JEE Exam  >  JEE Notes  >  Mock Tests for JEE Main and Advanced 2026  >  Revision Notes - Harmonic Progression

Harmonic Progression Class 11 Notes Maths

  • Let a, b and c form an H.P. Then 1/a, 1/b and 1/c form an A.P.
  • If a, b and c are in H.P. then 2/b = 1/a + 1/c,  which can be simplified as b = 2ac/(a+c) 
  • If ‘a’ and ‘b’ are two non-zero numbers then the sequence a, H, b is a H.P.
  • The n numbers H1, H2, ……,Hn are said to be harmonic means between a and b, if a, H1, H2 ……, Hn, b are in H.P. i.e. if 1/a, 1/H1, 1/H2, ..., 1/Hn, 1/b are in A.P. Let d be the common difference of the A.P., Then 1/b = 1/a + (n+1) d ⇒ d = a–b/(n+1)ab.
    Thus 1/H1 = 1/a + a–b/(n+1)ab,
    1/H2 = 1/a + 2(a–n)/(n+1)ab,
     ………..     ……….
    1/Hn = 1/a + n(a–b)/(n+1)ab.
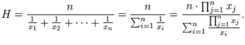
  • If x1, x2, … xare n non-zero numbers, then the harmonic mean ‘H’ of these numbers is given by 1/H = 1/n (1/x1 + 1/ x2 + ……. +1/ xn)
                                        Harmonic Progression Class 11 Notes Maths
  • As the nth term of an A.P is given by an = a + (n-1)d, So the nth term of an H.P is given by 1/ [a + (n -1) d]. 
  • If we have a set of weights w1, w2, …. , wn associated with the set of values x1, x2, …. , xn, then the weighted harmonic mean is definedHarmonic Progression Class 11 Notes Maths
  • Questions on Harmonic Progression are generally solved by first converting them into those of Arithmetic Progression.
  • If ‘a’ and ‘b’ are two positive real numbers then A.M x H.M = G.
  • The relation between the three means is defined as A.M  >  G.M  >  H.M
  • If we need to find three numbers in a H.P. then they should be assumed as 1/a–d, 1/a, 1/a+d
  • Four convenient numbers in H.P. are 1/a–3d, 1/a–d, 1/a+d, 1/a+3d 
  • Five convenient numbers in H.P. are 1/a–2d, 1/a–d, 1/a, 1/a+d, 1/a+2d
The document Harmonic Progression Class 11 Notes Maths is a part of the JEE Course Mock Tests for JEE Main and Advanced 2026.
All you need of JEE at this link: JEE
357 docs|100 tests

FAQs on Harmonic Progression Class 11 Notes Maths

1. What is a harmonic progression?
Ans. A harmonic progression is a sequence of numbers in which the reciprocal of each term is in arithmetic progression. In other words, if the terms of a sequence form an arithmetic progression when their reciprocals are taken, then the original sequence is said to be a harmonic progression.
2. How can we determine if a given sequence is a harmonic progression?
Ans. To determine if a sequence is a harmonic progression, we need to check if the reciprocals of the terms form an arithmetic progression. If the differences between consecutive reciprocals are constant, then the original sequence is a harmonic progression.
3. What is the formula to find the nth term of a harmonic progression?
Ans. The formula to find the nth term of a harmonic progression is given by: an = 1/(a + (n-1)d) where a is the first term, d is the common difference between the reciprocals of consecutive terms, and n is the term number.
4. How can harmonic progression be used in real-life applications?
Ans. Harmonic progression has various applications in real-life scenarios. One common application is in calculating the resistance values in electrical circuits. Another application is in music, where harmonic progressions are used to create chords and melodies. Harmonic progression is also used in physics, particularly when studying wave motion and resonance.
5. Can a harmonic progression have negative terms?
Ans. Yes, a harmonic progression can have negative terms. The terms of a harmonic progression can be positive, negative, or even zero. The important property is that the reciprocals of the terms form an arithmetic progression.
Related Searches

Semester Notes

,

Previous Year Questions with Solutions

,

Important questions

,

Harmonic Progression Class 11 Notes Maths

,

past year papers

,

shortcuts and tricks

,

Sample Paper

,

Extra Questions

,

pdf

,

Viva Questions

,

Objective type Questions

,

video lectures

,

Exam

,

MCQs

,

practice quizzes

,

study material

,

ppt

,

Harmonic Progression Class 11 Notes Maths

,

Summary

,

mock tests for examination

,

Harmonic Progression Class 11 Notes Maths

,

Free

;