Relations for ΔH and ΔS for Liquids | Additional Documents & Tests for Civil Engineering (CE) PDF Download

Relations for ΔH and ΔS for Liquids

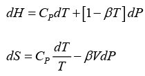
One starts with the generic equations for dH and dS developed in section 5.4.

Relations for ΔH and ΔS for Liquids | Additional Documents & Tests for Civil Engineering (CE)              .......(5.20)

Relations for ΔH and ΔS for Liquids | Additional Documents & Tests for Civil Engineering (CE)               .......(5.22)

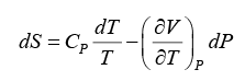
As discussed in section 2.3, for liquids it is often simpler to use volume expansivity and isothermal compressibility parameters for computing thermodynamic properties of interest.  Thus from eqn. 2.3: 

Relations for ΔH and ΔS for Liquids | Additional Documents & Tests for Civil Engineering (CE)

Using eqn. 2.3 in 5.20 and 5.22 the following relations obtain:

Relations for ΔH and ΔS for Liquids | Additional Documents & Tests for Civil Engineering (CE)               .......(5.66, 5.67)

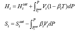
The above equations may also be used to compute the properties of a compressed liquid state. Since the volumetric properties of liquids are very weakly dependent of pressure one can often use the saturated liquid phase properties as reference points and integrate the eqns. 5.66 to 5.67 (at constant temperature) to obtain enthalpy and entropy respectively. The relevant equations are:

Relations for ΔH and ΔS for Liquids | Additional Documents & Tests for Civil Engineering (CE)               .......(5.68, 5.69)

In the last two equations, the molar volume V i may be set equal to Vi sat (liq.) , and the volume expansivity approximated to that at the saturated liquid point at the given temperature.

The document Relations for ΔH and ΔS for Liquids | Additional Documents & Tests for Civil Engineering (CE) is a part of the Civil Engineering (CE) Course Additional Documents & Tests for Civil Engineering (CE).
All you need of Civil Engineering (CE) at this link: Civil Engineering (CE)
64 docs|6 tests

FAQs on Relations for ΔH and ΔS for Liquids - Additional Documents & Tests for Civil Engineering (CE)

1. What are the definitions of ΔH and ΔS in relation to liquids in civil engineering?
Ans. ΔH refers to the change in enthalpy, which represents the heat energy gained or lost during a chemical reaction or phase change. ΔS, on the other hand, stands for the change in entropy, which measures the degree of disorder or randomness in a system.
2. How are ΔH and ΔS related in the context of liquids in civil engineering?
Ans. In liquids, ΔH and ΔS are related through the Gibbs Free Energy equation: ΔG = ΔH - TΔS. This equation provides insights into the spontaneity of a reaction or process. If ΔG is negative, the reaction or process is spontaneous, indicating that it can occur without any external intervention. If ΔG is positive, the reaction or process is non-spontaneous and requires external energy input to proceed.
3. What implications do positive ΔH and positive ΔS have for liquids in civil engineering?
Ans. Positive ΔH indicates an endothermic process, meaning that heat is absorbed from the surroundings. In the context of liquids in civil engineering, this could be relevant for processes such as evaporation or cooling systems. Positive ΔS, on the other hand, suggests an increase in disorder or randomness. This could be significant for systems involving mixing or diffusion of liquids.
4. Can ΔH and ΔS values be used to predict the feasibility of a liquid-based civil engineering project?
Ans. Yes, ΔH and ΔS values can be utilized to assess the feasibility of a liquid-based civil engineering project through the calculation of ΔG. If ΔG is negative, the project is thermodynamically feasible, indicating that it can proceed spontaneously. However, other factors such as practical considerations, cost, and safety must also be taken into account when evaluating the overall viability of a project.
5. How can the values of ΔH and ΔS be determined experimentally for liquids in civil engineering?
Ans. The values of ΔH and ΔS can be determined experimentally through techniques such as calorimetry and thermogravimetry. Calorimetry measures the heat changes associated with a process, allowing the determination of ΔH. Thermogravimetry, on the other hand, measures the mass changes of a substance as a function of temperature, enabling the calculation of ΔS. These experimental methods provide valuable data for understanding the thermodynamic behavior of liquids in civil engineering applications.
Related Searches

Relations for ΔH and ΔS for Liquids | Additional Documents & Tests for Civil Engineering (CE)

,

Sample Paper

,

Viva Questions

,

Free

,

Extra Questions

,

pdf

,

Relations for ΔH and ΔS for Liquids | Additional Documents & Tests for Civil Engineering (CE)

,

shortcuts and tricks

,

Previous Year Questions with Solutions

,

Objective type Questions

,

past year papers

,

Exam

,

ppt

,

study material

,

Semester Notes

,

Relations for ΔH and ΔS for Liquids | Additional Documents & Tests for Civil Engineering (CE)

,

mock tests for examination

,

Summary

,

practice quizzes

,

video lectures

,

Important questions

,

MCQs

;