Integration - Operations on Signals | Signals and Systems - Electronics and Communication Engineering (ECE) PDF Download

Integration of any signal means the summation of that signal under particular time domain to get a modified signal. Mathematically, this can be represented as −

Integration - Operations on Signals | Signals and Systems - Electronics and Communication Engineering (ECE)

Here also, in most of the cases we can do mathematical integration and find the resulted signal but direct integration in quick succession is possible for signals which are depicted in rectangular format graphically. Like differentiation, here also, we will refer a table to get the result quickly.
 

Original SignalIntegrated Signal
1impulse
Impulsestep
StepRamp


Example

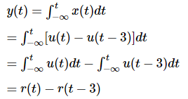
Let us consider a signal  Integration - Operations on Signals | Signals and Systems - Electronics and Communication Engineering (ECE) It is shown in Fig-1 below. Clearly, we can see that it is a step signal. Now we will integrate it. Referring to the table, we know that integration of step signal yields ramp signal.

Integration - Operations on Signals | Signals and Systems - Electronics and Communication Engineering (ECE)

However, we will calculate it mathematically,

Integration - Operations on Signals | Signals and Systems - Electronics and Communication Engineering (ECE)

The same is plotted as shown in fig-2,

The document Integration - Operations on Signals | Signals and Systems - Electronics and Communication Engineering (ECE) is a part of the Electronics and Communication Engineering (ECE) Course Signals and Systems.
All you need of Electronics and Communication Engineering (ECE) at this link: Electronics and Communication Engineering (ECE)
36 videos|117 docs|63 tests

FAQs on Integration - Operations on Signals - Signals and Systems - Electronics and Communication Engineering (ECE)

1. What is signal integration?
Signal integration is the process of combining multiple signals or functions to obtain a single output signal. It involves adding or summing the individual signals together. Integration is a fundamental operation in signal processing and is commonly used in various applications, such as audio and image processing, communication systems, and control systems.
2. How is signal integration performed?
Signal integration is performed by taking the integral of the individual signals over a specific interval. The integral represents the area under the curve of the signal, and by summing the integrals of the individual signals, we obtain the integrated signal. The integration can be performed using mathematical techniques such as the definite integral or numerical methods like the trapezoidal rule or Simpson's rule.
3. What are the advantages of integrating signals?
Integrating signals can provide several advantages in signal processing. Firstly, integration can help in noise reduction by averaging out random fluctuations in the individual signals. Secondly, integration can enhance the signal-to-noise ratio, making the desired signal more distinguishable from the background noise. Additionally, integration can help in feature extraction and pattern recognition tasks by capturing the overall shape or characteristics of the signals.
4. Can signal integration be applied to non-continuous signals?
Yes, signal integration can be applied to both continuous and non-continuous signals. In the case of continuous signals, the integration is performed using calculus techniques. However, for non-continuous signals or discrete-time signals, such as those in digital signal processing, integration can be approximated using summation methods, such as the rectangular or trapezoidal rule. These methods discretize the signal and perform integration by summing the individual discrete samples.
5. What are some real-world applications of signal integration?
Signal integration has various real-world applications. In audio processing, integration can be used to combine multiple audio sources or microphones to create a blended output signal. In image processing, integration can be applied to combine multiple images to enhance the overall image quality or create panoramic images. In control systems, integration is used in the integral term of PID controllers to eliminate steady-state errors. Furthermore, integration is utilized in wireless communication systems to combine multiple received signals and improve signal quality and reliability.
Related Searches

pdf

,

Summary

,

study material

,

MCQs

,

Integration - Operations on Signals | Signals and Systems - Electronics and Communication Engineering (ECE)

,

ppt

,

Integration - Operations on Signals | Signals and Systems - Electronics and Communication Engineering (ECE)

,

mock tests for examination

,

Integration - Operations on Signals | Signals and Systems - Electronics and Communication Engineering (ECE)

,

Important questions

,

shortcuts and tricks

,

Viva Questions

,

Semester Notes

,

practice quizzes

,

video lectures

,

Free

,

Objective type Questions

,

Previous Year Questions with Solutions

,

past year papers

,

Exam

,

Sample Paper

,

Extra Questions

;