Q1. A bucket has top and bottom diameters of 40 cm and 20 cm respectively. Find the volume of the bucket if its depth is 12 cm. Also find the cost of tin sheet for making the bucket at the rate of Rs 1.20 per dm2m2
Soln: Given
Diameter to top of bucket = 40 cm
Radius 
Diameter of bottom part of the bucket = 20 cm
Radius 
Depth of the bucket (h) = 12 cm
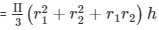
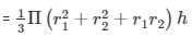
Volume of the bucket 

= 8800 cm3
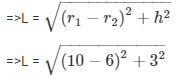
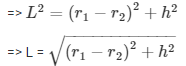
Let 'L' be slant height of the bucket


=>L = 15.620cm
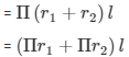
Total surface area of bucket 


= 17.87 dm 2
Given that cost of tin sheet used for making bucket per dm2 = Rs 1.20
So total cost for
= Rs 21.40.
∴Cost for 17.87 dm2 = Rs 21.40
Q2. A frustum of a right circular cone has a diameter of base 20cm, of top 12 cm and height 3 cm. find the area of its whole surface and volume.
Sol: Given base diameter of cone (d1)=20 cm
Radius 
Top diameter of Cone (d2) =12cm

Height of the cone (h)= 3cm
Volume of the frustum right circular cone 

=616 cm2
Let 'L' be the slant height of cone


=>L = 5 cm
Slant height of cone(L) = 5 cm
Total surface area of the cone 


Total surface area of the cone = 678.85 cm2
Q 3. The slant height of the frustum of a cone is 4 cm and perimeters of its circular ends are 18 cm and 6 cm. Find the curved surface of the frustum.
Soln:
Given slant height of frustum of cone (l) = 4 cm
Let ratio of the top and bottom circles be r1 and r2
Given perimeters of its ends as 18 cm and 6 cm

Curved surface area of frustum cone 

= (9 + 3)*4
= (12)*4
= 48cm2
Curved surface area of the frustum cone = 48 cm2
Q4. The perimeters of the ends of a frustum of a right circular cone are 44 cm and 33 cm. If the height of the frustum be 16 cm, find its volume, the slant surface and the total surface.
Soln:
Given:
Perimeters of ends of frustum right circular cone are 44 cm and 33 cm
Height of the frustum cone = 16 cm
Perimeter = 


Let the slant height of frustum right circular cone be L

L = 16.1 cm
Slant height of the frustum cone = 20.37 cm
Curved surface area of the frustum cone = 

Curved surface area of the frustum cone = 619.65 cm3
Volume of the frustum cone 

= 1898.56 cm3
Total surface area of the frustum cone 

= 860.27 cm2
total surface area of the frustum cone = 860.27 cm2
Q.5: If the radius of circular ends of a conical bucket which is 45 cm high be 28 cm and 7 cm. Find the capacity of the bucket.
Soln:
Given
Height of the conical bucket = 45 cm
Radii of the 2 circular ends of the conical bucket is 28 cm and 7 cm
r1 = 28 cm
r2 = 7 cm
Volume of the conical bucket 

Volume = 48510 cm3
Q6. If the radii of circular end of a bucket 24 cm high are 5 and 15 cm. Find surface area of the bucket.
Soln:
Given height of the bucket (h) = 24 cm
Radius of the circular ends of the bucket 5 cm and 15 cm

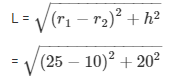
Let 'L' be the slant height of the bucket


=>L = 26 cm
Curved surface area of the bucket =


Curved surface area of the bucket = 
Q7. The radii of circular bases of a frustum of a right circular cone are 12 cm and 3 cm and the height is 15 cm. Find the total surface area and volume of frustum.
Soln:
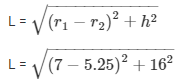
Let slant height of the frustum cone be 'L'
Given height of frustum cone = 12 cm
Radii of a frustum cone are 12 cm and 3 cm

L=Extra close brace or missing open brace

L = 15 cm
Total surface area of cone =

Total surface area = 378 cm2
Volume of frustum cone = 

Volume of the frustum cone 
Q8. A tent consists of a frustum of a cone capped by a cone. If radii of ends of frustum be 13 m and 7 m the height of frustum be 8 m and the slant height of the conical cap be 12 m. Find canvas required for the tent.
Soln:
Given height of frustum (h) = 8 m
Radii of the frustum cone are 13 cm and 7 cm

Let 'L' be slant height of the frustum cone


=>L = 10 m
Curved surface area of frustum

Curved surface area of frustum 
Given slant height of conical cap = 12 m
Base radius of upper cap cone = 7 m
Curved surface area of upper cap cone 

=264m2
Total canvas required for tent 

total canvas = 892.57 m2
Q9. A bucket is in the form of a frustum of a cone with a capacity of 12308.8 cm3 of water. Radii of the top and bottom circular ends are 20 cm and 12 cm respectively. Find the height of the bucket and the area of the metal sheet used in its making.
Soln:
Radii of top circular ends (r1)=20 cm
Radii of bottom circular end of bucket (r2)=12cm
Let height of bucket be 'h'
Volume of frustum cone 

Given capacity/ volume of the bucket = 12308.8 cm3...(b)
Equating (a) and (b)

=> h =15cm
height of the bucket (h) = 15 cm
Let 'L' be slant height of bucket

=> L = 17 cm
length of the bucket/ slant height of the bucket (L) =17 cm
Curved surface area of bucket = 

= 2160.32 cm²
curved surface area = 2160.32 cm²
Q10. A bucket made of aluminum sheet is of height 20 cm and its upper and lower ends are of radius 25 cm and 10 cm. Find cost of making if the aluminum sheet costs Rs 70 per 100 cm2.
Soln:
Given height of bucket (h) = 20 cm
Upper radius of bucket (r1)= 25 cm
Lower radius of the bucket (r2)= 10 cm
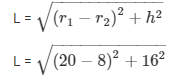
Let 'L' be slant height of the bucket

= 25 cm
slant height of bucket (L) = 25 cm
Curved surface area of bucket = 

=3061.5 cm2
curved surface area = 3061.5 cm2
Cost of making bucket per 100 cm2=Rs 70
Cost of making bucket per 3061.5 
= Rs 2143.05
Total cost for 3061.5 cm2= Rs 2143.05
Q11. Radii of circular ends of a solid frustum of a cone are 33 cm and 27 cm and its slant height is 10 cm. Finds its total surface area.
Soln:
Given slant height of frustum cone = 10 cm
Radii of circular ends of frustum cone are 33 cm and 27 cm

Total surface area of a solid frustum of cone


Total surface area = 7599.42 cm2
Q12. A bucket made up of a metal sheet is in from of a frustum of cone of height 16 cm with diameters of its lower and upper ends as 16 cm and 40 cm. Find the volume of the bucket. Also find the cost of the bucket if the cost of metal sheet used id Rs 20 per 100 cm2 .
Soln:
Given height of frustum cone = 16 cm
Diameter of the lower end of the bucket d1=16cm
Lower end radius 
Upper end radius 
Let 'L' be slant height of frustum of cone


L = 20 cm
slant height of the frustum cone L = 20 cm
Volume of the frustum cone 

Volume of the frustum cone = 10449.92 cm2
Curved surface area of the frustum cone 


Cost of the metal sheet per 100 cm2 = Rs 20
Cost of the metal sheet per 624 
Cost of the metal sheet = 391.9
Q13. A solid is in the shape of a frustum of a cone. The diameters of two circular ends are 60 cm and 36 cm and height is 9 cm. find area of its whole surface and volume.
Soln:
given height of the frustum cone = 9 cm
Lower end radius 
Upper end radius 
Let slant height of the frustum cone be L


L = 15 cm
Volume of the frustum cone 

Volume 
Total surface area of frustum cone 

= 1944Picm2
total surface area 
Q14. A milk container is made of metal sheet in the shape of frustum cone whose volume is 10459 cm3. The radii of its lower and upper circular ends are 8 cm and 20 cm. Find the cost of metal sheet used in making container at a rate of Rs 1.40 per cm2.
Soln:
Given,
Lower end radius r1 = 8cm
upper end radius r2 = 20 cm
Let the height of the container be 'h'

Volume of the milk container = 

V1 - V2

=> h= 16 cm
Height of frustum cone (h) = 16 cm
Let slant height of frustum cone be 'L'

L = 20 cm
Slant height of frustum cone (L) = 20 cm
Total surface area of the frustum cone


= 3216.99 cm2
Total surface area of the frustum = 3216.99 cm2
Q.15: A reservoir in form of frustum of a right circular cone contains
liters of water which fills it completely. The radii of bottom and top of the reservoir are 50 m and 100 m. Find the depth of water and lateral surface area of the reservoir.
Soln:
Let depth of frustum cone be h
Volume of first cone (V) 


Volume of the reservoir =
liters -- (b)
Equating (a)and(b)

h = 24
Q.16: A metallic right circular cone 20 cm high and whose vertical angle is 900 is cut into two parts at the middle point of its axis by a plane parallel to the base. If frustum so obtained be drawn into a wire of diameter 1/16 cm. Find the length of the wire.
Soln:
let ABC be the cone. Height of metallic cone
AO = 20 cm
-> Cone is cut into two parts at the middle point of its axis
Hence height of frustum cone AD= 10 cm
Since angle A is right angles. So each angles B and C = 450

Angles E and F = 450
Let radii of top and bottom circle of frustum
Cone be r1 and r2


m