JEE Exam  >  JEE Notes  >  35 Years Chapter wise Previous Year Solved Papers for JEE  >  JEE Main Previous Year Questions (2016-2025): Indefinite Integrals

JEE Main Previous Year Questions (2016-2025): Indefinite Integrals | 35 Years Chapter wise Previous Year Solved Papers for JEE PDF Download

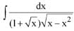
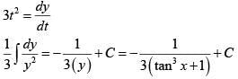
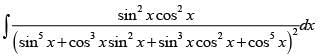
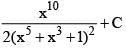
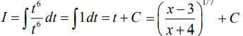
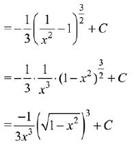
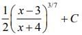
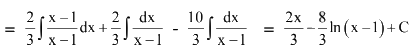
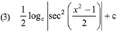
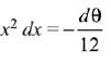
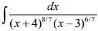
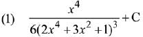
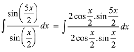
Q.1. The integral JEE Main Previous Year Questions (2016-2025): Indefinite Integrals | 35 Years Chapter wise Previous Year Solved Papers for JEEis equal to (where C is a constant of integration)    (2020)
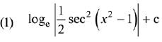
(1) JEE Main Previous Year Questions (2016-2025): Indefinite Integrals | 35 Years Chapter wise Previous Year Solved Papers for JEE
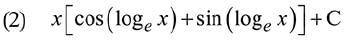
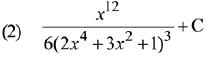
(2) JEE Main Previous Year Questions (2016-2025): Indefinite Integrals | 35 Years Chapter wise Previous Year Solved Papers for JEE
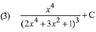
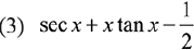
(3) JEE Main Previous Year Questions (2016-2025): Indefinite Integrals | 35 Years Chapter wise Previous Year Solved Papers for JEE
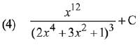
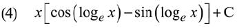
(4) JEE Main Previous Year Questions (2016-2025): Indefinite Integrals | 35 Years Chapter wise Previous Year Solved Papers for JEE
Ans. (1)
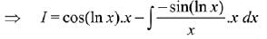
Let,
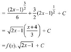
JEE Main Previous Year Questions (2016-2025): Indefinite Integrals | 35 Years Chapter wise Previous Year Solved Papers for JEE
JEE Main Previous Year Questions (2016-2025): Indefinite Integrals | 35 Years Chapter wise Previous Year Solved Papers for JEE
Let JEE Main Previous Year Questions (2016-2025): Indefinite Integrals | 35 Years Chapter wise Previous Year Solved Papers for JEE
So, JEE Main Previous Year Questions (2016-2025): Indefinite Integrals | 35 Years Chapter wise Previous Year Solved Papers for JEE

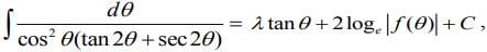
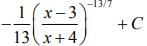
Q.2. If JEE Main Previous Year Questions (2016-2025): Indefinite Integrals | 35 Years Chapter wise Previous Year Solved Papers for JEE where C is a constant of integration, then the ordered pair (λ, f(θ)) is equal to    (2020)
(1) (1,1 tan θ)
(2) ( 1,1 -tan θ)
(3) (-1,1 + tan θ)
(4) (1,1 + tan 
 θ)
Ans. (3)
We have
JEE Main Previous Year Questions (2016-2025): Indefinite Integrals | 35 Years Chapter wise Previous Year Solved Papers for JEE
JEE Main Previous Year Questions (2016-2025): Indefinite Integrals | 35 Years Chapter wise Previous Year Solved Papers for JEE
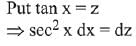
Let tan θ = t ⇒sec2 θdθ = dt. 
Therefore,
JEE Main Previous Year Questions (2016-2025): Indefinite Integrals | 35 Years Chapter wise Previous Year Solved Papers for JEE
Hence, JEE Main Previous Year Questions (2016-2025): Indefinite Integrals | 35 Years Chapter wise Previous Year Solved Papers for JEE

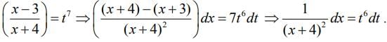
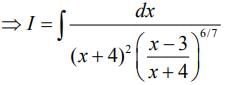
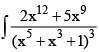
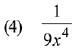
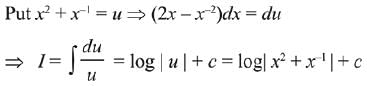
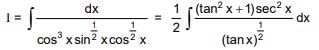
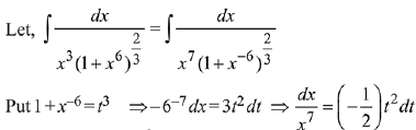
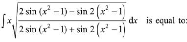
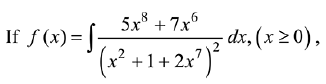
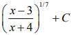
Q.3. For x2 ≠ nπ + 1, n∈N (the set of natural numbers), the integral
JEE Main Previous Year Questions (2016-2025): Indefinite Integrals | 35 Years Chapter wise Previous Year Solved Papers for JEE      (2019)

JEE Main Previous Year Questions (2016-2025): Indefinite Integrals | 35 Years Chapter wise Previous Year Solved Papers for JEE
JEE Main Previous Year Questions (2016-2025): Indefinite Integrals | 35 Years Chapter wise Previous Year Solved Papers for JEE
JEE Main Previous Year Questions (2016-2025): Indefinite Integrals | 35 Years Chapter wise Previous Year Solved Papers for JEE
JEE Main Previous Year Questions (2016-2025): Indefinite Integrals | 35 Years Chapter wise Previous Year Solved Papers for JEE
(where c is a constant of integration)
Ans. (3, 4)
Solution. Consider the given integral
JEE Main Previous Year Questions (2016-2025): Indefinite Integrals | 35 Years Chapter wise Previous Year Solved Papers for JEE
JEE Main Previous Year Questions (2016-2025): Indefinite Integrals | 35 Years Chapter wise Previous Year Solved Papers for JEE
JEE Main Previous Year Questions (2016-2025): Indefinite Integrals | 35 Years Chapter wise Previous Year Solved Papers for JEE
JEE Main Previous Year Questions (2016-2025): Indefinite Integrals | 35 Years Chapter wise Previous Year Solved Papers for JEE
JEE Main Previous Year Questions (2016-2025): Indefinite Integrals | 35 Years Chapter wise Previous Year Solved Papers for JEE
JEE Main Previous Year Questions (2016-2025): Indefinite Integrals | 35 Years Chapter wise Previous Year Solved Papers for JEE

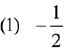
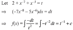
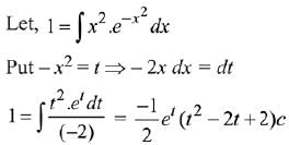
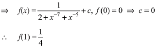
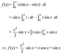
Q.4.JEE Main Previous Year Questions (2016-2025): Indefinite Integrals | 35 Years Chapter wise Previous Year Solved Papers for JEE and f(0) = 0, then the value of f(1) is:      (2019)
JEE Main Previous Year Questions (2016-2025): Indefinite Integrals | 35 Years Chapter wise Previous Year Solved Papers for JEE
JEE Main Previous Year Questions (2016-2025): Indefinite Integrals | 35 Years Chapter wise Previous Year Solved Papers for JEE
(3) 1/2
(4) 1/4

Ans. (4)
Solution.
f(x) =
JEE Main Previous Year Questions (2016-2025): Indefinite Integrals | 35 Years Chapter wise Previous Year Solved Papers for JEE
JEE Main Previous Year Questions (2016-2025): Indefinite Integrals | 35 Years Chapter wise Previous Year Solved Papers for JEE
JEE Main Previous Year Questions (2016-2025): Indefinite Integrals | 35 Years Chapter wise Previous Year Solved Papers for JEE

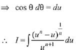
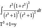
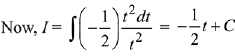
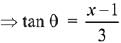
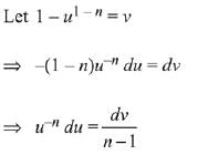
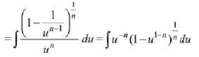
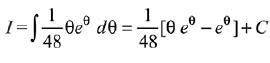
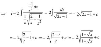
Q.5. Let n ≥ 2 be a natural number and 0 < θ < π/2. Then JEE Main Previous Year Questions (2016-2025): Indefinite Integrals | 35 Years Chapter wise Previous Year Solved Papers for JEEis equal to (where C is a constant of integration    (2019)
JEE Main Previous Year Questions (2016-2025): Indefinite Integrals | 35 Years Chapter wise Previous Year Solved Papers for JEE
JEE Main Previous Year Questions (2016-2025): Indefinite Integrals | 35 Years Chapter wise Previous Year Solved Papers for JEE

Ans. (1)
Solution.
JEE Main Previous Year Questions (2016-2025): Indefinite Integrals | 35 Years Chapter wise Previous Year Solved Papers for JEE
JEE Main Previous Year Questions (2016-2025): Indefinite Integrals | 35 Years Chapter wise Previous Year Solved Papers for JEE
JEE Main Previous Year Questions (2016-2025): Indefinite Integrals | 35 Years Chapter wise Previous Year Solved Papers for JEE
JEE Main Previous Year Questions (2016-2025): Indefinite Integrals | 35 Years Chapter wise Previous Year Solved Papers for JEE
JEE Main Previous Year Questions (2016-2025): Indefinite Integrals | 35 Years Chapter wise Previous Year Solved Papers for JEE
JEE Main Previous Year Questions (2016-2025): Indefinite Integrals | 35 Years Chapter wise Previous Year Solved Papers for JEE
JEE Main Previous Year Questions (2016-2025): Indefinite Integrals | 35 Years Chapter wise Previous Year Solved Papers for JEE

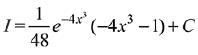
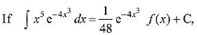
Q.6.JEE Main Previous Year Questions (2016-2025): Indefinite Integrals | 35 Years Chapter wise Previous Year Solved Papers for JEE where C is a constant of integration, then f (x) is equal to:      (2019)
(1) - 2x3 - 1
(2) - 4x3 - 1
(3) -2x3 + 1
(4) 4x3+ 1

Ans. (2)
Solution. 
JEE Main Previous Year Questions (2016-2025): Indefinite Integrals | 35 Years Chapter wise Previous Year Solved Papers for JEE
Put -4x3 = θ
⇒ -12x2 dx = dθ
JEE Main Previous Year Questions (2016-2025): Indefinite Integrals | 35 Years Chapter wise Previous Year Solved Papers for JEE
JEE Main Previous Year Questions (2016-2025): Indefinite Integrals | 35 Years Chapter wise Previous Year Solved Papers for JEE
JEE Main Previous Year Questions (2016-2025): Indefinite Integrals | 35 Years Chapter wise Previous Year Solved Papers for JEE
Then, by comparison
f(x) = -4x3 - 1

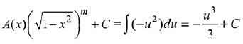
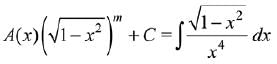
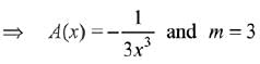
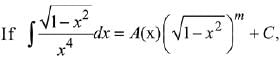
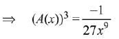
Q.7.JEE Main Previous Year Questions (2016-2025): Indefinite Integrals | 35 Years Chapter wise Previous Year Solved Papers for JEE for a suitable chosen integer m and a function A (x), where C is a constant of integration, then (A(x))m equals:      (2019)
JEE Main Previous Year Questions (2016-2025): Indefinite Integrals | 35 Years Chapter wise Previous Year Solved Papers for JEE
JEE Main Previous Year Questions (2016-2025): Indefinite Integrals | 35 Years Chapter wise Previous Year Solved Papers for JEE
JEE Main Previous Year Questions (2016-2025): Indefinite Integrals | 35 Years Chapter wise Previous Year Solved Papers for JEE
JEE Main Previous Year Questions (2016-2025): Indefinite Integrals | 35 Years Chapter wise Previous Year Solved Papers for JEE
Ans. (1)
Solution.
JEE Main Previous Year Questions (2016-2025): Indefinite Integrals | 35 Years Chapter wise Previous Year Solved Papers for JEE
JEE Main Previous Year Questions (2016-2025): Indefinite Integrals | 35 Years Chapter wise Previous Year Solved Papers for JEE
JEE Main Previous Year Questions (2016-2025): Indefinite Integrals | 35 Years Chapter wise Previous Year Solved Papers for JEE
JEE Main Previous Year Questions (2016-2025): Indefinite Integrals | 35 Years Chapter wise Previous Year Solved Papers for JEE
JEE Main Previous Year Questions (2016-2025): Indefinite Integrals | 35 Years Chapter wise Previous Year Solved Papers for JEE
JEE Main Previous Year Questions (2016-2025): Indefinite Integrals | 35 Years Chapter wise Previous Year Solved Papers for JEE
JEE Main Previous Year Questions (2016-2025): Indefinite Integrals | 35 Years Chapter wise Previous Year Solved Papers for JEE
Comparing both sides,
JEE Main Previous Year Questions (2016-2025): Indefinite Integrals | 35 Years Chapter wise Previous Year Solved Papers for JEE
JEE Main Previous Year Questions (2016-2025): Indefinite Integrals | 35 Years Chapter wise Previous Year Solved Papers for JEE

Q.8.JEE Main Previous Year Questions (2016-2025): Indefinite Integrals | 35 Years Chapter wise Previous Year Solved Papers for JEE where C is a constant of integration, then f(x) is equal to:      (2019)
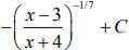
(1) JEE Main Previous Year Questions (2016-2025): Indefinite Integrals | 35 Years Chapter wise Previous Year Solved Papers for JEE
(2) JEE Main Previous Year Questions (2016-2025): Indefinite Integrals | 35 Years Chapter wise Previous Year Solved Papers for JEE
(3) JEE Main Previous Year Questions (2016-2025): Indefinite Integrals | 35 Years Chapter wise Previous Year Solved Papers for JEE
(4) JEE Main Previous Year Questions (2016-2025): Indefinite Integrals | 35 Years Chapter wise Previous Year Solved Papers for JEE
Ans. (4)
Solution.
JEE Main Previous Year Questions (2016-2025): Indefinite Integrals | 35 Years Chapter wise Previous Year Solved Papers for JEE
JEE Main Previous Year Questions (2016-2025): Indefinite Integrals | 35 Years Chapter wise Previous Year Solved Papers for JEE
JEE Main Previous Year Questions (2016-2025): Indefinite Integrals | 35 Years Chapter wise Previous Year Solved Papers for JEE
JEE Main Previous Year Questions (2016-2025): Indefinite Integrals | 35 Years Chapter wise Previous Year Solved Papers for JEE

Q.9. The integral JEE Main Previous Year Questions (2016-2025): Indefinite Integrals | 35 Years Chapter wise Previous Year Solved Papers for JEE is equal to:      
(where C is a constant of integration)    (2019)
JEE Main Previous Year Questions (2016-2025): Indefinite Integrals | 35 Years Chapter wise Previous Year Solved Papers for JEE
JEE Main Previous Year Questions (2016-2025): Indefinite Integrals | 35 Years Chapter wise Previous Year Solved Papers for JEE
JEE Main Previous Year Questions (2016-2025): Indefinite Integrals | 35 Years Chapter wise Previous Year Solved Papers for JEE
JEE Main Previous Year Questions (2016-2025): Indefinite Integrals | 35 Years Chapter wise Previous Year Solved Papers for JEE
Ans. (3)
Solution.
JEE Main Previous Year Questions (2016-2025): Indefinite Integrals | 35 Years Chapter wise Previous Year Solved Papers for JEE
JEE Main Previous Year Questions (2016-2025): Indefinite Integrals | 35 Years Chapter wise Previous Year Solved Papers for JEE
JEE Main Previous Year Questions (2016-2025): Indefinite Integrals | 35 Years Chapter wise Previous Year Solved Papers for JEE
JEE Main Previous Year Questions (2016-2025): Indefinite Integrals | 35 Years Chapter wise Previous Year Solved Papers for JEE
JEE Main Previous Year Questions (2016-2025): Indefinite Integrals | 35 Years Chapter wise Previous Year Solved Papers for JEE

Q.10. The integral JEE Main Previous Year Questions (2016-2025): Indefinite Integrals | 35 Years Chapter wise Previous Year Solved Papers for JEE is equal to: (where C is a constant of integration)      (2019)
JEE Main Previous Year Questions (2016-2025): Indefinite Integrals | 35 Years Chapter wise Previous Year Solved Papers for JEE
JEE Main Previous Year Questions (2016-2025): Indefinite Integrals | 35 Years Chapter wise Previous Year Solved Papers for JEE
JEE Main Previous Year Questions (2016-2025): Indefinite Integrals | 35 Years Chapter wise Previous Year Solved Papers for JEE
JEE Main Previous Year Questions (2016-2025): Indefinite Integrals | 35 Years Chapter wise Previous Year Solved Papers for JEE
Ans. (2)
Solution.
JEE Main Previous Year Questions (2016-2025): Indefinite Integrals | 35 Years Chapter wise Previous Year Solved Papers for JEE

JEE Main Previous Year Questions (2016-2025): Indefinite Integrals | 35 Years Chapter wise Previous Year Solved Papers for JEE
JEE Main Previous Year Questions (2016-2025): Indefinite Integrals | 35 Years Chapter wise Previous Year Solved Papers for JEE
JEE Main Previous Year Questions (2016-2025): Indefinite Integrals | 35 Years Chapter wise Previous Year Solved Papers for JEE
JEE Main Previous Year Questions (2016-2025): Indefinite Integrals | 35 Years Chapter wise Previous Year Solved Papers for JEE
JEE Main Previous Year Questions (2016-2025): Indefinite Integrals | 35 Years Chapter wise Previous Year Solved Papers for JEE

Q.11. 
JEE Main Previous Year Questions (2016-2025): Indefinite Integrals | 35 Years Chapter wise Previous Year Solved Papers for JEEis equal to:    
(where c is a constant of integration.)    (2019)
(1) 2x + sinx + 2 sin2x + c
(2) x + 2 sinx + 2 sin2x + c
(3) x + 2 sinx + sin2x + c
(4) 2x + sinx + sin2x + c

Ans. (3)
Solution.
JEE Main Previous Year Questions (2016-2025): Indefinite Integrals | 35 Years Chapter wise Previous Year Solved Papers for JEE
JEE Main Previous Year Questions (2016-2025): Indefinite Integrals | 35 Years Chapter wise Previous Year Solved Papers for JEE
[ ∵ sin 2x = 2 sin x cos x and sin 3x = 3 sin x - 4 sin3x]
JEE Main Previous Year Questions (2016-2025): Indefinite Integrals | 35 Years Chapter wise Previous Year Solved Papers for JEE

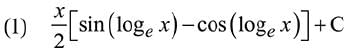
Q.12.JEE Main Previous Year Questions (2016-2025): Indefinite Integrals | 35 Years Chapter wise Previous Year Solved Papers for JEE where C is a constant of integration, then the function f(x) is equal to:      (2019)
JEE Main Previous Year Questions (2016-2025): Indefinite Integrals | 35 Years Chapter wise Previous Year Solved Papers for JEE
JEE Main Previous Year Questions (2016-2025): Indefinite Integrals | 35 Years Chapter wise Previous Year Solved Papers for JEE
JEE Main Previous Year Questions (2016-2025): Indefinite Integrals | 35 Years Chapter wise Previous Year Solved Papers for JEE
JEE Main Previous Year Questions (2016-2025): Indefinite Integrals | 35 Years Chapter wise Previous Year Solved Papers for JEE
Ans. (4)
Solution.
JEE Main Previous Year Questions (2016-2025): Indefinite Integrals | 35 Years Chapter wise Previous Year Solved Papers for JEE
JEE Main Previous Year Questions (2016-2025): Indefinite Integrals | 35 Years Chapter wise Previous Year Solved Papers for JEE
JEE Main Previous Year Questions (2016-2025): Indefinite Integrals | 35 Years Chapter wise Previous Year Solved Papers for JEE

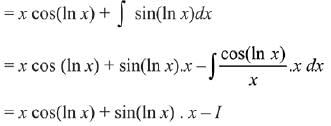
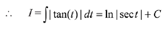
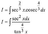
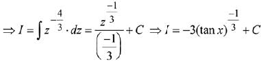
Q.13. The integral ∫ sec2/3 x cosec4/3 xdx is equal to:
(1) -3 tan-1/3 x + C
JEE Main Previous Year Questions (2016-2025): Indefinite Integrals | 35 Years Chapter wise Previous Year Solved Papers for JEE
(3) -3 cot-1/3 x + C
(4) 3 tan-1/3 x + C
(Here C is a constant of integration)      (2019)

Ans. (1)
Solution.
JEE Main Previous Year Questions (2016-2025): Indefinite Integrals | 35 Years Chapter wise Previous Year Solved Papers for JEE
JEE Main Previous Year Questions (2016-2025): Indefinite Integrals | 35 Years Chapter wise Previous Year Solved Papers for JEE
JEE Main Previous Year Questions (2016-2025): Indefinite Integrals | 35 Years Chapter wise Previous Year Solved Papers for JEE

Q.14. If ∫esec x (sec x tan x f(x) + (sec x tan x + sec2 x)) dx = esecx f(x) + C, then a possible choice of f(x) is:      (2019)
JEE Main Previous Year Questions (2016-2025): Indefinite Integrals | 35 Years Chapter wise Previous Year Solved Papers for JEE
JEE Main Previous Year Questions (2016-2025): Indefinite Integrals | 35 Years Chapter wise Previous Year Solved Papers for JEE
JEE Main Previous Year Questions (2016-2025): Indefinite Integrals | 35 Years Chapter wise Previous Year Solved Papers for JEE
JEE Main Previous Year Questions (2016-2025): Indefinite Integrals | 35 Years Chapter wise Previous Year Solved Papers for JEE
Ans. (1)
Solution.
JEE Main Previous Year Questions (2016-2025): Indefinite Integrals | 35 Years Chapter wise Previous Year Solved Papers for JEE

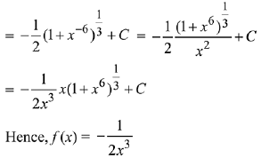
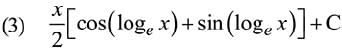
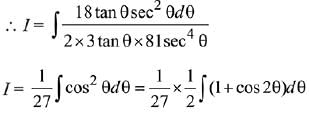
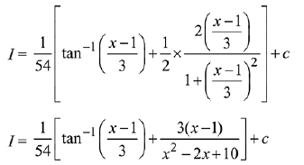
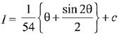
Q.15.JEE Main Previous Year Questions (2016-2025): Indefinite Integrals | 35 Years Chapter wise Previous Year Solved Papers for JEE where C is a constant of integration, then:      (2019)
(1) A = 1/54 and f(x) = 3 (x - 1)
(2) A = 1/81 and f(x) = 3 (x - 1)
(3) A = 1/27 and f(x) = 9 (x - 1)
(4) A = 1/54 and f(x) = 9 (x - 1)2
Ans. (1)
Solution.
JEE Main Previous Year Questions (2016-2025): Indefinite Integrals | 35 Years Chapter wise Previous Year Solved Papers for JEE
Let (x - 1)2 = 9 tan2 θ    ....(1)
JEE Main Previous Year Questions (2016-2025): Indefinite Integrals | 35 Years Chapter wise Previous Year Solved Papers for JEE
After differentiating equation ...(1), we get
2 (x - 1) dx = 18 tan θ sec2θ dθ
JEE Main Previous Year Questions (2016-2025): Indefinite Integrals | 35 Years Chapter wise Previous Year Solved Papers for JEE
JEE Main Previous Year Questions (2016-2025): Indefinite Integrals | 35 Years Chapter wise Previous Year Solved Papers for JEE
JEE Main Previous Year Questions (2016-2025): Indefinite Integrals | 35 Years Chapter wise Previous Year Solved Papers for JEE
JEE Main Previous Year Questions (2016-2025): Indefinite Integrals | 35 Years Chapter wise Previous Year Solved Papers for JEE
we get: A = 1/54 and f(x) = 3 (x - 1)

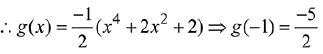
Q.16. If JEE Main Previous Year Questions (2016-2025): Indefinite Integrals | 35 Years Chapter wise Previous Year Solved Papers for JEE where c is a constant of integration, then g(-1) is equal to:      (2019)
(1) -1
(2) 1
(3) JEE Main Previous Year Questions (2016-2025): Indefinite Integrals | 35 Years Chapter wise Previous Year Solved Papers for JEE
(4) JEE Main Previous Year Questions (2016-2025): Indefinite Integrals | 35 Years Chapter wise Previous Year Solved Papers for JEE
Ans. (3)
Solution.
JEE Main Previous Year Questions (2016-2025): Indefinite Integrals | 35 Years Chapter wise Previous Year Solved Papers for JEE
JEE Main Previous Year Questions (2016-2025): Indefinite Integrals | 35 Years Chapter wise Previous Year Solved Papers for JEE

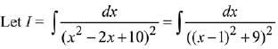
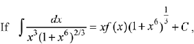
Q.17. The integral JEE Main Previous Year Questions (2016-2025): Indefinite Integrals | 35 Years Chapter wise Previous Year Solved Papers for JEE is equal to:      (2019)
(Here C is a constant of integration)
JEE Main Previous Year Questions (2016-2025): Indefinite Integrals | 35 Years Chapter wise Previous Year Solved Papers for JEE
JEE Main Previous Year Questions (2016-2025): Indefinite Integrals | 35 Years Chapter wise Previous Year Solved Papers for JEE
JEE Main Previous Year Questions (2016-2025): Indefinite Integrals | 35 Years Chapter wise Previous Year Solved Papers for JEE
JEE Main Previous Year Questions (2016-2025): Indefinite Integrals | 35 Years Chapter wise Previous Year Solved Papers for JEE
Ans. (3)
Solution.
JEE Main Previous Year Questions (2016-2025): Indefinite Integrals | 35 Years Chapter wise Previous Year Solved Papers for JEE
JEE Main Previous Year Questions (2016-2025): Indefinite Integrals | 35 Years Chapter wise Previous Year Solved Papers for JEE
JEE Main Previous Year Questions (2016-2025): Indefinite Integrals | 35 Years Chapter wise Previous Year Solved Papers for JEE

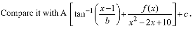
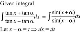
Q.18. Let α ∈ (0, π/2) be fixed. If the integral JEE Main Previous Year Questions (2016-2025): Indefinite Integrals | 35 Years Chapter wise Previous Year Solved Papers for JEE A(x) cos2α+B(x) sin2α+C, where C is a constant of integration, then the functions A(x) and B(x) are respectively:      (2019)
(1)  x + α and loge|sin(x + α)|
(2) x - α and loge|sin(x - α)|
(3) x - α and loge |cos(x - α)|
(4) x + α and loge |sin(x - a)|
Ans. 
(2)
Solution.

JEE Main Previous Year Questions (2016-2025): Indefinite Integrals | 35 Years Chapter wise Previous Year Solved Papers for JEE
JEE Main Previous Year Questions (2016-2025): Indefinite Integrals | 35 Years Chapter wise Previous Year Solved Papers for JEE

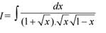
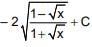
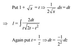
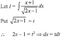
Q.19. The integral JEE Main Previous Year Questions (2016-2025): Indefinite Integrals | 35 Years Chapter wise Previous Year Solved Papers for JEEis equal to:    (2018)
(1) JEE Main Previous Year Questions (2016-2025): Indefinite Integrals | 35 Years Chapter wise Previous Year Solved Papers for JEE
(2) JEE Main Previous Year Questions (2016-2025): Indefinite Integrals | 35 Years Chapter wise Previous Year Solved Papers for JEE
(3) JEE Main Previous Year Questions (2016-2025): Indefinite Integrals | 35 Years Chapter wise Previous Year Solved Papers for JEE
(4) JEE Main Previous Year Questions (2016-2025): Indefinite Integrals | 35 Years Chapter wise Previous Year Solved Papers for JEE
Ans. 
(2)
Solution.

JEE Main Previous Year Questions (2016-2025): Indefinite Integrals | 35 Years Chapter wise Previous Year Solved Papers for JEE
JEE Main Previous Year Questions (2016-2025): Indefinite Integrals | 35 Years Chapter wise Previous Year Solved Papers for JEE
JEE Main Previous Year Questions (2016-2025): Indefinite Integrals | 35 Years Chapter wise Previous Year Solved Papers for JEE
JEE Main Previous Year Questions (2016-2025): Indefinite Integrals | 35 Years Chapter wise Previous Year Solved Papers for JEE

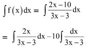
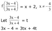
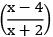
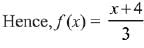
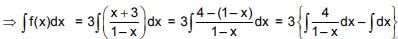
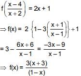
Q.20. If f JEE Main Previous Year Questions (2016-2025): Indefinite Integrals | 35 Years Chapter wise Previous Year Solved Papers for JEE = 2x + 1, (x ∈ R − {1, −2}), then ∫ f(x)dx is equal to:  (where C is a constant of integration)     (2018)
(1) 12 loge |1 - x| - 3x + C
(2) – 12 loge |1 – x| + 3x + C
(3) – 12 loge |1 – x| - 3x + C
(4) 12 loge |1 – x| + 3x + C
Ans. 
(3)
Solution.
JEE Main Previous Year Questions (2016-2025): Indefinite Integrals | 35 Years Chapter wise Previous Year Solved Papers for JEE
JEE Main Previous Year Questions (2016-2025): Indefinite Integrals | 35 Years Chapter wise Previous Year Solved Papers for JEE
= 3 {–4ℓn|1–x – x| + C = –12ℓn |1–x| – 3x + C

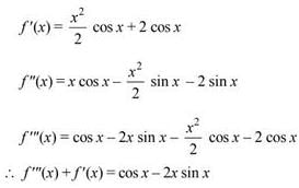
Q.21. If f(x) = JEE Main Previous Year Questions (2016-2025): Indefinite Integrals | 35 Years Chapter wise Previous Year Solved Papers for JEE dt then:    (2018)
(1) f''' (x) - f''(x) = cosx - 2x sinx
(2) f'''(x) + f''(x) - f'(x) = cosx
(3) f'''(x) + f''(x) = sinx
(4) f'''(x) + f'(x) = cosx - 2x sinx
Ans. 
(4)
Solution.

JEE Main Previous Year Questions (2016-2025): Indefinite Integrals | 35 Years Chapter wise Previous Year Solved Papers for JEE
JEE Main Previous Year Questions (2016-2025): Indefinite Integrals | 35 Years Chapter wise Previous Year Solved Papers for JEE

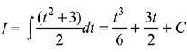
Q.22. If JEE Main Previous Year Questions (2016-2025): Indefinite Integrals | 35 Years Chapter wise Previous Year Solved Papers for JEE JEE Main Previous Year Questions (2016-2025): Indefinite Integrals | 35 Years Chapter wise Previous Year Solved Papers for JEE (C is a constant of integration), then the ordered pair (K, A) is equal to    (2018)
(1) (2, 1)
(2) (2, 3)
(3) (–2, 1)
(4) (–2, 3)
Ans. 
(2)
Solution.

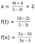
I = JEE Main Previous Year Questions (2016-2025): Indefinite Integrals | 35 Years Chapter wise Previous Year Solved Papers for JEE
=JEE Main Previous Year Questions (2016-2025): Indefinite Integrals | 35 Years Chapter wise Previous Year Solved Papers for JEE
JEE Main Previous Year Questions (2016-2025): Indefinite Integrals | 35 Years Chapter wise Previous Year Solved Papers for JEE
JEE Main Previous Year Questions (2016-2025): Indefinite Integrals | 35 Years Chapter wise Previous Year Solved Papers for JEE 

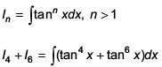
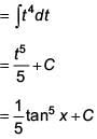
Q.23. Let In = ∫tann xdx,(n > 1). If I4 +I6= a tan5 x + bx5 + C, where C is a constant of integration, then the ordered pair (a, b) is equal to    (2017)
(1) (-1/5 , 0)
(2) (-1/5 , 1)
(3) (1/5, 0)
(4) (1/5, -1)
Ans.
(3)
Solution.
JEE Main Previous Year Questions (2016-2025): Indefinite Integrals | 35 Years Chapter wise Previous Year Solved Papers for JEE
JEE Main Previous Year Questions (2016-2025): Indefinite Integrals | 35 Years Chapter wise Previous Year Solved Papers for JEE
Let tanx = t
sec2x dx = dt
JEE Main Previous Year Questions (2016-2025): Indefinite Integrals | 35 Years Chapter wise Previous Year Solved Papers for JEE
JEE Main Previous Year Questions (2016-2025): Indefinite Integrals | 35 Years Chapter wise Previous Year Solved Papers for JEE

Q.24. The integral JEE Main Previous Year Questions (2016-2025): Indefinite Integrals | 35 Years Chapter wise Previous Year Solved Papers for JEE JEE Main Previous Year Questions (2016-2025): Indefinite Integrals | 35 Years Chapter wise Previous Year Solved Papers for JEE is equal to:
(where C is a constant of integration)    (2017)
(1) JEE Main Previous Year Questions (2016-2025): Indefinite Integrals | 35 Years Chapter wise Previous Year Solved Papers for JEE
(2) JEE Main Previous Year Questions (2016-2025): Indefinite Integrals | 35 Years Chapter wise Previous Year Solved Papers for JEE
(3) JEE Main Previous Year Questions (2016-2025): Indefinite Integrals | 35 Years Chapter wise Previous Year Solved Papers for JEE
(4) JEE Main Previous Year Questions (2016-2025): Indefinite Integrals | 35 Years Chapter wise Previous Year Solved Papers for JEE
Ans.
(1)
Solution.
JEE Main Previous Year Questions (2016-2025): Indefinite Integrals | 35 Years Chapter wise Previous Year Solved Papers for JEE
JEE Main Previous Year Questions (2016-2025): Indefinite Integrals | 35 Years Chapter wise Previous Year Solved Papers for JEE
JEE Main Previous Year Questions (2016-2025): Indefinite Integrals | 35 Years Chapter wise Previous Year Solved Papers for JEE

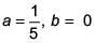
Q.25. If JEE Main Previous Year Questions (2016-2025): Indefinite Integrals | 35 Years Chapter wise Previous Year Solved Papers for JEE and JEE Main Previous Year Questions (2016-2025): Indefinite Integrals | 35 Years Chapter wise Previous Year Solved Papers for JEE then the ordered pair (A,B) is equal to :(where c is a constant of integration)    (2017)
(1) JEE Main Previous Year Questions (2016-2025): Indefinite Integrals | 35 Years Chapter wise Previous Year Solved Papers for JEE
(2) JEE Main Previous Year Questions (2016-2025): Indefinite Integrals | 35 Years Chapter wise Previous Year Solved Papers for JEE
(3) JEE Main Previous Year Questions (2016-2025): Indefinite Integrals | 35 Years Chapter wise Previous Year Solved Papers for JEE
(4) JEE Main Previous Year Questions (2016-2025): Indefinite Integrals | 35 Years Chapter wise Previous Year Solved Papers for JEE
Ans. 
(2)
Solution.
JEE Main Previous Year Questions (2016-2025): Indefinite Integrals | 35 Years Chapter wise Previous Year Solved Papers for JEE
JEE Main Previous Year Questions (2016-2025): Indefinite Integrals | 35 Years Chapter wise Previous Year Solved Papers for JEE
JEE Main Previous Year Questions (2016-2025): Indefinite Integrals | 35 Years Chapter wise Previous Year Solved Papers for JEE
JEE Main Previous Year Questions (2016-2025): Indefinite Integrals | 35 Years Chapter wise Previous Year Solved Papers for JEE

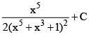
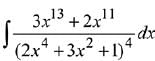
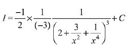
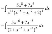
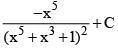
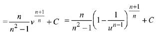
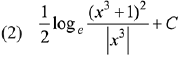
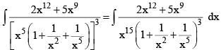
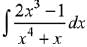
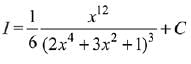
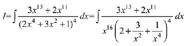
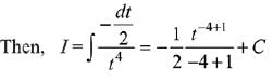
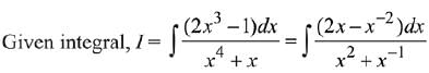
Q.26. The integral JEE Main Previous Year Questions (2016-2025): Indefinite Integrals | 35 Years Chapter wise Previous Year Solved Papers for JEEdx is equal to:    (2016)
(1) JEE Main Previous Year Questions (2016-2025): Indefinite Integrals | 35 Years Chapter wise Previous Year Solved Papers for JEE
(2) JEE Main Previous Year Questions (2016-2025): Indefinite Integrals | 35 Years Chapter wise Previous Year Solved Papers for JEE
(3) JEE Main Previous Year Questions (2016-2025): Indefinite Integrals | 35 Years Chapter wise Previous Year Solved Papers for JEE
(4) JEE Main Previous Year Questions (2016-2025): Indefinite Integrals | 35 Years Chapter wise Previous Year Solved Papers for JEE 
Ans. 
(2)
Solution.

Dividing numerator and denominator by x15 we get,
JEE Main Previous Year Questions (2016-2025): Indefinite Integrals | 35 Years Chapter wise Previous Year Solved Papers for JEE
JEE Main Previous Year Questions (2016-2025): Indefinite Integrals | 35 Years Chapter wise Previous Year Solved Papers for JEE

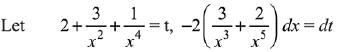
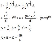
Q.27. If JEE Main Previous Year Questions (2016-2025): Indefinite Integrals | 35 Years Chapter wise Previous Year Solved Papers for JEE , where k is a constant of integration, then A + B + C equals    (2016)
(1) 15/5
(2) 21/5
(3) 7/10
(4) 27/10
Ans.
(1)
Solution.
JEE Main Previous Year Questions (2016-2025): Indefinite Integrals | 35 Years Chapter wise Previous Year Solved Papers for JEE
tan x = t
JEE Main Previous Year Questions (2016-2025): Indefinite Integrals | 35 Years Chapter wise Previous Year Solved Papers for JEE

Q.28. The integral JEE Main Previous Year Questions (2016-2025): Indefinite Integrals | 35 Years Chapter wise Previous Year Solved Papers for JEE is equal to (where C is a constant of integration)    (2016)
(1) JEE Main Previous Year Questions (2016-2025): Indefinite Integrals | 35 Years Chapter wise Previous Year Solved Papers for JEE
(2) JEE Main Previous Year Questions (2016-2025): Indefinite Integrals | 35 Years Chapter wise Previous Year Solved Papers for JEE
(3) JEE Main Previous Year Questions (2016-2025): Indefinite Integrals | 35 Years Chapter wise Previous Year Solved Papers for JEE
(4) JEE Main Previous Year Questions (2016-2025): Indefinite Integrals | 35 Years Chapter wise Previous Year Solved Papers for JEE
Ans. 
(2)
Solution.
JEE Main Previous Year Questions (2016-2025): Indefinite Integrals | 35 Years Chapter wise Previous Year Solved Papers for JEE
JEE Main Previous Year Questions (2016-2025): Indefinite Integrals | 35 Years Chapter wise Previous Year Solved Papers for JEE
JEE Main Previous Year Questions (2016-2025): Indefinite Integrals | 35 Years Chapter wise Previous Year Solved Papers for JEE

The document JEE Main Previous Year Questions (2016-2025): Indefinite Integrals | 35 Years Chapter wise Previous Year Solved Papers for JEE is a part of the JEE Course 35 Years Chapter wise Previous Year Solved Papers for JEE.
All you need of JEE at this link: JEE
347 docs|185 tests
Related Searches

practice quizzes

,

Extra Questions

,

study material

,

Free

,

mock tests for examination

,

Sample Paper

,

Viva Questions

,

Previous Year Questions with Solutions

,

MCQs

,

ppt

,

Exam

,

past year papers

,

Semester Notes

,

shortcuts and tricks

,

pdf

,

video lectures

,

Important questions

,

Summary

,

JEE Main Previous Year Questions (2016-2025): Indefinite Integrals | 35 Years Chapter wise Previous Year Solved Papers for JEE

,

JEE Main Previous Year Questions (2016-2025): Indefinite Integrals | 35 Years Chapter wise Previous Year Solved Papers for JEE

,

Objective type Questions

,

JEE Main Previous Year Questions (2016-2025): Indefinite Integrals | 35 Years Chapter wise Previous Year Solved Papers for JEE

;