JEE Exam  >  JEE Notes  >  Previous Year Questions (2016-2025): Simple Harmonic Motion (Oscillations) | JEE Main

Previous Year Questions (2016-2025): Simple Harmonic Motion (Oscillations) | JEE Main PDF Download

Q 1. A particle is executing simple harmonic motion (SHM) of amplitude A, along the x axis, about x = 0. When its potential Energy (P.E.) equals kinetic energy (K.E.), the position of the particle will be    (2019)
(1) A/2
(2) A / (2√2)
(3) A/√2
(4) A
Ans:
(3)
Solution:
Previous Year Questions (2016-2025): Simple Harmonic Motion (Oscillations) | JEE Main
Previous Year Questions (2016-2025): Simple Harmonic Motion (Oscillations) | JEE Main
Previous Year Questions (2016-2025): Simple Harmonic Motion (Oscillations) | JEE Main

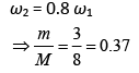
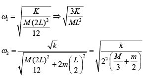
Q 2. A rod of mass M and length 2L is suspended at its middle by a wire. It exhibits torsional oscillations; If two masses each of m are attached at distance L/2 from its center on both sides, it reduces the oscillation frequency by 20%. The value of ratio m/M is close to    (2019)
(1) 0.77
(2) 0.57
(3) 0.37
(4) 0.17
Ans:
(3)
Solution:
Let ω be the frequency of torsional oscillation.
Previous Year Questions (2016-2025): Simple Harmonic Motion (Oscillations) | JEE Main
Previous Year Questions (2016-2025): Simple Harmonic Motion (Oscillations) | JEE Main
Previous Year Questions (2016-2025): Simple Harmonic Motion (Oscillations) | JEE Main
Previous Year Questions (2016-2025): Simple Harmonic Motion (Oscillations) | JEE Main

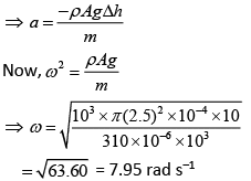
Q 3. A cylindrical plastic bottle of negligible mass is filled with 310 mL of water and left floating in a pond with still water. If pressed downward slightly and released, it starts performing simple harmonic motion at angular frequency ω. If the radius of the bottle is 2.5 cm, then ω is close to (density of water = 103 kg/m3)       (2019)
(1) 3.75 rad s−1 
(2) 1.25 rad s−1 
(3) 2.50 rad s−1 
(4) 5.00 rad s−1
Ans:
(*)
*Disputed question – None of the options is correct.
Solution:
We know that,
BF = ρAhg
And according to second law of motion we have
ma = B – mg
⇒ −ma = ρA(h + Δh)g – ρAhg
⇒ −ma = ρAgΔh
Previous Year Questions (2016-2025): Simple Harmonic Motion (Oscillations) | JEE Main

Q 4. A particle executes simple harmonic motion with an amplitude of 5 cm. When the particle is at 4 cm from the mean position, the magnitude of its velocity in SI units is equal to that of its acceleration. Then, its periodic time in seconds is    (2019)
Previous Year Questions (2016-2025): Simple Harmonic Motion (Oscillations) | JEE Main
Ans:
(3)
Solution:
We have,
a = −ω2x= −ω24
Previous Year Questions (2016-2025): Simple Harmonic Motion (Oscillations) | JEE Main
Previous Year Questions (2016-2025): Simple Harmonic Motion (Oscillations) | JEE Main

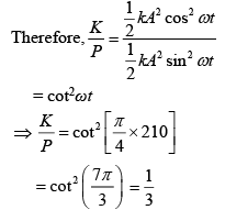
Q 5. A particle undergoing simple harmonic motion has time dependent displacement given by Previous Year Questions (2016-2025): Simple Harmonic Motion (Oscillations) | JEE Main The ratio of kinetic to potential energy of this particle at t = 210 s will be     (2019)
(1) 2
(2) 1/3
(3) 1
(4) 3
Ans:
(2)
Solution:
Previous Year Questions (2016-2025): Simple Harmonic Motion (Oscillations) | JEE Main
Previous Year Questions (2016-2025): Simple Harmonic Motion (Oscillations) | JEE Main

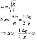
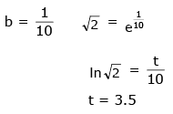
Q 6. A simple pendulum of length 1 m is oscillating with an angular frequency 10 rad/s. The support of the pendulum starts oscillating up and down with a small angular frequency of 1 rad/s and an amplitude of 10−2 m. The relative change in the angular frequency of the pendulum is best given by      (2019)
(1) 10−3rad/s
(2) 1 rad/s
(3) 10−1 rad/s
(4) 10−5 rad/s
Ans: 
(1)
Solution:
Angular frequency of pendulum is
Previous Year Questions (2016-2025): Simple Harmonic Motion (Oscillations) | JEE Main
Previous Year Questions (2016-2025): Simple Harmonic Motion (Oscillations) | JEE Main    [Δg is due to oscillation of support]
Previous Year Questions (2016-2025): Simple Harmonic Motion (Oscillations) | JEE Main

Q 7. A pendulum is executing simple harmonic motion and its maximum kinetic energy is K1. If the length of the pendulum is doubled and it performs simple harmonic motion with the same amplitude as in the first case, its maximum kinetic energy is K2. Then    (2019)
(1) K2 = 2K1
(2) K2 = K1/2
(3) K2 = K1/4
(4) K2 = K1
Ans:
(1)
Solution:
Previous Year Questions (2016-2025): Simple Harmonic Motion (Oscillations) | JEE Main
So, the above equation becomes
Previous Year Questions (2016-2025): Simple Harmonic Motion (Oscillations) | JEE Main
Previous Year Questions (2016-2025): Simple Harmonic Motion (Oscillations) | JEE Main     (1)  [θ = angular amplitude]
If length is doubled then KE will be
Previous Year Questions (2016-2025): Simple Harmonic Motion (Oscillations) | JEE Main
From Eq. (1) and Eq. (2), we get
Previous Year Questions (2016-2025): Simple Harmonic Motion (Oscillations) | JEE Main

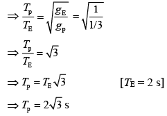
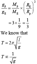
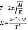
Q 8. The mass and the diameter of a planet are 3 times the respective values for the Earth. The period of oscillation of a simple pendulum on the Earth is 2 s. The period of oscillation of the same pendulum on the planet would be    (2019)
Previous Year Questions (2016-2025): Simple Harmonic Motion (Oscillations) | JEE Main
Ans:
(4)
Solution:
According to the relation of G gravitational constant and g acceleration due to gravity, we have
Previous Year Questions (2016-2025): Simple Harmonic Motion (Oscillations) | JEE Main
Dividing Eq. (2) by Eq. (1), we get
Previous Year Questions (2016-2025): Simple Harmonic Motion (Oscillations) | JEE Main
Previous Year Questions (2016-2025): Simple Harmonic Motion (Oscillations) | JEE Main

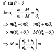
Q 9. A traveling harmonic wave is represented by the equation y(x, t) = 10−3sin(50t + 2x), where x and y are in meter and t is in seconds. Which of the following is a correct statement about the wave?     (2019)
(1) The wave is propagating along the negative x-axis with speed 25 ms-1.
(2) The wave is propagating along the positive x-axis with, speed 100 ms−1.
(3) The wave is propagating along the positive x-axis with speed 25 ms−1.
(4) The wave is propagating along the negative x-axis with speed 100 ms−1.
Ans:
(1)
Solution:
We know that
y = a sin (ωt + kx)
Given, y = 10−3sin(50t + 2x)
On comparing both the equations, we get
a = 10−3, ω = 50, k = 2
Thus, wave is propagating along negative x-axis with speed
Previous Year Questions (2016-2025): Simple Harmonic Motion (Oscillations) | JEE Main

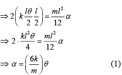
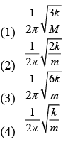
Q 10. Two light identical springs of spring constant k are attached horizontally at the two ends of a uniform horizontal rod AB of length l and mass m. The rod is pivoted at its center O and can rotate freely in horizontal plane. The other ends of the two springs are fixed to rigid supports as shown in figure. The rod is gently pushed through a small angle and released. The frequency of resulting oscillation is    (2019)
Previous Year Questions (2016-2025): Simple Harmonic Motion (Oscillations) | JEE Main
Previous Year Questions (2016-2025): Simple Harmonic Motion (Oscillations) | JEE Main
Ans:
(3)
Solution:
Previous Year Questions (2016-2025): Simple Harmonic Motion (Oscillations) | JEE Main
According the relation between Torque and Moment of Inertia
Previous Year Questions (2016-2025): Simple Harmonic Motion (Oscillations) | JEE Main
Previous Year Questions (2016-2025): Simple Harmonic Motion (Oscillations) | JEE Main
We know that, α = ω2θ     (2)
On comparing Eq. (1) and Eq. (2), we get
Previous Year Questions (2016-2025): Simple Harmonic Motion (Oscillations) | JEE Main

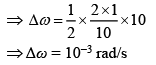
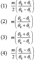
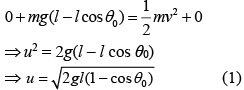
Q 11. A simple pendulum, made of a string of length l and a bob of mass m, is released from a small angle θ0. It strikes a block of mass M, kept on a horizontal surface at its lowest point of oscillations, elastically. It bounces back and goes up to an angle θ1. Then, M is given by    (2019)
Previous Year Questions (2016-2025): Simple Harmonic Motion (Oscillations) | JEE Main
Ans:
(3)
Solution:
Let velocity of bob at B is u, which is released by conservation of energy at Point A and B
Previous Year Questions (2016-2025): Simple Harmonic Motion (Oscillations) | JEE Main
Previous Year Questions (2016-2025): Simple Harmonic Motion (Oscillations) | JEE Main
Let velocity of bob after the collision is v.
Previous Year Questions (2016-2025): Simple Harmonic Motion (Oscillations) | JEE Main
By conservation of energy at Point B and C
Previous Year Questions (2016-2025): Simple Harmonic Motion (Oscillations) | JEE Main
Previous Year Questions (2016-2025): Simple Harmonic Motion (Oscillations) | JEE Main
Substituting the value of v and u in Eq. (2), we get
Previous Year Questions (2016-2025): Simple Harmonic Motion (Oscillations) | JEE Main
Previous Year Questions (2016-2025): Simple Harmonic Motion (Oscillations) | JEE Main

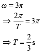
Q 12. A simple harmonic motion is represented by
y = 5(sin 3πt+ 3 cos 3πt) cm
The amplitude and time period of the motion are    (2019)
Previous Year Questions (2016-2025): Simple Harmonic Motion (Oscillations) | JEE Main
Ans: 
(1)
Solution:
We have
y = 5(sin 3πt+ 3 cos 3πt)
Previous Year Questions (2016-2025): Simple Harmonic Motion (Oscillations) | JEE Main
By squaring and adding Eq. (2) and Eq. (3), we get
Previous Year Questions (2016-2025): Simple Harmonic Motion (Oscillations) | JEE Main
Substituting the value of Eq. (2) and Eq. (3) in Eq. (1), we have
y = A cos θ sin 3πt + A sin θ cos 3πt
⇒ y = A sin (3πt + θ)       (4)
⇒ y = 10 sin (3πt + θ)
General wave equation is
y = a sin (ωt + kx)
On comparing with Eq. (4), we get
Previous Year Questions (2016-2025): Simple Harmonic Motion (Oscillations) | JEE Main

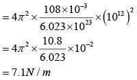
Q 13. A silver atom in a solid oscillates in simple harmonic motion in some direction with a frequency of 1012/sec. What is the force constant of the bonds connecting one atom with the other ? (Mole wt. of silver = 108 and Avagadro number = 6.02 x 1023 gm mole-1)    (2018)
(1) 6.44 N/m
(2) 7.1 N/m
(3) 2.2 N/m
(4) 5.5 N/m
Ans:
(2)
Solution:
Previous Year Questions (2016-2025): Simple Harmonic Motion (Oscillations) | JEE Main
Previous Year Questions (2016-2025): Simple Harmonic Motion (Oscillations) | JEE Main

Q 14. An oscillator of mass M is at rest in the equilibrium position in a potential V = 1/2 k(x – X)2. A particle of mass m comes from right  with speed u and collides completely inelastically with M and sticks to it. This process repeats every time the oscillator crosses its equilibrium position. The amplitude of oscillations after 13 collisions is : (M = 10, m = 5, u = 1, k = 1)    (2018)
(1) 2/3
(2) Previous Year Questions (2016-2025): Simple Harmonic Motion (Oscillations) | JEE Main

(3) Previous Year Questions (2016-2025): Simple Harmonic Motion (Oscillations) | JEE Main

(4) Previous Year Questions (2016-2025): Simple Harmonic Motion (Oscillations) | JEE Main
Ans:
(2)
Solution:
In first collision mu momentum will be imparted to system. In second collision when momentum of (M + m) is in opposite direction mu momentum of particle will make its momentum zero. on 13th collision
Previous Year Questions (2016-2025): Simple Harmonic Motion (Oscillations) | JEE Main
Previous Year Questions (2016-2025): Simple Harmonic Motion (Oscillations) | JEE Main
Previous Year Questions (2016-2025): Simple Harmonic Motion (Oscillations) | JEE Main

Q 15.  A particle executes simple harmonic motion and is located at x = a, b and c at times t0, 2t0 and 3t0 respectively. The frequency of the oscillation is :    (2018)

(1) Previous Year Questions (2016-2025): Simple Harmonic Motion (Oscillations) | JEE Main

(2) Previous Year Questions (2016-2025): Simple Harmonic Motion (Oscillations) | JEE Main

(3) Previous Year Questions (2016-2025): Simple Harmonic Motion (Oscillations) | JEE Main

(4) Previous Year Questions (2016-2025): Simple Harmonic Motion (Oscillations) | JEE Main
Ans:
(1)
Solution:
a = Asinωt0
b = Asin2ωt0
c = Asin3ωt0
a + c = A[sinωt0 + sin3ωt0] = 2Asin2ωt0cosωt0
Previous Year Questions (2016-2025): Simple Harmonic Motion (Oscillations) | JEE Main
Previous Year Questions (2016-2025): Simple Harmonic Motion (Oscillations) | JEE Main
Previous Year Questions (2016-2025): Simple Harmonic Motion (Oscillations) | JEE Main

Q 16. A particle is executing simple harmonic motion with a time period T. At time t = 0, it is at its position of equilibrium. The kinetic energy-time graph of the particle will look like :    (2017)
(1)
Previous Year Questions (2016-2025): Simple Harmonic Motion (Oscillations) | JEE Main
(2)
Previous Year Questions (2016-2025): Simple Harmonic Motion (Oscillations) | JEE Main
(3)
Previous Year Questions (2016-2025): Simple Harmonic Motion (Oscillations) | JEE Main
(4)
Previous Year Questions (2016-2025): Simple Harmonic Motion (Oscillations) | JEE Main
Ans:
(2)
Solution:
Previous Year Questions (2016-2025): Simple Harmonic Motion (Oscillations) | JEE Main

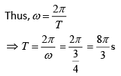
Q 17. A magnetic needle of magnetic moment 6.7 × 10-2 Am2 and moment of inertia 7.5 × 10-6 kg m2 is performing simple harmonic oscillations in a magnetic field of 0.01 T. Time taken for 10 complete oscillations is    (2017)
(1) 6.98 s
(2) 8.76 s
(3) 6.65 s
(4) 8.89 s
Ans:
(3)
Solution:
For 10 oscillations,
t = 10T = 2π × 1.06
= 6.6568 ≈ 6.65 s

Q 18. A steel rail of length 5 m and area of cross section 40 cm2 is prevented from expanding along its length while the temperature rises by 10°C. If coefficient of linear expansion and Young's modulus of steel are 1.2 × 10-5 K-1 and 2 × 1011 Nm-2 respectively, the force developed in the rail is approximately :    (2017)
(1) 2 × 107 N
(2) 2 × 109 N
(3) 3 × 10-5 N
(4) 1 × 105 N

Ans: 4
Solution:
F = yA ∝ Δt
= 2 × 1011 × 40 × 10-4 × 1.2 × 10-5 × 10

= 9.6 × 104 = 1 × 105 N

Q 19. A car is standing 200 m behind a bus, which is also at rest. The two start moving at the same instant but with different forward accelerations. The bus has acceleration 2 m/s2 and teh car has acceleration 4 m/s2. The car will catch up with the bus after at time of -       (2017)
Previous Year Questions (2016-2025): Simple Harmonic Motion (Oscillations) | JEE Main
(2) 15 s
Previous Year Questions (2016-2025): Simple Harmonic Motion (Oscillations) | JEE Main
Previous Year Questions (2016-2025): Simple Harmonic Motion (Oscillations) | JEE Main
Ans:
4
Solution:
Previous Year Questions (2016-2025): Simple Harmonic Motion (Oscillations) | JEE Main

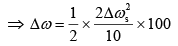
Q 20. A block of mass 0.1 kg is connected to an elastic spring of spring constant 640 Nm-1 and oscillates in a damping medium of damping constant 10–2 kg s-1. The system dissipates its energy gradually. The time taken for its mechanical energy of vibration to drop to half of its initial value, is closest to -      (2017)
(1) 2 s
(2) 5 s
(3) 7 s
(4) 3.5 s
Ans:
(4)
Solution:
Previous Year Questions (2016-2025): Simple Harmonic Motion (Oscillations) | JEE Main
Previous Year Questions (2016-2025): Simple Harmonic Motion (Oscillations) | JEE Main

Q 21. In an experiment to determine the period of a simple pendulum of length 1m, it is attached to different spherical bobs of radii r1 and r2. The two spherical bobs have uniform mass distribution.
If the relative difference in the periods, is found to be 5 × 10-4 s, the difference in radii, |r1 – r2| is best given by -    (2017)
(1) 0.01 cm
(2) 0.1 cm
(3) 0.5 cm
(4) 1 cm

Ans: 2
Solution:
Previous Year Questions (2016-2025): Simple Harmonic Motion (Oscillations) | JEE Main

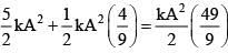
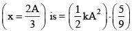
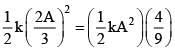
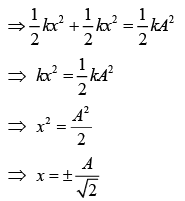
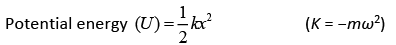
Q 22. A particle performs simple harmonic motion with amplitude A. Its speed is trebled at the instant that it is at a distance 2A/3 from equilibrium position. The new amplitude of the motion is:    (2016)
(1) Previous Year Questions (2016-2025): Simple Harmonic Motion (Oscillations) | JEE Main
(2) 3A
(3) A√3
(4) 7A/3
Ans:
D
Solution:
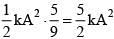
2 = k
Total initial energy = 1/2 kA2
at x = 2A/3, potential energy = Previous Year Questions (2016-2025): Simple Harmonic Motion (Oscillations) | JEE Main
Kinetic energy at
Previous Year Questions (2016-2025): Simple Harmonic Motion (Oscillations) | JEE Main
If speed is tripled, new Kinetic energy = Previous Year Questions (2016-2025): Simple Harmonic Motion (Oscillations) | JEE Main
∴ New total energy = Previous Year Questions (2016-2025): Simple Harmonic Motion (Oscillations) | JEE Main
If next amplitude = A';  then Previous Year Questions (2016-2025): Simple Harmonic Motion (Oscillations) | JEE Main

Q 23. In an engine the piston undergoes vertical simple harmonic motion with amplitude 7cm. A washer rests on top of the piston and moves with it. The motor speed is slowly increased. The frequency of the piston at which the washer longer stays in contact with the piston, is closed to:     (2016)
(1) 0.7 Hz
(2) 1.2 Hz
(3) 1.9 Hz
(4) 0.1 Hz
Ans. 
(3)
Solution:
Previous Year Questions (2016-2025): Simple Harmonic Motion (Oscillations) | JEE Main

The document Previous Year Questions (2016-2025): Simple Harmonic Motion (Oscillations) | JEE Main is a part of JEE category.
All you need of JEE at this link: JEE

FAQs on Previous Year Questions (2016-2025): Simple Harmonic Motion (Oscillations) - JEE Main

1. What is simple harmonic motion?
Ans. Simple harmonic motion (SHM) refers to the back and forth motion of an object about an equilibrium position. It is characterized by a restoring force that is directly proportional to the displacement from the equilibrium position and is directed towards the equilibrium position.
2. How can we mathematically describe simple harmonic motion?
Ans. Simple harmonic motion can be mathematically described using the equation: x(t) = A cos(ωt + φ) where x(t) is the displacement of the object at time t, A is the amplitude of the motion, ω is the angular frequency, t is time, and φ is the phase constant.
3. What is the relationship between the period and frequency of simple harmonic motion?
Ans. The period (T) of simple harmonic motion is the time taken for one complete cycle of the motion, while the frequency (f) is the number of cycles per unit time. The relationship between period and frequency is given by: T = 1/f This means that if the frequency increases, the period decreases, and vice versa.
4. How is the displacement, velocity, and acceleration related in simple harmonic motion?
Ans. In simple harmonic motion, the displacement, velocity, and acceleration are related as follows: - The displacement (x) is given by x(t) = A cos(ωt + φ). - The velocity (v) is the derivative of the displacement with respect to time, given by v(t) = -Aω sin(ωt + φ). - The acceleration (a) is the derivative of the velocity with respect to time, given by a(t) = -Aω^2 cos(ωt + φ).
5. What is the relationship between the period and the mass of an object undergoing simple harmonic motion?
Ans. The period of an object undergoing simple harmonic motion is independent of its mass. The period is solely determined by the properties of the system, such as the mass of the object, the spring constant (for a mass-spring system), or the length of a pendulum (for a simple pendulum). The mass of the object only affects the amplitude and the maximum velocity of the motion, but not the period.
Download as PDF

Top Courses for JEE

Related Searches

Previous Year Questions (2016-2025): Simple Harmonic Motion (Oscillations) | JEE Main

,

Extra Questions

,

Viva Questions

,

Objective type Questions

,

ppt

,

Previous Year Questions (2016-2025): Simple Harmonic Motion (Oscillations) | JEE Main

,

Sample Paper

,

practice quizzes

,

Important questions

,

Free

,

Summary

,

past year papers

,

pdf

,

Exam

,

shortcuts and tricks

,

Previous Year Questions with Solutions

,

MCQs

,

mock tests for examination

,

study material

,

Semester Notes

,

video lectures

,

Previous Year Questions (2016-2025): Simple Harmonic Motion (Oscillations) | JEE Main

;