White Noise | Communication System - Electronics and Communication Engineering (ECE) PDF Download

WHITE NOISE: 

White noise is a random signal (or process) with a flat power spectral density. In other words, the signal contains equal power within a fixed bandwidth at any center frequency. White noise draws its name from white light in which the power spectral density of the light is distributed over the visible band in such a way that the eye's three color receptors (cones) are approximately equally stimulated. In statistical sense, a time series rt is called a white noise if {rt} is a sequence of independent and identically distributed (iid) random variables with finite mean and variance. In particular, if rt is normally distributed with mean zero and variance σ , the series is called a Gaussian white noise.

An infinite-bandwidth white noise signal is a purely theoretical construction. The bandwidth of white noise is limited in practice by the mechanism of noise generation, by the transmission medium and by finite observation capabilities. A random signal is considered "white noise" if it is observed to have a flat spectrum over a medium's widest possible bandwidth.

 

WHITE NOISE IN A SPATIAL CONTEXT: 

While it is usually applied in the context of frequency domain signals, the term white noise is also commonly applied to a noise signal in the spatial domain. In this case, it has an auto correlation which can be represented by a delta function over the relevant space dimensions. The signal is then "white" in the spatial frequency domain (this is equally true for signals in the angular frequency domain, e.g., the distribution of a signal across all angles in the night sky)'

 

 STATISTICAL PROPERTIES:

The image to the right displays a finite length, discrete time realization of a white noise process generated from a computer.

Being uncorrelated in time does not restrict the values a signal can take. Any distribution of values is possible (although it must have zero DC components). Even a binary signal which can only take on the values 1 or -1 will be white if the sequence is statistically uncorrelated. Noise having a continuous distribution, such as a normal distribution, can of course be white.

It is often incorrectly assumed that Gaussian noise (i.e., noise with a Gaussian amplitude distribution — see normal distribution) is necessarily white noise, yet neither property implies the other. Gaussianity refers to the probability distribution with respect to the value i.e. the probability that the signal has a certain given value, while the term 'white' refers to the way the signal power is distributed over time or among frequencies.

We can therefore find Gaussian white noise, but also Poisson, Cauchy, etc. white noises. Thus, the two words "Gaussian" and "white" are often both specified in mathematical models of systems. Gaussian white noise is a good approximation of many real-world situations and generates mathematically tractable models. These models are used so frequently that the term additive white Gaussian noise has a standard abbreviation: AWGN. Gaussian white noise has the useful statistical property that its values are independent (see Statistical independence).

White noise is the generalized mean-square derivative of the Wiener process or Brownian motion.

 

APPLICATIONS: 

It is used by some emergency vehicle sirens due to its ability to cut through background noise, which makes it easier to locate.

White noise is commonly used in the production of electronic music, usually either directly or as an input for a filter to create other types of noise signal. It is used extensively in audio synthesis, typically to recreate percussive instruments such as cymbals which have high noise content in their frequency domain.

It is also used to generate impulse responses. To set up the equalization (EQ) for a concert or other performance in a venue, a short burst of white or pink noise is sent through the PA system and monitored from various points in the venue so that the engineer can tell if the acoustics of the building naturally boost or cut any frequencies. The engineer can then adjust the overall equalization to ensure a balanced mix.

White noise can be used for frequency response testing of amplifiers and electronic filters. It is not used for testing loudspeakers as its spectrum contains too great an amount of high frequency content. Pink noise is used for testing transducers such as loudspeakers and microphones. White noise is a common synthetic noise source used for sound masking by a tinnitus masker.

White noise is a particularly good source signal for masking devices as it contains higher frequencies in equal volumes to lower ones, and so is capable of more effective masking for high pitched ringing tones most commonly perceived by tinnitus sufferers

White noise is used as the basis of some random number generators. For example, Random.org uses a system of atmospheric antennae to generate random digit patterns from white noise.

White noise machines and other white noise sources are sold as privacy enhancers and sleep aids and to mask tinnitus. Some people claim white noise, when used with headphones, can aid concentration by masking irritating or distracting noises in a person's environment.

 

MATHEMATICAL DEFINITION:

White random vector:

A random vector is a white random vector if and only if its mean vector and autocorrelation matrix are the following:

White Noise | Communication System - Electronics and Communication Engineering (ECE)

That is, it is a zero mean random vector, and its autocorrelation matrix is a multiple of the identity matrix. When the autocorrelation matrix is a multiple of the identity, we say that it has spherical correlation.

 

White random process (white noise)

A continuous time random process w(t) where White Noise | Communication System - Electronics and Communication Engineering (ECE) is a white noise process if and only if its mean function and autocorrelation function satisfy the following

White Noise | Communication System - Electronics and Communication Engineering (ECE)

i.e. it is a zero mean process for all time and has infinite power at zero time shift since its autocorrelation function is the Dirac delta function. The above autocorrelation function implies the following power spectral density.

White Noise | Communication System - Electronics and Communication Engineering (ECE)

since the Fourier transform of the delta function is equal to 1. Since this power spectral density is the same at all frequencies, we call it white as an analogy to the frequency spectrum of white light. A generalization to random elements on infinite dimensional spaces, such as random fields, is the white noise measure.

 

Random vector transformations 

Two theoretical applications using a white random vector are the simulation and whitening of another arbitrary random vector. To simulate an arbitrary random vector, we transform a white random vector with a carefully chosen matrix. We choose the transformation matrix so that the mean and covariance matrix of thetransformed white random vector matches the mean and covariance matrix of the arbitrary random vector that we are simulating. To whiten an arbitrary random vector, we transform it by a different carefully chosen matrix so that the output random vector is a white random vector. These two ideas are crucial in applications such as channel estimation and channel equalization in communications and audio. These concepts are also used in data compression.

 

Simulating a random vector

Suppose that a random vector  X has covariance matrix Kxx. Since this matrix is Hermitian symmetric and positive semi definite, by the spectral theorem from linear algebra, we can diagonalize or factor the matrix in the following way.

White Noise | Communication System - Electronics and Communication Engineering (ECE)

where E is the orthogonal matrix of eigenvectors and Λ is the diagonal matrix of eigenvalues. We can simulate the 1st and 2nd moment properties of this random vector with mean and covariance matrix Kxx via the following transformation of a white vector  of unit variance:

White Noise | Communication System - Electronics and Communication Engineering (ECE)

where

White Noise | Communication System - Electronics and Communication Engineering (ECE)

Thus, the output of this transformation has expectation

White Noise | Communication System - Electronics and Communication Engineering (ECE)and covariance matrix

White Noise | Communication System - Electronics and Communication Engineering (ECE)

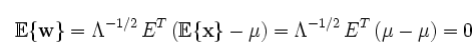
Whitening a random vector 

The method for whitening a vector X with mean μ and covariance matrix Kxx is to perform the following calculation: 

White Noise | Communication System - Electronics and Communication Engineering (ECE)

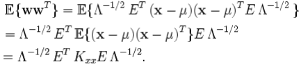
Thus, the output of this transformation has expectation

White Noise | Communication System - Electronics and Communication Engineering (ECE)

and covariance matrix

White Noise | Communication System - Electronics and Communication Engineering (ECE)

By diagonalizing Kxx, we get the following:

White Noise | Communication System - Electronics and Communication Engineering (ECE)

Thus, with the above transformation, we can whiten the random vector to have zero mean and the identity covariance matrix.

Random signal transformations 

We cannot extend the same two concepts of simulating and whitening to the case of continuous time random signals or processes. For simulating, we create a filter into which we feed a white noise signal. We choose the filter so that the output signal simulates the 1st and 2nd moments of any arbitrary random process. For whitening, we feed any arbitrary random signal into a specially chosen filter so that the output of the filter is a white noise signal.

 

Simulating a continuous-time random signal

White Noise | Communication System - Electronics and Communication Engineering (ECE)

White noise fed into a linear, time-invariant filter to simulate the 1st and 2nd moments of an arbitrary random process.

We can simulate any wide-sense stationary, continuous-time random process  White Noise | Communication System - Electronics and Communication Engineering (ECE) with constant mean μ and covariance function

White Noise | Communication System - Electronics and Communication Engineering (ECE)

and power spectral density

White Noise | Communication System - Electronics and Communication Engineering (ECE)

We can simulate this signal using frequency domain techniques.

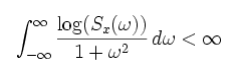
Because Kx(τ) is Hermitian symmetric and positive semi-definite, it follows that Sx(ω) is real and can be factored as

White Noise | Communication System - Electronics and Communication Engineering (ECE)

if and only if Sx(ω) satisfies the Paley-Wiener criterion.

White Noise | Communication System - Electronics and Communication Engineering (ECE)

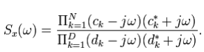
If Sx(ω) is a rational function, we can then factor it into pole-zero form as

White Noise | Communication System - Electronics and Communication Engineering (ECE)

Choosing a minimum phase H(ω) so that its poles and zeros lie inside the left half s-plane, we can then simulate x(t) with H(ω) as the transfer function of the filter.

We can simulate x(t) by constructing the following linear, time-invariant filter

White Noise | Communication System - Electronics and Communication Engineering (ECE)

where w(t) is a continuous-time, white-noise signal with the following 1st and 2nd moment properties:

White Noise | Communication System - Electronics and Communication Engineering (ECE)

Thus, the resultant signal  White Noise | Communication System - Electronics and Communication Engineering (ECE) has the same 2nd moment properties as the desired signal x(t)

 

Whitening a continuous-time random signal 

White Noise | Communication System - Electronics and Communication Engineering (ECE)

 

An arbitrary random process x(t) fed into a linear, time-invariant filter that whitens x(t) to create white noise at the output.

Suppose we have a wide-sense stationary, continuous-time random process  White Noise | Communication System - Electronics and Communication Engineering (ECE) defined with the same mean μ, covariance function Kx(τ), and power spectral density Sx(ω) as above.

We can whiten this signal using frequency domain techniques. We factor the power spectral density Sx(ω) as described above.

Choosing the minimum phase H(ω) so that its poles and zeros lie inside the left half s-plane, we can then whiten x(t) with the following inverse filter

White Noise | Communication System - Electronics and Communication Engineering (ECE)

We choose the minimum phase filter so that the resulting inverse filter is stable. Additionally, we must be sure that H(ω) is strictly positive for all White Noise | Communication System - Electronics and Communication Engineering (ECE) so that Hinv(ω) does not have any singularities.

The final form of the whitening procedure is as follows:

White Noise | Communication System - Electronics and Communication Engineering (ECE)

so that w(t) is a white noise random process with zero mean and constant, unit power spectral density

White Noise | Communication System - Electronics and Communication Engineering (ECE)

Note that this power spectral density corresponds to a delta function for the covariance function of w(t)

White Noise | Communication System - Electronics and Communication Engineering (ECE)

The document White Noise | Communication System - Electronics and Communication Engineering (ECE) is a part of the Electronics and Communication Engineering (ECE) Course Communication System.
All you need of Electronics and Communication Engineering (ECE) at this link: Electronics and Communication Engineering (ECE)
14 videos|44 docs|30 tests

FAQs on White Noise - Communication System - Electronics and Communication Engineering (ECE)

1. What is white noise in electronics and communication engineering?
Ans. White noise in electronics and communication engineering refers to a random signal that has a constant power spectral density across all frequencies. It contains equal intensity at different frequencies and has a flat power spectrum. It is often used in various applications such as testing electronic devices, signal processing, and communication system analysis.
2. How is white noise generated in electronics and communication engineering?
Ans. White noise can be generated in electronics and communication engineering using various techniques. One common method is to use a random number generator that produces a sequence of random numbers with equal probability distribution. Another method is to use a specialized electronic circuit that generates noise by amplifying and filtering the signal from a noise source, such as a resistor or a diode.
3. What are the applications of white noise in electronics and communication engineering?
Ans. White noise has several applications in electronics and communication engineering. It is commonly used in testing and troubleshooting electronic devices and systems. It helps identify and analyze the behavior of components and circuits under different conditions. White noise is also used in signal processing techniques such as filtering and estimation. Additionally, it is utilized in communication system analysis for evaluating the performance of communication channels and coding schemes.
4. How can white noise be utilized for testing electronic devices?
Ans. White noise is a valuable tool for testing electronic devices. It can be injected into the device under test and its response can be analyzed to assess the device's performance. By analyzing the output signal, engineers can determine if the device is functioning correctly or if there are any deviations or defects. White noise testing helps identify issues such as distortion, noise, frequency response, and other characteristics of the device.
5. What are the advantages of using white noise in communication system analysis?
Ans. White noise provides several advantages in communication system analysis. It allows engineers to evaluate the performance of communication channels by transmitting white noise through them and analyzing the received signal. It helps assess the channel's capacity, noise levels, and signal-to-noise ratio. White noise also aids in analyzing the effectiveness of different coding schemes and modulation techniques, as it provides a known reference signal for comparison. Overall, white noise enables accurate and comprehensive analysis of communication systems.
Related Searches

MCQs

,

video lectures

,

past year papers

,

Summary

,

Viva Questions

,

White Noise | Communication System - Electronics and Communication Engineering (ECE)

,

shortcuts and tricks

,

Objective type Questions

,

Extra Questions

,

Free

,

Previous Year Questions with Solutions

,

Semester Notes

,

practice quizzes

,

White Noise | Communication System - Electronics and Communication Engineering (ECE)

,

Exam

,

pdf

,

Sample Paper

,

ppt

,

study material

,

mock tests for examination

,

White Noise | Communication System - Electronics and Communication Engineering (ECE)

,

Important questions

;