JEE Exam  >  JEE Notes  >  Physics for JEE Main & Advanced  >  Vectors: Definition, Types & Unit Vectors

Vectors: Definition, Types & Unit Vectors | Physics for JEE Main & Advanced PDF Download

Scalar and Vector Quantities

Scalar Quantities

  • Definition: Scalars have only magnitude (a numerical value with unit) and no direction.
  • Examples: Mass (5 kg), Temperature (300 K), Time (10 s), Work (20 J), Electric charge (2 C).

You can add or subtract scalars by simple arithmetic. 
E.g., Time taken = 5 s + 10 s = 15 

Vectors: Definition, Types & Unit Vectors | Physics for JEE Main & Advanced

 Vector Quantities

  • Definition: Vectors have both magnitude and direction.
  • Examples: Displacement (10 m east), Velocity (20 m/s north), Force (5 N upward), Acceleration.
  • Representation: Usually shown by an arrow, where:
    Arrow length → magnitude
    Arrow head → directionVectors: Definition, Types & Unit Vectors | Physics for JEE Main & Advanced

Question for Vectors: Definition, Types & Unit Vectors
Try yourself:
Which of the following is a scalar quantity?
View Solution

Representation of a Vector

  • Vectors are like arrows. Arrows have two important things: how long they are (that's their size), and the direction they point. 
  • Think of a vector like an arrow, where one end is where it starts (that's the tail), and the other end is where it's pointing to (that's the head). 
  • So, a vector has a length and shows you a specific direction, just like an arrow.

Vectors: Definition, Types & Unit Vectors | Physics for JEE Main & AdvancedExamples of VectorsVectors: Definition, Types & Unit Vectors | Physics for JEE Main & AdvancedParts of a Vector

Types of Vectors

There are 10 types of vectors in mathematics which are:

Vectors: Definition, Types & Unit Vectors | Physics for JEE Main & Advanced

All these vectors are extremely important and the concepts are frequently required in mathematics and other higher-level science topics. The detailed explanations on each of these 10 vector types are given below.

1. Zero Vector

A zero vector is a vector when the magnitude of the vector is zero and the starting point of the vector coincides with the terminal point.

"In other words, for a vector Vectors: Definition, Types & Unit Vectors | Physics for JEE Main & Advanced , the coordinates of the point A are the same as those of the point B, then the vector is said to be a zero vector and is denoted by 0.Vectors: Definition, Types & Unit Vectors | Physics for JEE Main & Advanced

This follows that the magnitude of the zero vector is zero, and the direction of such a vector is indeterminate.

2. Unit Vector

A vector which has a magnitude of unit length is called a unit vector.

Suppose if Vectors: Definition, Types & Unit Vectors | Physics for JEE Main & Advanced is a vector having a magnitude x, then the unit vector is denoted by in the direction of the vector Vectors: Definition, Types & Unit Vectors | Physics for JEE Main & Advanced and has the magnitude equal to 1. Therefore, Vectors: Definition, Types & Unit Vectors | Physics for JEE Main & Advanced

Vectors: Definition, Types & Unit Vectors | Physics for JEE Main & Advanced

It must be carefully noted that any two unit vectors must not be considered equal because they might have the same magnitude, but the direction in which the vectors are taken might be different.

3. Position Vector

If O is taken as reference origin and P is an arbitrary point in space then the vector Vectors: Definition, Types & Unit Vectors | Physics for JEE Main & Advanced is called as the position vector of the point.

Vectors: Definition, Types & Unit Vectors | Physics for JEE Main & Advanced

Position vector simply denotes the position or location of a point in the three-dimensional Cartesian system with respect to a reference origin.

4. Co-initial Vectors

The vectors which have the same starting point are called co-initial vectors.

Vectors: Definition, Types & Unit Vectors | Physics for JEE Main & AdvancedCo- initial Vectors

5. Like and Unlike Vectors

The vectors having the same direction are known as like vectors. On the contrary, the vectors having the opposite direction with respect to each other are termed to be unlike vectors.

Vectors: Definition, Types & Unit Vectors | Physics for JEE Main & Advanced

6. Co-planar Vectors

Three or more vectors lying in the same plane or parallel to the same plane are known as co-planar vectors.

Vectors: Definition, Types & Unit Vectors | Physics for JEE Main & Advanced

7. Collinear Vectors

Vectors that lie along the same line or parallel lines are known to be collinear vectors. They are also known as parallel vectors.

Two vectors are collinear if they are parallel to the same line, irrespective of their magnitudes and direction. For any two vectors to be parallel to one another, the condition is that one of the vectors should be a scalar multiple of the other vector. 

The figure below shows the collinear vectors in the opposite direction.
Vectors: Definition, Types & Unit Vectors | Physics for JEE Main & Advanced

8. Equal Vectors

Two or more vectors are said to be equal when their magnitude is equal and also their direction is the same.

Vectors: Definition, Types & Unit Vectors | Physics for JEE Main & Advanced

9. Displacement Vector

If a point is displaced from position A to B then the displacement AB represents a vector Vectors: Definition, Types & Unit Vectors | Physics for JEE Main & Advanced which is known as the displacement vector.

10. Negative of a Vector

If two vectors are the same in magnitude but exactly opposite in direction then both the vectors are negative of each other.

For instance, if vector a has the same magnitude as vector b but points in the opposite direction, it can be represented as a = -b.Vectors: Definition, Types & Unit Vectors | Physics for JEE Main & Advanced

Suppose if 

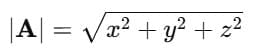
Magnitude of a Vector

The magnitude of a vector is a crucial measure that provides the numeric value for a given vector. It is denoted as Vectors: Definition, Types & Unit Vectors | Physics for JEE Main & Advancedand can be calculated using the formula:

Vectors: Definition, Types & Unit Vectors | Physics for JEE Main & Advanced = √(a² + b² + c²)

This formula summarizes the individual measures of the vector along the x, y, and z axes.

Question for Vectors: Definition, Types & Unit Vectors
Try yourself:
What is a vector?
View Solution

Unit Vector: Representation & Notation

As we have studied the definition of unit vectors above, Let's study in detail more.

Unit Vectors î, ĵ, k̂

In a three-dimensional coordinate system, the unit vectors î, ĵ, and k̂ are particularly significant. They represent unit vectors along the x, y, and z axes, respectively, each having a magnitude of 1. These unit vectors form the basis for expressing any vector in three-dimensional space.

Unit Vector Notation and Formula

Unit vectors are denoted by the symbol (^) and can be calculated using the formula:

Vectors: Definition, Types & Unit Vectors | Physics for JEE Main & Advanced

Here, A represents the given vector, and |A| is the magnitude of vector A. The resulting unit vector Vectors: Definition, Types & Unit Vectors | Physics for JEE Main & Advancedhas the same direction as A but a magnitude of 1.

How to Find a Unit Vector

A unit vector is a vector that has the same direction as the given vector but its magnitude is 1.

To get it, simply divide the vector by its own magnitude.

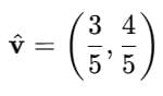
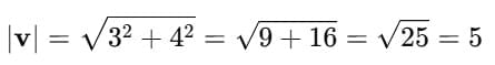
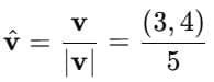
Example

Suppose the given vector is:Vectors: Definition, Types & Unit Vectors | Physics for JEE Main & Advanced

Step 1: Find the magnitude of v.

Vectors: Definition, Types & Unit Vectors | Physics for JEE Main & Advanced

Step 2: Divide the vector by its magnitude.Vectors: Definition, Types & Unit Vectors | Physics for JEE Main & Advanced

Step 3: Simplify each component.Vectors: Definition, Types & Unit Vectors | Physics for JEE Main & Advanced

Representation of  Unit Vectors

Suppose a vector is given as: A = (x , y , z)

Step 1: Find the magnitude of the vectorVectors: Definition, Types & Unit Vectors | Physics for JEE Main & Advanced

Step 2: Divide each component by the magnitude

(a) Bracket FormatVectors: Definition, Types & Unit Vectors | Physics for JEE Main & Advanced

(b) Component (Unit Vector) FormatVectors: Definition, Types & Unit Vectors | Physics for JEE Main & Advanced

Solved Examples

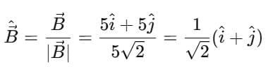
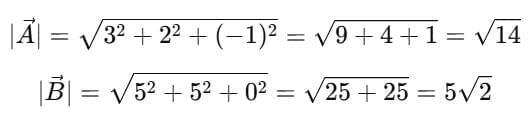
Example 1: Given the vectors: A = 3i + 2j – k and B = 5i +5j.
Determine:

1. Their magnitude.
2. The direction of B.
3. Vectors: Definition, Types & Unit Vectors | Physics for JEE Main & Advanced
4. Vectors: Definition, Types & Unit Vectors | Physics for JEE Main & Advanced
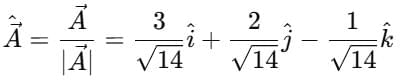
5. A unit vector parallel to A.
6. A vector of magnitude 2 and opposite to B

Ans. Given: Vectors: Definition, Types & Unit Vectors | Physics for JEE Main & Advanced

1) Magnitudes

Vectors: Definition, Types & Unit Vectors | Physics for JEE Main & Advanced

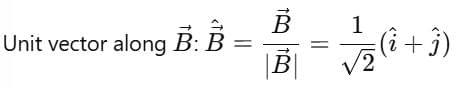
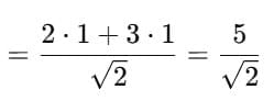
2) Direction of Vectors: Definition, Types & Unit Vectors | Physics for JEE Main & Advanced

Unit vector along Vectors: Definition, Types & Unit Vectors | Physics for JEE Main & AdvancedVectors: Definition, Types & Unit Vectors | Physics for JEE Main & Advanced

3. 

Vectors: Definition, Types & Unit Vectors | Physics for JEE Main & Advanced

4. 

Vectors: Definition, Types & Unit Vectors | Physics for JEE Main & Advanced

5. Unit vector parallel to Vectors: Definition, Types & Unit Vectors | Physics for JEE Main & Advanced

Vectors: Definition, Types & Unit Vectors | Physics for JEE Main & Advanced
Vectors: Definition, Types & Unit Vectors | Physics for JEE Main & Advanced

6. Vectors: Definition, Types & Unit Vectors | Physics for JEE Main & Advanced
Vector of magnitude 2 opposite to Vectors: Definition, Types & Unit Vectors | Physics for JEE Main & Advanced
Vectors: Definition, Types & Unit Vectors | Physics for JEE Main & Advanced

Example 2:  How many minimum number of coplanar vectors having different magnitudes can be added to give zero resultant?

Sol: Since the magnitudes are different, two vectors cannot give zero resultant. By the Triangle Law of Vector Addition, at least three coplanar vectors are required to form a closed triangle and hence give a zero resultant.Vectors: Definition, Types & Unit Vectors | Physics for JEE Main & Advanced

From the figure we can say that,Vectors: Definition, Types & Unit Vectors | Physics for JEE Main & Advanced

Therefore, we can say that,Vectors: Definition, Types & Unit Vectors | Physics for JEE Main & Advanced

So we can say that a minimum of 3 coplanar vectors is required to represent the same physical quantity having different magnitudes that can be added to give zero resultant.

Example 3: The square of the resultant of two equal forces is three times their product. What is the angle between the forces?

Sol: Let A and B be the two forces and θ be the angle between them.
Given: A = B = F, and R= 3AB = 3F2

Formula (parallelogram law):

Vectors: Definition, Types & Unit Vectors | Physics for JEE Main & AdvancedSubstitute A = B = F:Vectors: Definition, Types & Unit Vectors | Physics for JEE Main & AdvancedEquate with given:Vectors: Definition, Types & Unit Vectors | Physics for JEE Main & Advanced∴ Angle:Vectors: Definition, Types & Unit Vectors | Physics for JEE Main & Advanced

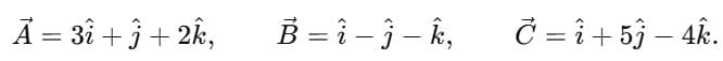
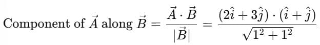
Example 4: Vectors: Definition, Types & Unit Vectors | Physics for JEE Main & Advanced

Sol: Vectors: Definition, Types & Unit Vectors | Physics for JEE Main & Advanced

Vectors: Definition, Types & Unit Vectors | Physics for JEE Main & Advanced

Example 5: Prove that the three vectors Vectors: Definition, Types & Unit Vectors | Physics for JEE Main & Advancedare at right angles to one another.

Sol. Let Vectors: Definition, Types & Unit Vectors | Physics for JEE Main & Advanced
Vectors are mutually perpendicular if every pair has zero dot product.
Vectors: Definition, Types & Unit Vectors | Physics for JEE Main & AdvancedSince Vectors: Definition, Types & Unit Vectors | Physics for JEE Main & Advanced
Therefore, all three vectors are at right angles to one another.

The document Vectors: Definition, Types & Unit Vectors | Physics for JEE Main & Advanced is a part of the JEE Course Physics for JEE Main & Advanced.
All you need of JEE at this link: JEE
268 videos|780 docs|209 tests

FAQs on Vectors: Definition, Types & Unit Vectors - Physics for JEE Main & Advanced

1. What are scalar and vector quantities?
Ans.Scalar quantities are those that have only magnitude, such as temperature and mass, while vector quantities have both magnitude and direction, such as velocity and force.
2. How is a vector represented graphically?
Ans.A vector is represented graphically by an arrow. The length of the arrow indicates the magnitude of the vector, and the direction of the arrow indicates the vector's direction.
3. What are the different types of vectors?
Ans.The different types of vectors include zero vectors (having zero magnitude), unit vectors (having a magnitude of one), equal vectors (having the same magnitude and direction), and co-initial vectors (having the same initial point).
4. What is a unit vector and how is it denoted?
Ans.A unit vector is a vector that has a magnitude of one and indicates direction. It is usually denoted by a hat symbol, for example, $\hat{a}$ for vector 'a', or by using the notation $\vec{u} = \frac{\vec{a}}{|\vec{a}|}$.
5. Can you provide an example of how to add vectors?
Ans.To add vectors, you can use the triangle or parallelogram method. For example, if vector A = 3 units to the east and vector B = 4 units to the north, the resultant vector can be calculated using the Pythagorean theorem, resulting in a magnitude of 5 units in a direction northeast.
Related Searches

MCQs

,

shortcuts and tricks

,

study material

,

Important questions

,

pdf

,

Types & Unit Vectors | Physics for JEE Main & Advanced

,

ppt

,

Previous Year Questions with Solutions

,

Vectors: Definition

,

Summary

,

practice quizzes

,

Types & Unit Vectors | Physics for JEE Main & Advanced

,

video lectures

,

Vectors: Definition

,

Viva Questions

,

past year papers

,

Types & Unit Vectors | Physics for JEE Main & Advanced

,

Objective type Questions

,

Sample Paper

,

Exam

,

Extra Questions

,

Free

,

mock tests for examination

,

Vectors: Definition

,

Semester Notes

;