JEE Exam  >  JEE Notes  >  Chapter-wise Tests for JEE Main & Advanced  >  JEE Advanced (Fill in the Blanks): Waves

JEE Advanced (Fill in the Blanks): Waves | Chapter-wise Tests for JEE Main & Advanced PDF Download

Fill in the Blanks

Q.1. A travelling wave has the  frequency n and the particle displacement amplitude A. For the wave the particle velocity amplitude is ---------- and the particle acceleration amplitude is  ----------.      (1983 - 2 Marks)

Ans. A (2πv), A (2πv)2

Solution. Since y = A sin (ωt – k x)

Displacement amplitude = A (Max displacement)

Particle velocity, v = dy/dt = A w cos (ωt – k x)

∴ Velocity amplitude = Aω =2πvA 

Particle acceleration

JEE Advanced (Fill in the Blanks): Waves | Chapter-wise Tests for JEE Main & Advanced

∴ Acceleration (Max acc) amplitude = Aω2 = 4π2v2A

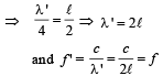
Q.2. Sound waves of frequency 660 Hz fall normally on a perfectly reflecting wall. The shortest distance from the wall at which the air particles have maximum amplitude of vibration is ..... metres.      (1984- 2 Marks)

Ans. 0.125 m

Solution. JEE Advanced (Fill in the Blanks): Waves | Chapter-wise Tests for JEE Main & Advanced

The rarefaction will be at a distance of

JEE Advanced (Fill in the Blanks): Waves | Chapter-wise Tests for JEE Main & Advanced

Q.3. Two simple harmonic motions are represented by the equations 

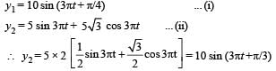
y1 = 10 sin (3πt +π / 4) and y2 = 5(sin 3πt + √3 cos 3πt)

Their amplitudes are in the ratio of ..........      (1986 - 2 Marks)

Ans. 1 : 1

Solution. 

JEE Advanced (Fill in the Blanks): Waves | Chapter-wise Tests for JEE Main & Advanced

The ratio of amplitudes is  10 : 10 = 1 : 1

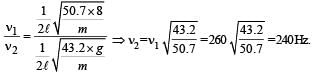
Q.4. In a sonometer wire, the tension is maintained by suspending a 50.7 kg mass from the free end of the wire. The suspended mass has a volume of 0.0075 m3 . The fundamental frequency of vibration of the wire is 260 Hz. If the suspended mass is completely submerged in water, the fundamental frequency will become .............Hz. (1987 - 2 Marks)

Ans. 240 Hz

Solution. 

JEE Advanced (Fill in the Blanks): Waves | Chapter-wise Tests for JEE Main & Advanced

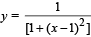
Q.5. The amplitude of a wave disturbance propagating in the positive x-direction is given by JEE Advanced (Fill in the Blanks): Waves | Chapter-wise Tests for JEE Main & Advanced at time t = 0 and by JEE Advanced (Fill in the Blanks): Waves | Chapter-wise Tests for JEE Main & Advanced at t = 2 seconds, where x and y arein metres. The shape of the wave disturbance does not change during the propagation. The velocity of the wave is .............. m/s. (1990 - 2 Marks)

Ans. 0.5 ms–1

Solution.

JEE Advanced (Fill in the Blanks): Waves | Chapter-wise Tests for JEE Main & Advanced

At t = 0 and x = 0, we get y = 1.

Also at t = 2 and x = 1, again y = 1

The wave pulse has travelled a distance of 1m in 2 sec.

JEE Advanced (Fill in the Blanks): Waves | Chapter-wise Tests for JEE Main & Advanced

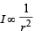
Q.6. A cylinder resonance tube open at both ends has fundamental frequency F in air. Half of the length of the tube is dipped vertically in water. The fundamental frequency to the air column now is ....................       (1992 - 1 Mark)

Ans. f

Solution. 

JEE Advanced (Fill in the Blanks): Waves | Chapter-wise Tests for JEE Main & Advanced

In figure (i)

JEE Advanced (Fill in the Blanks): Waves | Chapter-wise Tests for JEE Main & Advanced

In figure (ii)

JEE Advanced (Fill in the Blanks): Waves | Chapter-wise Tests for JEE Main & Advanced

Q.7. A bus is moving towards a huge wall with a velocity of 5 ms–1. The driver sounds a horn of frequency 200 Hz. The frequency of the beats heard by a passenger of the bus will be..... Hz (Speed of sound in air = 342 ms–1)         (1994 - 2 Marks)

Ans. 6 Hz

Solution. The first frequency that driver of bus hears is the original frequency of 200 Hz. The second frequency that driver hears is the frequency of sound reflected from the wall. The two frequencies of sound heard by driver is
(a) Original frequency (200 Hz.)
(b) Frequency of sound reflected from the wall (n')

JEE Advanced (Fill in the Blanks): Waves | Chapter-wise Tests for JEE Main & Advanced

The frequency of sound reflected from the wall

JEE Advanced (Fill in the Blanks): Waves | Chapter-wise Tests for JEE Main & Advanced


True/False

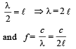
Q.1. A man stands on the  ground at a fixed distance from a siren which emits sound of fixed amplitude. The man hears the sound to be louder on a clear night than on a clear day.      (1980)

Ans. F

Solution. The intensity of sound at a given point is the energy per second received by a unit area perpendicular to the direction of propagation.

JEE Advanced (Fill in the Blanks): Waves | Chapter-wise Tests for JEE Main & Advanced

Also intensity varies as distance from the point source as

JEE Advanced (Fill in the Blanks): Waves | Chapter-wise Tests for JEE Main & Advanced

NOTE : None of the parameters are changing in case of a clear night or a clear day.

Therefore the intensity will remain the same.

Q.2. A plane wave of sound travelling in air is incident upon a plane water surface. The angle of incidence is 60°. Assuming snell’s law to be valid for sound waves, it follows that the sound wave will be refracted into water away from the normal.     (1984- 2 Marks)

Ans. T

Solution. Speed of sound waves in water is greater than in air.

Q.3. A source of sound with frequency 256 Hz is moving with a velocity V towards a wall and an observer is stationary between the source and the wall. When the observer is between the source and the wall he will hear beats     (1985 - 3 Marks)

Ans. F

Solution. NOTE : If the sound reaches the observer after being reflected from a stationary surface and the medium is also stationary, the image of the source will become the source of reflected sound.

Thus in both the cases, one sound coming directly from the source and the other coming after reflection will have the same apparent frequency (Since velocity of source w.r.t. observer is same in both the cases). Therefore no beats will be heard.

The document JEE Advanced (Fill in the Blanks): Waves | Chapter-wise Tests for JEE Main & Advanced is a part of the JEE Course Chapter-wise Tests for JEE Main & Advanced.
All you need of JEE at this link: JEE
481 docs|964 tests
Related Searches

ppt

,

shortcuts and tricks

,

Viva Questions

,

Objective type Questions

,

past year papers

,

Summary

,

Exam

,

Sample Paper

,

study material

,

JEE Advanced (Fill in the Blanks): Waves | Chapter-wise Tests for JEE Main & Advanced

,

pdf

,

video lectures

,

JEE Advanced (Fill in the Blanks): Waves | Chapter-wise Tests for JEE Main & Advanced

,

Semester Notes

,

Previous Year Questions with Solutions

,

mock tests for examination

,

practice quizzes

,

Free

,

Extra Questions

,

JEE Advanced (Fill in the Blanks): Waves | Chapter-wise Tests for JEE Main & Advanced

,

MCQs

,

Important questions

;