Physics Exam  >  Physics Notes  >  Kinetic Theory & Thermodynamics  >  Thermodynamical Potential: Assignment

Thermodynamical Potential: Assignment | Kinetic Theory & Thermodynamics - Physics PDF Download

Q.1. The Helmholtz free energy of a system given by, F = A+ BT(1-lnT) -CT lnV where A, B,C are constatnt. Obtain expression for pressure, entropy, internal energy, enthalpy and gibbs energy?

dU = TdS- PdV , H = U+ PV , F = U-TS , G = H- TS

dF = -PdV - SdT

Hence, Thermodynamical Potential: Assignment | Kinetic Theory & Thermodynamics - Physics

and Thermodynamical Potential: Assignment | Kinetic Theory & Thermodynamics - Physics

Also U = ( F+ TS )

U = A + BT (1 - ln T) - CT ln V + TB ln T + TC lnV = (A + BT )

H = (U + PV ) = (A+ BT)+CT

G = H - TS = (A+ BT + CT)- TB ln T - TC lnV = A + BT (1- ln T) + CT (1- lnV )


Q.2. Prove that for n -moles of an ideal gas

(a) F = Thermodynamical Potential: Assignment | Kinetic Theory & Thermodynamics - Physics

(b) G = Thermodynamical Potential: Assignment | Kinetic Theory & Thermodynamics - Physics

where a,a2 ,b1 and b2 are constant parameter.

(a) F = U- TS , dF = dU- d (TS )

F = Thermodynamical Potential: Assignment | Kinetic Theory & Thermodynamics - Physics

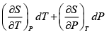
S = S (T ,V)

dS = Thermodynamical Potential: Assignment | Kinetic Theory & Thermodynamics - Physics

TdS = Thermodynamical Potential: Assignment | Kinetic Theory & Thermodynamics - Physics

dS = Thermodynamical Potential: Assignment | Kinetic Theory & Thermodynamics - Physics

S =Thermodynamical Potential: Assignment | Kinetic Theory & Thermodynamics - Physics

Thermodynamical Potential: Assignment | Kinetic Theory & Thermodynamics - Physics

(b) G = ( H - TS ) = U + PV - TS

dG = (dU + PdV + VdP) - d (TS ) = dU + nRdT - d (TS )

Thermodynamical Potential: Assignment | Kinetic Theory & Thermodynamics - Physics

Thermodynamical Potential: Assignment | Kinetic Theory & Thermodynamics - Physics

and S = S (T , P)

Thermodynamical Potential: Assignment | Kinetic Theory & Thermodynamics - Physics

Thermodynamical Potential: Assignment | Kinetic Theory & Thermodynamics - Physics

Thermodynamical Potential: Assignment | Kinetic Theory & Thermodynamics - Physics

S = Thermodynamical Potential: Assignment | Kinetic Theory & Thermodynamics - Physics

Hence, G = Thermodynamical Potential: Assignment | Kinetic Theory & Thermodynamics - Physics

Q.3. If equation of state is given P = Thermodynamical Potential: Assignment | Kinetic Theory & Thermodynamics - Physics

(a) Find the Thermodynamical Potential: Assignment | Kinetic Theory & Thermodynamics - Physics

(b) If volume is expanded from Vto Vat very high temperature then what will be change in internal energy?

(a) Thermodynamical Potential: Assignment | Kinetic Theory & Thermodynamics - Physics

P = Thermodynamical Potential: Assignment | Kinetic Theory & Thermodynamics - Physics

Thermodynamical Potential: Assignment | Kinetic Theory & Thermodynamics - Physics

= Thermodynamical Potential: Assignment | Kinetic Theory & Thermodynamics - Physics

Thermodynamical Potential: Assignment | Kinetic Theory & Thermodynamics - Physics

(b)  for very high temperature Thermodynamical Potential: Assignment | Kinetic Theory & Thermodynamics - Physics

Thermodynamical Potential: Assignment | Kinetic Theory & Thermodynamics - Physics


Q.4. The entropy function of a system is given by S(E) = aE(E0 - E) where a and  E0 are positive constants.

(a) For what is condition that energy E temperature is negative .

(b) Plot temperature with energy of the system .

(a) From first and second law of thermodynamics 

Thermodynamical Potential: Assignment | Kinetic Theory & Thermodynamics - Physics

Thermodynamical Potential: Assignment | Kinetic Theory & Thermodynamics - Physics = Thermodynamical Potential: Assignment | Kinetic Theory & Thermodynamics - Physics ⇒ T = Thermodynamical Potential: Assignment | Kinetic Theory & Thermodynamics - Physics

For negative temperature Thermodynamical Potential: Assignment | Kinetic Theory & Thermodynamics - Physics

Thermodynamical Potential: Assignment | Kinetic Theory & Thermodynamics - Physics

(b) T = Thermodynamical Potential: Assignment | Kinetic Theory & Thermodynamics - Physics


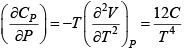
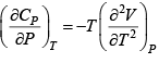
Q.5. Calculate the Variation of CP with pressure at constant temperature for a substance whose equation of state is given by relation V = Thermodynamical Potential: Assignment | Kinetic Theory & Thermodynamics - Physics

Thermodynamical Potential: Assignment | Kinetic Theory & Thermodynamics - Physics

Thermodynamical Potential: Assignment | Kinetic Theory & Thermodynamics - Physics = Thermodynamical Potential: Assignment | Kinetic Theory & Thermodynamics - Physics

Thermodynamical Potential: Assignment | Kinetic Theory & Thermodynamics - Physics


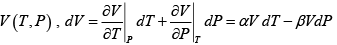
Q.6. If α = Thermodynamical Potential: Assignment | Kinetic Theory & Thermodynamics - Physics, β = Thermodynamical Potential: Assignment | Kinetic Theory & Thermodynamics - Physics then prove that for an ideal gas prove that

(a) Thermodynamical Potential: Assignment | Kinetic Theory & Thermodynamics - Physics

(b) Thermodynamical Potential: Assignment | Kinetic Theory & Thermodynamics - Physics

(c) Thermodynamical Potential: Assignment | Kinetic Theory & Thermodynamics - Physics

(a) α = Thermodynamical Potential: Assignment | Kinetic Theory & Thermodynamics - Physics, β = Thermodynamical Potential: Assignment | Kinetic Theory & Thermodynamics - Physics

Thermodynamical Potential: Assignment | Kinetic Theory & Thermodynamics - Physics

Thermodynamical Potential: Assignment | Kinetic Theory & Thermodynamics - Physics Thermodynamical Potential: Assignment | Kinetic Theory & Thermodynamics - Physics Thermodynamical Potential: Assignment | Kinetic Theory & Thermodynamics - Physics

V = Thermodynamical Potential: Assignment | Kinetic Theory & Thermodynamics - Physics

dU = Thermodynamical Potential: Assignment | Kinetic Theory & Thermodynamics - Physics

dU = Thermodynamical Potential: Assignment | Kinetic Theory & Thermodynamics - Physics

(b) H = U+ PV , dH = dU + PdV +VdP = TdS - PdV + PdV +VdPdH = TdS +VdP

S = S (T , P)

dS = Thermodynamical Potential: Assignment | Kinetic Theory & Thermodynamics - Physics

Thermodynamical Potential: Assignment | Kinetic Theory & Thermodynamics - Physics

Thermodynamical Potential: Assignment | Kinetic Theory & Thermodynamics - Physics

(c) F = (U- TS )

dF = (TdS - PdV) - (TdS + SdT) = -PdV - SdT

and, V = V (T , P)

Thermodynamical Potential: Assignment | Kinetic Theory & Thermodynamics - Physics

Thermodynamical Potential: Assignment | Kinetic Theory & Thermodynamics - Physics

Thermodynamical Potential: Assignment | Kinetic Theory & Thermodynamics - Physics


Q.7. The specific Gibbs energy of an ideal gas is given as-

G = Thermodynamical Potential: Assignment | Kinetic Theory & Thermodynamics - Physics

where B is a function of T only obtain the equation of state of gas?

we know that 

G = Thermodynamical Potential: Assignment | Kinetic Theory & Thermodynamics - Physics, dG = Thermodynamical Potential: Assignment | Kinetic Theory & Thermodynamics - Physics

Thermodynamical Potential: Assignment | Kinetic Theory & Thermodynamics - Physics

comparing on both sides, we have

Thermodynamical Potential: Assignment | Kinetic Theory & Thermodynamics - Physics


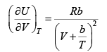
Q.8. The equation of state of a gas is given by V = Thermodynamical Potential: Assignment | Kinetic Theory & Thermodynamics - Physics

where R is the gas constant and b is another constant parameter. Show that the specific heat at constant pressure Cand the specific heat at constant volume CV for this gas is related by Thermodynamical Potential: Assignment | Kinetic Theory & Thermodynamics - Physics

Thermodynamical Potential: Assignment | Kinetic Theory & Thermodynamics - Physics

Thermodynamical Potential: Assignment | Kinetic Theory & Thermodynamics - Physics

Thermodynamical Potential: Assignment | Kinetic Theory & Thermodynamics - Physics

It is given V = Thermodynamical Potential: Assignment | Kinetic Theory & Thermodynamics - Physics

Thermodynamical Potential: Assignment | Kinetic Theory & Thermodynamics - Physics

P = Thermodynamical Potential: Assignment | Kinetic Theory & Thermodynamics - Physics

= Thermodynamical Potential: Assignment | Kinetic Theory & Thermodynamics - Physics

= Thermodynamical Potential: Assignment | Kinetic Theory & Thermodynamics - Physics

Thermodynamical Potential: Assignment | Kinetic Theory & Thermodynamics - Physics


Q.9. Helmholtz free energy is given by αVT4 where α > 0 .

(a) Find the value of internal energy

(b) For the adiabatic process prove that VT3 = K where K is constant parameter.

(a)    U = F+ TS

Thermodynamical Potential: Assignment | Kinetic Theory & Thermodynamics - Physics

U =αVT+ T.4αVT3 = 3αVT4 

(b) for adiabatic change dQ = 0 ⇒ TdS = 0, S = constant

Thermodynamical Potential: Assignment | Kinetic Theory & Thermodynamics - Physics = 4αVT3 = constant so VT3 = K


Q.10. For a particular thermodynamic system the entropy S is related to the internal energy U and volume V by Thermodynamical Potential: Assignment | Kinetic Theory & Thermodynamics - Physics

S = Thermodynamical Potential: Assignment | Kinetic Theory & Thermodynamics - Physics

Thermodynamical Potential: Assignment | Kinetic Theory & Thermodynamics - Physics ⇒ T = Thermodynamical Potential: Assignment | Kinetic Theory & Thermodynamics - Physics

Thermodynamical Potential: Assignment | Kinetic Theory & Thermodynamics - Physics

G = U Thermodynamical Potential: Assignment | Kinetic Theory & Thermodynamics - Physics = 0

The document Thermodynamical Potential: Assignment | Kinetic Theory & Thermodynamics - Physics is a part of the Physics Course Kinetic Theory & Thermodynamics.
All you need of Physics at this link: Physics
6 videos|20 docs|32 tests

FAQs on Thermodynamical Potential: Assignment - Kinetic Theory & Thermodynamics - Physics

1. What is a thermodynamical potential?
Ans. A thermodynamical potential is a concept used in thermodynamics to describe the state of a system. It is a function of the state variables of the system, such as pressure, temperature, and volume, and provides information about the equilibrium conditions and the ability of the system to do work. Examples of thermodynamical potentials include internal energy, enthalpy, and Helmholtz free energy.
2. How is a thermodynamical potential related to equilibrium conditions?
Ans. A thermodynamical potential is related to equilibrium conditions through the concept of minimum or maximum values. At equilibrium, a thermodynamical potential reaches its minimum or maximum value depending on the specific potential. For example, at constant temperature and pressure, the Gibbs free energy reaches its minimum value at equilibrium. These equilibrium conditions provide insights into the stability and behavior of a system.
3. Can you explain the concept of internal energy as a thermodynamical potential?
Ans. Internal energy is a thermodynamical potential that represents the total energy of a system. It includes the kinetic and potential energies of the particles within the system. Changes in internal energy are related to heat transfer and work done on or by the system. The first law of thermodynamics states that the change in internal energy of a system is equal to the heat added to the system minus the work done by the system.
4. What is the significance of thermodynamical potentials in practical applications?
Ans. Thermodynamical potentials are of great significance in practical applications as they provide valuable information about a system's behavior and its ability to do work. For example, the Helmholtz free energy is often used to determine the stability and spontaneous processes in chemical reactions. The Gibbs free energy is used to predict phase transitions and equilibrium conditions. Understanding and manipulating thermodynamical potentials is crucial in fields such as engineering, chemistry, and physics.
5. How are thermodynamical potentials related to the study of phase transitions?
Ans. Thermodynamical potentials play a key role in the study of phase transitions. They provide insights into the conditions at which a phase transition occurs and the stability of different phases. For instance, the Helmholtz free energy can help determine the critical temperature and pressure for phase transitions. By analyzing the behavior of thermodynamical potentials, scientists can understand and predict the changes in the physical properties of a substance during phase transitions.
Related Searches

Sample Paper

,

Thermodynamical Potential: Assignment | Kinetic Theory & Thermodynamics - Physics

,

study material

,

Summary

,

mock tests for examination

,

video lectures

,

Thermodynamical Potential: Assignment | Kinetic Theory & Thermodynamics - Physics

,

shortcuts and tricks

,

Free

,

Objective type Questions

,

past year papers

,

Thermodynamical Potential: Assignment | Kinetic Theory & Thermodynamics - Physics

,

practice quizzes

,

Extra Questions

,

Previous Year Questions with Solutions

,

Viva Questions

,

Semester Notes

,

ppt

,

pdf

,

Exam

,

Important questions

,

MCQs

;