurred during an experiment, one can look for specific changes in the physical properties of the substance being studied. These changes may include alterations in the density, specific heat, thermal conductivity, or other characteristic properties. Additionally, the presence of abrupt or discontinuous changes in these properties can indicate the occurrence of a phase transition.
3. What are the different types of phase transitions that can occur?
Ans. There are several types of phase transitions that can occur, including: - Solid to liquid (melting) - Liquid to gas (vaporization) - Solid to gas (sublimation) - Liquid to solid (freezing) - Gas to liquid (condensation) - Gas to solid (deposition) These phase transitions are characterized by specific changes in the arrangement and mobility of the particles in a substance.
4. Can phase transitions be reversible?
Ans. Yes, phase transitions can be reversible. Reversible phase transitions occur when the substance returns to its original state after the external conditions causing the transition are reversed. For example, if a solid is heated and melts into a liquid, but then cools down and solidifies again, the phase transition is considered reversible.
5. How are phase transitions related to the IIT JAM exam syllabus?
Ans. Phase transitions are an important topic in the IIT JAM physics syllabus. Questions related to phase transitions may be asked to test the understanding of concepts such as the behavior of matter at different temperatures and pressures, the effects of external factors on phase transitions, and the identification of phase transitions based on physical properties. It is essential to study and comprehend phase transitions to perform well in the exam.
Related Searches

MCQs

,

Phase Transition: Assignment | Kinetic Theory & Thermodynamics - Physics

,

Viva Questions

,

practice quizzes

,

video lectures

,

Exam

,

Semester Notes

,

Important questions

,

shortcuts and tricks

,

Summary

,

Phase Transition: Assignment | Kinetic Theory & Thermodynamics - Physics

,

Sample Paper

,

Phase Transition: Assignment | Kinetic Theory & Thermodynamics - Physics

,

Objective type Questions

,

Previous Year Questions with Solutions

,

Free

,

ppt

,

past year papers

,

Extra Questions

,

pdf

,

study material

,

mock tests for examination

;