The distance d between two points (x1, y1, z1) and (x2, y2, z2) in three-dimensional space is given by the length of the difference of their position vectors.

=

In words, the distance is the square root of the sum of squares of differences of corresponding co-ordinates:
Direction cosines of a line are the cosines of the angles which a line (or a vector along the line) makes with the positive X, Y and Z axes. If these cosines are l, m, n then

The triple (l, m, n) must satisfy the relation l² + m² + n² = 1.
Direction ratios are any three numbers proportional to the direction cosines. If a, b, c are such numbers then

That is, (a, b, c) are direction ratios and may be scaled by any nonzero common factor. Take the same sign convention (+/-) consistently for all three ratios.
For the line joining (x1, y1, z1) and (x2, y2, z2), direction ratios are proportional to (x2 - x1), (y2 - y1), (z2 - z1).
If two lines have direction cosines (l1, m1, n1) and (l2, m2, n2), and the angle between them is θ, then
cos θ = l1l2 + m1m2 + n1n2.
Hence the lines are perpendicular if
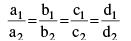
The lines are parallel if their direction ratios are proportional (equivalently direction cosines are proportional). In symbolic form:

Two lines coincide when they are parallel and have at least one common point (or when their direction ratios are proportional and their equations are consistent):

If three lines are coplanar, a condition involving their direction ratios holds:


The projection of the segment joining points (x1, y1, z1) and (x2, y2, z2) on a line whose direction cosines are l, m, n is
The general linear equation of a plane is
The plane passing through (x1, y1, z1) with normal direction ratios (a, b, c) has the point-normal form
Here (a, b, c) is normal to the plane.
If a plane cuts the coordinate axes at (x1, 0, 0), (0, y1, 0) and (0, 0, z1) then its intercept form is
(x/x1) + (y/y1) + (z/z1) = 1.

If the length of the perpendicular from the origin to the plane is p and the direction cosines of the normal are l, m, n then the plane can be written in normal form as
Two planes a1x + b1y + c1z + d1 = 0 and a2x + b2y + c2z + d2 = 0 are perpendicular if
They are parallel if their normals are proportional:

They are coincident if they are parallel and their equations represent the same plane (i.e., ratios of coefficients including constant term are equal):

The angle between a line and a plane is the complement of the angle between the line and the normal to the plane. If θ is the angle between the line and the normal, and α is the angle between the line and the plane, then α = 90° - θ. In terms of direction cosines:

where θ is the angle between the line and the normal to the plane.
The length of the perpendicular from a point (x1, y1, z1) to the plane ax + by + cz + d = 0 is

That is, absolute value of (ax1 + by1 + cz1 + d) divided by √(a² + b² + c²).
For the parallel planes ax + by + cz + d1 = 0 and ax + by + cz + d2 = 0, the perpendicular distance between them is

Let the two planes be a1x + b1y + c1z + d1 = 0 and a2x + b2y + c2z + d2 = 0. The equations of the planes that bisect the angles between them are given by the locus of points whose (unsigned) distances to the two planes are equal:

One of these bisecting planes corresponds to the acute angle and the other corresponds to the obtuse angle between the given planes.
The family of planes passing through the line of intersection of two planes P1 ≡ 0 and P2 ≡ 0 is given by
P1 + λ P2 = 0, where λ is a parameter.

The vector form of the equation of a line passing through point A(x1, y1, z1) with direction cosines l, m, n or with direction ratios proportional to (l, m, n) is

From vector form one obtains parametric form:
The symmetric (Cartesian) form of the line through points (x1, y1, z1) and (x2, y2, z2) uses direction ratios (x2 - x1, y2 - y1, z2 - z1):

That is, (x - x1)/(x2 - x1) = (y - y1)/(y2 - y1) = (z - z1)/(z2 - z1).
The intersection of two non-parallel planes
a1x + b1y + c1z + d1 = 0
and
a2x + b2y + c2z + d2 = 0
represents a line. This is the unsymmetrical form of the straight line obtained by solving the two plane equations simultaneously.
Given a line with direction ratios (l, m, n) passing through (x1, y1, z1), the general equation of any plane containing this line can be written as

where A, B, C are the direction ratios of the normal to that plane and must satisfy A l + B m + C n = 0 (normal is perpendicular to the line).
Consider a given plane and a horizontal plane (the plane z = constant). The line of greatest slope on the given plane through a point P is the line on the plane passing through P and perpendicular to the line of intersection of the given plane with any horizontal plane through P. Equivalently, the line of greatest slope is the projection of the normal of the plane onto the vertical plane through P and has the maximum angle with the horizontal.



















| 1. What are the formulas for finding the distance between two points in 3D geometry? | ![]() |
| 2. How do I calculate the midpoint between two points in 3D space? | ![]() |
| 3. What is the formula for finding the equation of a plane in 3D geometry? | ![]() |
| 4. How can I find the angle between two vectors in 3D space? | ![]() |
| 5. How do I calculate the volume of a parallelepiped in 3D geometry? | ![]() |