Q1: The radii 'r' of a sphere and that of the base of a cone are same. If their volumes are also same, then the height of the cone is: (1 Mark) (a) r (b) 2r (c) 3r (d) 4r
Solution:
Ans: (d) Given, radius of sphere= radius of cone= r Also, volume of sphere= volume of cone
Q2: If the volumes of two cubes are in the ratio 8 : 125, then the ratio of their surface areas is: (1 Mark) (a) 8 : 125 (b) 4 : 25 (c) 2 : 5 (d) 16 : 25
Solution:
Ans: Let a be side of one cube and b be side of another cube. Given, ratio of their volumes= 8:125 Ratio of their surface are
Q3: If the radii of the bases of a cylinder and a cone are in the ratio 3: 4 and their heights are in the ratio 2 : 3, find the ratio of their volumes. (3 Marks)
Solution:
Ans: Let r and R be the radius of cone and cylinder respectively and h and H be the height of cone and cylinder respectively. The volume of cylinder (V1) = πR2H Volume of cone (V2) =
Given,
∴ Ratio of their volumes is given by V1/V2
∴ Ratio of their volumes= 9: 8
Q4: Assertion (A) : If we join two hemispheres of same radius along their bases, then we get a sphere. (1 Mark) Reason (R) : Total surface area of a sphere of radius r is 3πr2. (a) Both Assertion (A) and Reason (R) are true and Reason (R) is the correct explanation of the Assertion (A). (b) Both Assertion (A) and Reason (R) are true, but Reason (R) is not the correct explanation of the Assertion (A). (c) Assertion (A) is true, but Reason (R) is false. (d) Assertion (A) is false, but Reason (R)
Solution:
Ans: (c) Also, total surface area of a sphere of radius r is 4πr2. So, Assertion is true, but Reason is false.
Q5: If a cone of greatest possible volume is hollowed out from a solid wooden cylinder, then the ratio of the volume of remaining wood to the volume of cone hollowed out is (1 Mark) (a) 1: 1 (b) 1: 3 (c) 2: 1 (d) 3: 1
Solution:
Ans: (c)
Let the radius and height of the cylinder be r and h respectively.
For the cone of greatest possible volume hollowed out from the cylinder:
Radius of cone = r
Height of cone = h
Step 1: Volume of the cylinder
Vcylinder = πr²h
Step 2: Volume of the cone
Vcone = (1/3)πr²h
Step 3: Volume of remaining wood
Vremaining = Volume of cylinder - Volume of cone
= πr²h - (1/3)πr²h
= (2/3)πr²h
Step 4: Required ratio
Volume of remaining wood : Volume of cone
= (2/3)πr²h : (1/3)πr²h
Cancel common terms:
= 2 : 1
Answer: The required ratio is 2 : 1.
Q6: A solid toy is in the form of a hemisphere surmounted by a right circular cone. The height of the cone is 2 cm and the diameter of the base is 4 cm. Determine the volume of the toy. Also, find the a surface area of the toy. (Take π = 3.14) (5 Marks)
Solution:
Ans: Given, diameter of conical part = Diameter of hemispherical part= 4 cm Radius of conical part (r) = radius of hemispherical part (r) = 4/2 = 2 cm. ∴ Volume of toy= Volume of hemisphere+ Volume of cone = ∴ Surface area of toy= Curved surface area of cone+ Curved surface area of hemisphere Curved Surface area of cone Curved Surface area of hemisphere Now,
Q7: A vessel is in the form of an inverted cone. Its height is 8 cm and the radius of its top, which is open, is 5 cm. It is filled with water up to the brim. When lead shots, each of which is a sphere of radius 0.5 cm, are dropped into the vessel, one-fourth of the water flows out. Find the number of lead shots dropped in the vessel. (5 Marks)
Solution:
Ans: Step 1: Volume of conical vessel (filled with water) Given:
R = 5cm
h = 8cm
Step 2: Amount of water that flows out
One-fourth of the water flows out: This volume equals the volume displaced by the spherical lead shots. Radius of sphere: r = 0.5cm
Q8: From one face of a solid cube of side 14 cm, the largest possible cone is carved out. Find the volume and surface area of the remaining solid. (use π = 22/7, √5 = 2.2) (3 Marks)
Solution:
Ans: Height of largest cone= Side of cube H = 14 cm Diameter of largest cone= Side of cube ∴ 2R = 14cm R=7cm ∴ Volume of the largest cone = 1/3πR2H
Volume of remaining solid = (side)3 - Volume of cone Slant height of cone L = 15.4 cm Surface area of remaining solid= 6(side)2 - πR2 + πRL
Q9: (a) A toy is in the form of a cone surmounted on a hemisphere. The cone and hemisphere have the same radii. The height of the conical part of the toy is equal to the diameter of its base. If the radius of the conical part is 5 cm, find the volume of the toy. OR (b) A cubical block is surmounted by a hemisphere of radius 3·5 cm. What is the smallest possible length of the edge of the cube so that the hemisphere can totally lie on the cube ? Find the total surface area of the solid so formed. (5 Marks)
Solution:
Ans:(a)
Given:
Radius r = 5 cm
Height of cone h = diameter = 2r = 10 cm
Step 1: Volume of cone
Vcone = (1/3)πr²h
= (1/3) × π × (5)² × 10
= (1/3) × π × 25 × 10
= 250π / 3 cm³
Step 2: Volume of hemisphere
Vhemisphere = (2/3)πr³
= (2/3) × π × (5)³
= (2/3) × π × 125
= 250π / 3 cm³
Step 3: Total volume of toy
V = Volume of cone + Volume of hemisphere
= 250π/3 + 250π/3
= 500π / 3 cm³
Using π = 3.14,
V = (500 × 3.14) / 3
V = 523.6 cm³ (approx)
Answer: Volume of the toy = 523.6 cm³.
(b)
Given: Radius of hemisphere r = 3.5 cm
Step 1: Smallest edge of cube
For the hemisphere to lie completely on the cube, the side of the cube must be equal to the diameter of the hemisphere.
Edge of cube a = 2r
a = 2 × 3.5 = 7 cm
Step 2: Surface area of cube
Surface area of cube = 6a²
= 6 × (7)²
= 6 × 49
= 294 cm²
Step 3: Area of circular base covered by hemisphere
Area = πr²
= (22/7) × (3.5)²
= (22/7) × 12.25
= 38.5 cm²
Step 4: Curved surface area of hemisphere
CSA = 2πr²
= 2 × 38.5
= 77 cm²
Step 5: Total surface area of solid
Total surface area = Surface area of cube - area covered + curved surface area of hemisphere
= 294 - 38.5 + 77
= 332.5 cm²
Previous Year Questions 2024
Q1: A solid iron pole consists of a solid cylinder of height 200 cm and base diameter 28 cm, which is surmounted by another cylinder of height 50 cm and radius 7 cm. Find the mass of the pole, given that 1 cm3 of iron has approximately 8 g mass. (5 Marks)
Solution:
Ans:
The pole consists of two solid cylinders.
For the smaller cylinder:
Radius r₁ = 7 cm
Height h₁ = 50 cm
For the bigger cylinder:
Diameter = 28 cm ⇒ Radius r₂ = 14 cm
Height h₂ = 200 cm
Density of iron = 8 g/cm³
Step 1: Volume of smaller cylinder
V₁ = πr₁²h₁
V₁ = π × 7² × 50
V₁ = 2450π cm³
Step 2: Volume of bigger cylinder
V₂ = πr₂²h₂
V₂ = π × 14² × 200
V₂ = 39200π cm³
Step 3: Total volume of pole
V = V₁ + V₂
V = 2450π + 39200π
V = 41650π cm³
Using π = 22/7,
V = 41650 × 22 / 7
V = 130900 cm³
Step 4: Mass of the pole
Mass = Volume × Density
Mass = 130900 × 8
Mass = 1047200 g
Converting into kilograms:
Mass = 1047.2 kg
Therefore, Mass of the iron pole = 1047.2 kg
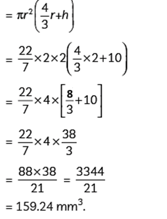
Q2: A medicine capsule is in the shape of a cylinder with two hemispheres stuck to each of its ends. The length of the entire capsule is 14 mm and the diameter of the capsule is 4 mm, find its surface area. Also, find its volume. (5 Marks)
Solution:
Ans: Here, two figures are combined, 2 hemisphere and cylinder.
Given:
Total length = 14 mm
Diameter = 4 mm ⇒ Radius r = 2 mm
Step 1: Height of cylindrical part
h = Total length - diameter
h = 14 - 4
h = 10 mm
(a) Surface Area of Capsule
Surface area = Curved surface area of cylinder + Surface area of sphere
Surface area = 2πrh + 4πr²
Substituting values:
= 2π × 2 × 10 + 4π × 2²
= 40π + 16π
= 56π
Using π = 22/7,
Surface area = 56 × 22 / 7
Surface area = 176 mm²
Surface Area = 176 mm²
(b) Volume of Capsule
Volume = Volume of cylinder + Volume of sphere
Volume = πr²h + (4/3)πr³
Substituting values:
= π × 2² × 10 + (4/3)π × 2³
= 40π + (32/3)π
= (120π + 32π) / 3
= 152π / 3
Using π = 22/7,
Volume = (152 / 3) × (22 / 7)
Volume = 159.24 mm³
Volume = 159.24 mm³
Previous Year Questions 2023
Q1: The curved surface area of a cone having a height of 24 cm and a radius 7 cm, is (1 Mark) (a) 528 cm2 (b) 1056 cm2 (c) 550 cm2 (d) 500 cm2
Solution:
Ans: (c) We have, the height of cone. h = 24 cm and radius, r = 7 cm. We know that, = = √625
= 25 Now. curved surface area = πrl = 22/7 x 7 x 25 = 550 cm2
Q6: The curved surface area of a cylinder of height 5 cm is 94.2 cm2. The radius of the cylinder is (Take π = 3.14) (1 Mark) (a) 2 cm (b) 3 cm (c) 2.9 cm (d) 6 cm
Solution:
Ans: (b) Curved surface area of cylinder = 2πrh ⇒ 94.2 = 2 x 3 .14 x r x 5 ⇒⇒ r = 3 cm
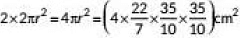
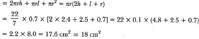
Q7: A wooden article was made by scooping out a hemisphere from each end of a solid cylinder, as shown in the figure. If the height of the cylinder is 10 cm and its base is of radius 3.5 cm.
Find the total surface area of the article. (5 Marks)
Solution:
Ans: Radius of the cylinder (r) = 3.5 cm Height of the cylinder (h) = 10 cm
Curved surface area = 2πrh
= ( 2 × 22/7 × 35/10 × 10 ) cm2
= 220 cm2
Curved surface area of a hemisphere = 2πr2
∴ Curved surface area of both hemispheres 2 × 2πr2 = 4πr2 = ( 4 × 22/7 × 35/10 × 35/10 ) cm2
= 154 cm2
Total surface area of the Article
= (220 + 154) cm2
= 374 cm2
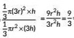
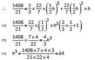
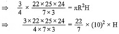
Q8: A room is in the form of a cylinder surmounted by a hemispherical dome. The base radius of the hemisphere is one-half the height of the cylindrical part. Find the total height of the room if it contains (1408/21 ) m3 of air. (Take π = 22/7 ) (3 Marks)
Solution:
Ans:
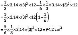
Q9: An empty cone is of radius 3 cm and height 12 cm. Ice cream is filled in it so that the lower part of the cone which is (1/6)th of the volume of the cone is unfilled but the hemisphere is formed on the top. Find the volume of the ice cream. Take (π = 3.14) (3 Marks)
Solution:
Ans: Radius of cone, r = 3 cm Height of cone, h = 12 cm Let x be the volume of unfilled part of cone.
Now, volume of cone, =
1/3 πr2h = 1/3 × 3.14 × (3)2 × 12
Volume of filled part of cone = Volume of cone - Volume of unfilled part of cone
Now, volume of ice-cream = volume of filled part of cone + volume of hemisphere
= 94.2 + (23 × 3.14 × (3)3) = 150.72 cm3
Previous Year Questions 2022
Q10: The radius of the base and the height of a solid right circular cylinder are in the ratio 2:3 and its volume is 1617 cm3. Find the total surface area of the cylinder. Take [π = 22/7] (3 Marks)
Solution:
Ans: Given ratio of radius and height of the right circular cylinder = 2:3 Let radius (r) of the base be 2x and height(h) be 3x. Volume of cylinder, V = πr2h
1617 = 22/7 × (2x)2 × 3x
⇒ 1617 = 22/7 × 4x2 × 3x
x3 = 11319/264 x3 = 42.875 x = 3.5
Radius r = 2x = 2 × 3.5 = 7 cm
and height h = 3x = 3 × 3.5 = 10.5 cm
Total surface area of cylinder = 2πr (h + r)
= 2 × 22 /7 × (10.5 + 7)
= 44 × 17.5 cm2
= 770 cm2
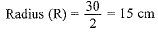
Q11: Case Study : John planned a birthday party for his younger sister with his friends. They decided to make some birthday caps by themselves and to buy a cake from a bakery shop. For these two items they decided on the following dimensions: Cap : Conical shape with base circumference 44 cm and height 24 cm. Cake : Cylindrical shape with diameter 24 cm and height 14 cm.
Based on the above information answer the following questions. (a) How many square cm paper would be used to make 4 such caps? (b) The bakery shop sells cakes by weight (0.5 kg, 1 kg, 1.5 kg. etc..}. To have the required dimensions how much cake should they order if 650 cm3 equals 100 g of cake? (5 Marks)
Solution:
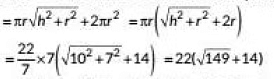
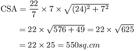
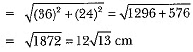
Ans: Paper required to make four caps is 2,200 sq.cm. Weight of the cake for required dimensions is 1kg. Step-by-step explanation: (a) Given the base circumference of the cone, c = 44 cm Height of a cone, h = 24 cm. Base circumference of the cone, c = 2πr = 44 cm Thus, the radius of the cone is
r = 44/2 ×22/7 = 7 cm
The curved surface area of the cone is given by
CSA = πr √h2 + r2
Substituting the values of h and r,
CSA = 227 × 7 × √(24)2 + 72
= 22 × √576 + 49 = 22 × √625
= 22 × 25 = 550 sq. cm Thus, to make one cap, 550 sq.cm of paper is required. Then to make four caps, the required paper is 550 x 4 = 2200 sq. cm Therefore, 2,200 sq.cm of paper is required to make four caps. (b) Given the diameter of cylindrical shape cake, d = 24 cm Height of cylindrical shape cake, h = 14 cm. Radius of the cylindrical shape cake,
r = d2 = 242 = 12 cm
Volume of the cylinder is given by V = πr2h
Substituting the values of h and r,
V = 227 × (12)2 × 14
V = 227 × 144 × 14
= 22 × 144 × 2 = 6,336 cm3
The required volume of the cylindrical shape cake is 6,336 cm3.
Given 650 cm3 equals 100 g of cake.
Then the required weight of the cake is
6336650 × 100 = 974.76 g
Given the bakery shop sells cakes by weight of 0.5 kg, 1 kg, 1.5 kg, etc.
Since, 974.76 g ≈ 1 kg, therefore, the cake of 1 kg should be ordered for required dimensions.
Q12: Three cubes of side 6 cm each, are joined as shown in given figure. Find the total surface area of the resulting cuboid. (2 Marks)
Solution:
Ans: The dimension of the cuboids so formed are length = 18 cm breath = 6 cm and height = 6 cm. Surface area of cuboids = 2 (l× b + b × h + l × h) = 2 × (18 × 6 + 6 × 6+ 18 × 6) = 504 cm2
Q13: Case Study : A 'circus' is a company of performers who put on shows of acrobats, downs etc to entertain people started around 250 years back, in open fields, now generally performed in tents. One such 'Circus Tent is shown below.The tent is in the shape of a cylinder surmounted by a conical top. If the height and diameter of cylindrical part are 9 m and 30 m respectively and height of conical part is 8 m with same diameter as that of the cylindrical part, then find (i)the area of the canvas used in making the tent. (ii)the cost of the canvas bought for the tent at the rate Rs. 200 per sq. m. if 30 sq. m canvas was wasted during stitching. (3 Marks)
Solution:
Ans: According to given information, we have the following figure.
Clearly, the radius of conical part = radius of cylindrical part = 30/2 = 15 m = r ...(say) Let h and H be the height of conical and cylindrical part respectively. Then h = 8 m and H = 9 m = 17 m
(i) The area of the canvas used in making the tent = Curved surface area of cone + Curved surface area of cylinder = πrl + 2πrH = πr(l + 2H) = 1650 m2 (ii) Area of canvas bought for the tent = (1650 + 30) m2 = 1680 m2 Now, this cost of the canvas height for the tent = ₹ (1680 × 200) = ₹ 3,36,000
Previous Year Questions 2021
Q14: Water is being pumped out through a circular pipe whose internal diameter is 8 cm. If the rate of flow of water is 80 cm/s. then how many litres of water is being pumped out through this pipe in one hour? (2 Marks)
Solution:
Ans: Given diameter of circular pipe = 8 cm So, radius of circular pipe = 4cm Length of flow of water in one sec = 80 cm length of flow of water in one hour = 80 x 60 x 60 cm=288000 cm=h Volume of cylinderical pipe in one hour = πr2h = 14482.28 litre [approx.] 14482.28 litres of water being pumped out through this pipe in 1 hr.
Previous Year Questions 2020
Q15: A solid spherical ball fits exactly inside the cubical box of side 2a. The volume of the ball is (1 Mark) (a) 163 πr3 (b) 16 πr3 (c) 323 πr3 (d) 4/3 πr3
Solution:
Ans: (d)
Diameter of sphere = Distance between opposite faces of cube = 2a Radius of sphere = a So, volume of spherical ball = 4/3 πr3 = 4/3 πr3
Q16: The radius of a sphere (in cm) whose volume is 12 πcm3, is (1 Mark) (a) 3 (b) 3√3 (c) 32/3 (d) 31/3
Solution:
Ans: (c) Let radius of the sphere be r. According to the question, ⇒
Q17: Two cones have their heights in the ratio 1: 3 and radii in the ratio 3 : 1 . What is the ratio of their volumes? (2 Marks)
Solution:
Ans: Let height of one cone be h and height of another cone be 3h. Radius, of one cone is 3r and radius of another cone is r. ∴ Ratio o f their volumes = = 3 : 1
Q18: How many cubes of side 2 cm can be made from a solid cube of side 10 cm? (2 Marks)
Solution:
Ans: Let n be the number of solid cubes of 2cm made from a solid cube of side 10 cm.
∴ n x Volume of one small cube = Volume of big cube ⇒ n x (2)3 = (10)3 ⇒ 8n = 1000 ⇒ n = 1000/8 = 125 Thus, the number of solid cubes formed of side 2 cm each is 125.
Q19: A cone and a cylinder have the same radii but the height of the cone is 3 times that of the cylinder. Find the ratio of their volumes. (2 Marks)
Solution:
Ans:Let the radius and the height of the cylinder are r and h respectively. So, radios of t he cone is r and height of the cone is 3h. ∴ Volume of the cylinder = πr2h So Volume of cone = So, require ratio = = 1 : 1
Q20: A well of diameter 3 m is dug 14 m deep. The earth taken out of it has been spread evenly all around it in the shape of a circular ring of width 4 m to form a platform. Find the height of the platform.(Take π = 22/7) (5 Marks)
Solution:
Ans: Given that, the depth of the well is 14 m and the diameter is 3 m. The width of the circular ring of the embankment is 4 m. A figure is drawn below to visualize the shapes. From the above figure, we can observe that the shape of the well will be cylindrical, and earth evenly spread out to form an embankment around the well in a circular ring will be cylindrical in shape (Hollow cylinder) having outer and inner radius.
Volume of the earth taken out from well = Volume of the earth used to form the embankment
Hence, Volume of the cylindrical well = Volume of the hollow cylindrical embankment
Let us find the volume of the hollow cylindrical embankment by subtracting volume of inner cylinder from volume of the outer cylinder.
Volume of the cylinder = πr2h where r and h are the radius and height of the cylinder respectively.
Depth of the cylindrical well, = h₁ = 14 m
Radius of the cylindrical well, = r = 3/2 m = 1.5 m
Width of embankment = 4 m
Inner radius of the embankment, r = 3/2 m = 1.5 m
Outer radius of the embankment, R = Inner radius + Width
R = 1.5 m + 4 m
= 5.5 m
Let the height of embankment be h
Volume of the cylindrical well = Volume of the hollow cylindrical embankment
πr2h1 = πR2h - πr2h
πr2h1 = πh (R2 - r2)
r2h1 = h (R - r )(R + r)
h = [(r2h1)/(R - r)(R + r)]
h = [((1.5 m)2 × 14 m)/(5.5 m - 1.5 m)(5.5 m + 1.5 m)]
= (2.25 m2 × 14 m)/(4m × 7 m)
= 1.125 m
Therefore, the height of the embankment will be 1.125 m.
Q21: In Figure, a solid toy is in the form of a hemisphere surmounted by a right circular cone. The height of the cone is 2 cm and the diameter of the base is 4 cm. Determine the volume of the toy. [Take π = 3.14] (2 Marks)
Solution:
Ans: Given diameter of conical part = Diameter of hemispherical part = 4cm ∴ Radios of conical part (r) = Radius of hemispherical part (r) = 4/2 = 2 cm Height of conical part (h) = 2 cm ∴ Volume of toy = Volume of hemisphere + volume of cone = 3 .14 x 4(1.33 + 0.66)= 3.14 x 4 x 1.99 cm3 Volume of the toy = 24.99 cm3
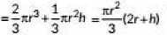
Q22: A solid toy is in the form of a hemisphere surmounted by a right circular cone of same radius. The height of the cone is 10 cm and the radius of the base is 7 cm. Determine the volume of the toy. Also find the area of the coloured sheet required to cover the toy. (Use π = 22/7 and √149 = 12.2) (3 Marks)
Solution:
Ans: Radius of the cone = Radius of the hemisphere = r = 7cm Height of the cone, h = 10 cm Now, volume of the toy = volume of hemisphere + volume of cone
23 πr3 + 13 πr2 h = πr23 (2r + h)
= 13 × 227 × 7 × 7 (2×7 + 10)
= 22 × 7 × 243
= 1232 cm3
Curved surface area of the toy = Curved surface area of cone + Curved surface area of hemisphere
= πrl + 2πr2
= πr √h2 + r2 + 2πr2
= 227 × 7 × √(10)2 + 72 + 2πr2
= 22 × √100 + 49 + 14
= 22 × √149 + 14
= 22(12.2 + 14) = 22 x 26.2 = 576.4 cm3
Q23: From a solid right circular cylinder of height 14 cm and base radius 6 cm, a right circular cone of same height and same base radius is removed. Find the volume of the remaining solid. (2 Marks)
Solution:
Ans: Radius of cylinder = Radius of cone = r = 6 cm. Height of cylinder = Height of cone = h = 14 cm Volume of remaining solid = πr2h - 1/3πr2h = 2/3πr2h = 2/3 x 22/7 x 6 x 6 x 14 = 2 x 22 x 2 x 6 x 2 = 1056cm3 Hence, the volume of the remaining solid is 1056 cm3.
Previous Year Questions 2019
Q24: A solid is in the form of a cylinder with hemispherical ends. The total height of the solid is 20 cm and the diameter of the cylinder is 7 cm. Find the total volume of the solid. (Use π = 22/7). (2 Marks)
Solution:
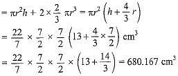
Ans: Radius of cylinderical part (r) = Radius of each spherical part(r) = 7/2 cm Height of cylinderical part (h) = 20 - 7/2 - 7/2 = 13 cm Now. Volume of the solid = Volume of cylinderical part + Volume of two hemispherical endsVolume of the solid = Volume of the solid = 680.17 cm3.
Q25: A juice seller was serving his customers using glasses as shown in the given figure. The inner diameter of the cylindrical glass was 5 cm but bottomof the glass had a hemispherical raised portion which reduced the capacity of the glass. lf the height of the glass was 10 cm, find the apparent and actual capacity of the glass {Use π = 3.14) (3 Marks)
Solution:
Ans: Base radius = 5/2 = 2.5 cm Apparent capacity of glass = Volume of cylindrical portion = πr2h = 3.14 x (2.5)2 x 10 = 196.25 cm3 Actual capacity of the glass = Volume of cylinder - Volume of hemisphere = 196.25 - 32.71 = 163.54 cm3
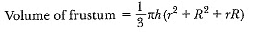
Q26: A bucket open at the top is in the form of a frustum of a cone with a capacity of 12308.8 cm3. The radii of the top and bottom of circular ends of the bucket are 20 cm and 12 cm respectively. Find the height of the bucket and also the area of the metal sheet used in making it. (Use π = 3.14) (3 Marks)
Solution:
Ans: r = 12 cm, R = 20 cm, V = 12308.8 cm3
Volume of frustum = 13 πh (r2 + R2 + rR)
12308810 = 13 × 314100 × (144 + 400 + 240) × h
h = 123088 × 3 × 10314 × 784
h = 15 cm
l = √(h2 + r2) = √(225 + 64) = √289 = 17 cm Area of metal sheet used = π(R + r)l + πr2 = π(20 + 12) x 17 + π x 144 Hence, the height of the bucket is 15 cm and the area of the metal sheet used is 2160.32 cm2.
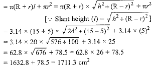
Q27: An open metal bucket is in the shape of a frustum of a cone, mounted on a hollow cylindrical base made of the same metallic sheet (Fig). The diameters of the two circular ends of the bucket are 45 cm and 25 cm, the total vertical height of the bucket is 40 cm and that of the cylindrical base is 6 cm. Find the area of the metallic sheet used to make the bucket, where we do not take into account the handle of the bucket. Also, find the volume of water the bucket can hold. (3 Marks)
Solution:
Ans: The total height of the bucket = 40 cm, which includes the height of the base. So, the height of the frustum of the cone = (40 - 6) cm = 34 cm. Therefore, the slant height of the frustum,
l = √(R2 + (r1 - r2)2)
where, r1 = 452 cm = 22.5 cm
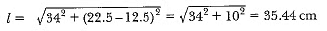
r2 = 252 cm = 12.5 cm and h = 34 cm
So, l = √(342 + (22.5 - 12.5)2) = √(342 + 102) = 35.44 cm
Area of the metallic sheet used
Curved surface area of frustum of cone + Area of circular base + Curved surface area of cylinder
Q28: A cylindrical bucket, 32 cm high and with a radius of base 18 cm, is filled with sand. This bucket is emptied on the ground and a conical heap of sand is formed. If the height of the conical heap is 24 cm, find the radius and slant height of the heap. OR A girl empties a cylindrical bucket, full of sand, of base radius 18 cm and height 32 cm, on the floor to form a conical heap of sand. If the height of this conical heap is 24 cm, then find its slant height correct up to one place of decimal. (3 Marks)
Solution:
Ans: We have, Radius of cylindrical bucket =18 cm Height of cylindrical bucket = 32 cm And the height of conical heap = 24 cm Let the radius of the conical heap be r cm Volume of the sand = volume of the cylindrical bucket = πr2h = π x (18)2 x 32 Now, volume of conical heap Here, volume of the conical heap will be equal to the volume of sand ∴ 8πr2 = π x (18)2 x 32 ⇒ r2 = 18 x 18 x 4 = (18)2 x (2)2 ⇒ r2 = (36)2 or r = 36 cm
Previous Year Questions 2018
Q29: The diameters of the lower and upper ends of a bucket in the form of a frustum of a cone are 10 cm and 30 cm respectively. If its height is 24 cm, find the area of the metal sheet used to make the bucket. [Use π = 3.14] (3 Marks)
Solution:
Ans:
For bucket,
Upper diameter (D) = 30 cm
∴ Radius (R) = 302 = 15 cm
Lower diameter (d) = 10 cm
Radius (r) = 102 = 5 cm
Height of bucket (h) = 24 cm
The area of the metal sheet used = CSA of the frustum (bucket) + Area of bottom part (base)
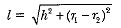
Q30: A metallic right circular cone 20 cm high whose vertical angle is 60° which is cut into two parts at the middle of its height by a plane parallel to its base. If the frustum so obtained be drawn into a wire of diameter 1/16 cm, find the length of the wire. (3 Marks)
Solution:
Ans: Let VAB be the metallic right circular cone of height 20 cm. Suppose this cone is cut by a plane parallel to its base at a point O' such that VO' = O' O i.e., O' is the midpoint of VO. Let r1 and r2 be the radii of circular ends of the frustum ABB' A'. Now, in ΔVOA and VO' A', we have
⇒ tan 30° = OAVO and tan 30° = O'A'V'O'
⇒ 1√3 = r120 and 1√3 = r210
⇒ r1 = 20√3 and r2 = 10√3
∴ Volume of the frustum = 13 πh (r12 + r22 + r1r2)
Let the length of wire of diameter 1/16 cm be l cm. Then,
Volume of metal used in wire
= π × (1/32)2× l = πl/1024 cm3
Since the frustum is recast into a wire of length l cm and diameter 1/16 cm,
∴ Volume of the metal used in wire = volume of the frustum
⇒ πl1024 = 7000π9
⇒ l = 7000 × 10249
= 796144.4 cm = 7964.444 m
Q31: A solid metallic cylinder of diameter 12 cm and height 15 cm is melted and recast into toys each in the shape of a cone of radius 3 cm and height 9 cm. Find the number of toys so formed. (3 Marks)
Solution:
Ans: Diameter of metallic cylinder = 12 cm ∴ Radius of metallic cylinder (r) = 6 cm Height (h) = 15 cm Volume of cylinder = πr2h = π(6)2 x 15 cm3 Radius of cone = 3 cm Height of cone = 9 cm Volume of cone = 1/3 π(3)2 x 9 = 3 x 9π cm3 Number of toys so formed = If the question is "A tent is in the form of a cylinder surmounted by a cone. Find the capacity of the tent and the cost of canvas for making the tent at Rs 100 per sq.m.", then the solution is given as "Tent is a combination of a cylinder and a cone. For capacity ∴ Volume (capacity) of the tent = Volume of the cylindrical part + Volume of the conical part For the cost of the canvas, we find the total surface area. Total surface area = Curved area of the cylindrical part + Curved surface area of the conical part Now, proceed to find its cost." Note: Don't solve as "Total surface area of canvas = Total surface area of cylinder + Total surface area of a cone and proceed further" This is the wrong solution.
Q32: The 3/4th part of a conical vessel of internal radius 5 cm and height 24 cm is full of water. The water is emptied into a cylindrical vessel with an internal radius of 10 cm. Find the height of water in a cylindrical vessel. (3 Marks)
Solution:
Ans: Radius of conical vessel (r) = 5 cm Height of conical vessel (h) = 24 cm Radius of cylindrical vessel (R) = 10 cm
Let H be the height of water in the cylindrical vessel.
Now, the total volume of the conical vessel
= 13 πr2h = 13 × 227 × (5)2 × 24 cm3
= 22 × 25 × 247 × 3 cm3
According to the question,
3/4 of the volume of water from the conical vessel is emptied into the cylindrical vessel.
⇒ 34 × Volume of conical vessel = Volume of water in the cylindrical vessel
⇒ 34 × 22 × 25 × 247 × 3 = πR2H
⇒ 3 × 22 × 25 × 244 × 7 × 3 = 227 × (10)2 × H
⇒ 25 × 6 = 10 × 10 × H
⇒ H1 = 25 × 610 × 10
⇒ H = 1.5 cm
∴ Height of water in the cylindrical vessel = 1.5 cm
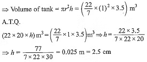
Q33: In a rain-water harvesting system, the rainwater from a roof of 22 m x 20 m drains into a cylindrical tank having a diameter of base 2 m and height of 3.5 m. If the tank is full, find the rainfall in cm. (3 Marks)
Solution:
Ans:Length of roof (l) = 22 m Breadth of roof (b) = 20 m Let the height of water column collected on roof= hm ∴ Volume of standing water on rooftop = lbh = (22 x 20 x h) m3 This water is taken into a cylindrical tank of diameter of base 2 m and height 3.5 m. Tank gets completely filled with this amount of water. ⇒ Volume of water from roof-top = Volume of cylinder Diameter of tank = 2 m ∴ Radius of tank = 2/2 = 1 m
⇒ Volume of tank = πr2h
= 227 × (1)2 × 3.5 m3
A.T.Q.
(22 × 20 × h) m3 = 227 × 1 × 3.5 m3
⇒ h = 22 × 3.57 × 22 × 20
⇒ h = 777 × 22 × 30
= 0.025 m = 2.5 cm Hence rainfall is 2.5 cm.
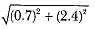
Q34: From a solid cylinder whose height is 2.4 cm and diameter 1.4 cm, a conical cavity of the same height and same diameter is hollowed out. Find the total surface area of the remaining solid to the nearest cm2. (3 Marks)
Solution:
Ans: We have, Radius of the cylinder = Height of the cylinder = 2.4 cm Also, radius of the cone = 0.7 cm and height of the cone = 2.4 cm Now, slant height of the cone =
∴ Total surface area of the remaining solid = curved surface area of cylinder + curved surface area of the cone + area of upper circular base of the cylinder.
Q35: A circus tent is in the shape of a cylinder surmounted by a conical top of the same diameter. If their common diameter is 56 m, the height of the cylindrical part is 6 m and the total height of the tent above the ground is 27 m, find the area of canvas used in making the tent. (3 Marks)
Solution:
Ans:
Total height of the tent above the ground = 27 m
Height of the cylindrical part,
h1 = 6 m
Height of the conical part,
h2 = 21 m
Diameter = 56 m
Radius = 28 m
Curved surface area of the cylinder, CSA1
= 2πrh = 2π × 28 × 6 = 336π
Curved surface area of the cone, CSA2
= πrl = π × 28 × √h22 + r2
= π × 28 × √212 + 282
= 28π × √441 + 784
= 28π × 35
= 980π
Total curved surface area = CSA of cylinder + CSA of cone
= CSA1 + CSA2
= 336π + 980π
= 1316π
= 4136 m2
Previous Year Questions 2016
Q36: A sphere of diameter 12 cm, is dropped in a right circular cylindrical vessel, partly filled with water. If the sphere is completely submerged in water, the water level in the cylindrical vessel rises by Find the diameter of the cylindrical vessel. (2 Marks)
Solution:
Ans: Volume of sphere = 4/3 π(6)3 cm3
Volume of water rise in cylinder
= πr2329 cm3
∴ πr2329 = 4/3 π(6)3
⇒ r2 = 4 × 2 × 36 × 932 = 81
⇒ r = 9 cm
Previous Year Questions 2015
Q37: Two spheres of the same metal weigh 1 kg and 7 kg. The radius of the smaller sphere is 3 cm. The two spheres are melted to form a single big sphere. Find the diameter of the new sphere. (3 Marks)
Solution:
Ans: Volume of the smaller sphere
= 4/3 πr3 = 4/3 π(3)3 = 4/3 π(27) = 36π
Volume of smaller sphere × density = mass
∴ 36π (density of metal) = 1
Density of metal = 1/36π
∴ Volume of bigger sphere × density = mass
= 4/3 π (R)3 × (1/36π) = 7
R3 = (7 × 36 × 3)/4 = 7 × 9 × 3
(i) Volume of new sphere = volume of smaller sphere + volume of bigger sphere
4/3 π(R')3 = 4/3 πr3 + 4/3 πR3 (where R' is the radius of the new sphere)
= 4/3 π(3)3 + 4/3 π(7 × 9 × 3) [using (i)]
= 4/3 π [33 + 7 × 9 × 3]
(R')3 = [33 + 7 x 33] (R')3 = 33(l + 7) (R')3 = 33 x 8 (R')3 = 33 x 23 R' =3 x 2 R' = 6 cm ∴ Diameter of new sphere =12 cm.
Q38: A hemispherical bowl of internal diameter 36 cm contains liquid. This liquid is filled into 72 cylindrical bottles of diameter 6 cm. Find the height of each bottle, if 10% liquid is wasted in this transfer. (2 Marks)
Solution:
Ans: Radius of hemispherical bowl, R = 36/2 = 18 cm Radius of cylindrical bottle, r = 6/2 = 3 cm Let height of cylindrical bottle = h Since 10% liquid is wasted, therefore only 90% liquid is filled into 72 cylindrical bottles. ∴ The volume of 72 cylindrical bottles = 90% of the volume in the bowl
Q39: A cone with radius 10 cm is divided into two parts by drawing a plane through the mid-point of its axis, parallel to its base. Compare the volumes of the two parts. (3 Marks)
Solution:
Ans: Let.BC = r cm, DE = 10 cm Since B is the mid-point of AD and BC is parallel to DE, therefore C is the mid-point of AE. ∴ AC = CE Also, ΔABC ~ ΔADE ∴ The required ratio = 1 : 7.
FAQs on Previous Year Questions: Surface Areas & Volumes
1. What are the main formulas for surface area and volume that come up in CBSE Class 10 board exams?
Ans. Surface area and volume formulas for cubes, cuboids, cylinders, cones, and spheres are most frequently tested in CBSE Class 10 board exams. Cube surface area is 6a², volume is a³. Cuboid surface area is 2(lw + lh + wh), volume is l×w×h. Cylinder surface area is 2πr(r+h), volume is πr²h. Cone lateral surface area is πrl, total is πr(r+l), volume is ⅓πr²h. Sphere surface area is 4πr², volume is ⁴⁄₃πr³. Students should memorise these for quick problem-solving during exams.
2. How do I know when to use curved surface area versus total surface area in previous year questions?
Ans. Curved surface area excludes the bases (tops and bottoms), while total surface area includes all surfaces. For cylinders and cones, curved surface area is used when only the lateral surface is painted or covered. Total surface area applies when the entire solid needs to be painted, including bases. Previous year CBSE questions often specify which measurement is needed; read carefully before calculating to avoid losing marks on surface area problems.
3. Why do previous year Class 10 maths questions combine surface area and volume in a single problem?
Ans. Examiners combine these concepts to test whether students understand how surface area and volume relate differently to object dimensions. Increasing radius affects volume more dramatically than surface area. Previous year questions reward students who recognise this distinction-a typical problem asks for surface area reduction when volume remains constant, testing conceptual clarity rather than mere formula application and calculation skills.
4. What's the most common mistake students make with hemisphere and composite solid problems in CBSE previous year questions?
Ans. Students frequently forget that hemispheres have one flat circular base included in total surface area calculations. For composite solids (cylinder with cone on top, for example), learners miscalculate by adding complete surface areas instead of removing overlapping circular faces. Previous year questions test this error deliberately. Always sketch the solid, identify which surfaces are actually exposed, and subtract internal faces before calculating total surface area for composite structures.
5. How should I approach solving a previous year question involving a combination of shapes like a cylinder with a hemisphere on top?
Ans. Break composite solids into individual shapes and calculate each surface area separately, then combine selectively. For a cylinder with hemisphere, use curved surface area of cylinder plus curved surface area of hemisphere plus the base of cylinder-excluding the top circular face since the hemisphere covers it. Volume combines both component volumes directly: πr²h (cylinder) plus ⅔πr³ (hemisphere). Refer to mind maps and visual worksheets on EduRev to practise these step-by-step combinations efficiently.
practice quizzes, ppt, Summary, past year papers, Previous Year Questions with Solutions, video lectures, Previous Year Questions: Surface Areas & Volumes, Objective type Questions, Exam, MCQs, shortcuts and tricks, Previous Year Questions: Surface Areas & Volumes, study material, Extra Questions, Sample Paper, Free, mock tests for examination, Viva Questions, Semester Notes, Previous Year Questions: Surface Areas & Volumes, pdf , Important questions;