Class 9 Exam  >  Class 9 Notes  >  Extra Documents & Tests for Class 9  >  RS Aggarwal Solutions: Exercise 1F - Number System

RS Aggarwal Solutions: Exercise 1F - Number System | Extra Documents & Tests for Class 9 PDF Download

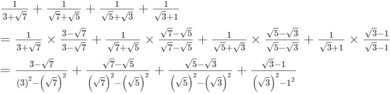
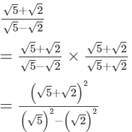
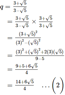
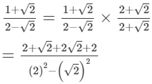
Q.1. Write the rationalising factor of the denominator in RS Aggarwal Solutions: Exercise 1F - Number System | Extra Documents & Tests for Class 9
Ans.
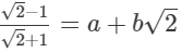
RS Aggarwal Solutions: Exercise 1F - Number System | Extra Documents & Tests for Class 9
RS Aggarwal Solutions: Exercise 1F - Number System | Extra Documents & Tests for Class 9
Here, the denominator i.e. 1 is a rational number. Thus, the rationalising factor of the denominator in RS Aggarwal Solutions: Exercise 1F - Number System | Extra Documents & Tests for Class 9

Q.2. Rationalise the denominator of each of the following.
(i)RS Aggarwal Solutions: Exercise 1F - Number System | Extra Documents & Tests for Class 9
(ii)RS Aggarwal Solutions: Exercise 1F - Number System | Extra Documents & Tests for Class 9
(iii)RS Aggarwal Solutions: Exercise 1F - Number System | Extra Documents & Tests for Class 9
(iv)RS Aggarwal Solutions: Exercise 1F - Number System | Extra Documents & Tests for Class 9
(v)RS Aggarwal Solutions: Exercise 1F - Number System | Extra Documents & Tests for Class 9
(vi)RS Aggarwal Solutions: Exercise 1F - Number System | Extra Documents & Tests for Class 9
(vii)RS Aggarwal Solutions: Exercise 1F - Number System | Extra Documents & Tests for Class 9
(viii)RS Aggarwal Solutions: Exercise 1F - Number System | Extra Documents & Tests for Class 9
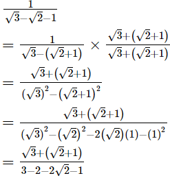
(ix)RS Aggarwal Solutions: Exercise 1F - Number System | Extra Documents & Tests for Class 9
Ans.
(i)RS Aggarwal Solutions: Exercise 1F - Number System | Extra Documents & Tests for Class 9
On multiplying the numerator and denominator of the given number by √7, we get:
RS Aggarwal Solutions: Exercise 1F - Number System | Extra Documents & Tests for Class 9
(ii)RS Aggarwal Solutions: Exercise 1F - Number System | Extra Documents & Tests for Class 9
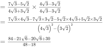
On multiplying the numerator and denominator of the given number by √3, we get:
RS Aggarwal Solutions: Exercise 1F - Number System | Extra Documents & Tests for Class 9
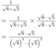
(iii)RS Aggarwal Solutions: Exercise 1F - Number System | Extra Documents & Tests for Class 9
On multiplying the numerator and denominator of the given number by 2 - √3, we get:
RS Aggarwal Solutions: Exercise 1F - Number System | Extra Documents & Tests for Class 9
(iv)RS Aggarwal Solutions: Exercise 1F - Number System | Extra Documents & Tests for Class 9
On multiplying the numerator and denominator of the given number by √5 +2, we get:

RS Aggarwal Solutions: Exercise 1F - Number System | Extra Documents & Tests for Class 9
(v)RS Aggarwal Solutions: Exercise 1F - Number System | Extra Documents & Tests for Class 9

On multiplying the numerator and denominator of the given number by 5-3√2, we get:
RS Aggarwal Solutions: Exercise 1F - Number System | Extra Documents & Tests for Class 9
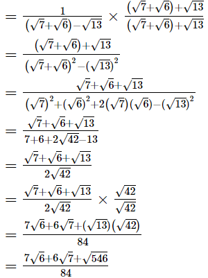
(vi)RS Aggarwal Solutions: Exercise 1F - Number System | Extra Documents & Tests for Class 9
Multiplying the numerator and denominator by √7+√6, we get
RS Aggarwal Solutions: Exercise 1F - Number System | Extra Documents & Tests for Class 9
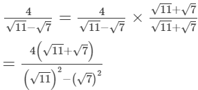
(vii)RS Aggarwal Solutions: Exercise 1F - Number System | Extra Documents & Tests for Class 9
Multiplying the numerator and denominator by √11+√7, we get
RS Aggarwal Solutions: Exercise 1F - Number System | Extra Documents & Tests for Class 9
RS Aggarwal Solutions: Exercise 1F - Number System | Extra Documents & Tests for Class 9
(viii)RS Aggarwal Solutions: Exercise 1F - Number System | Extra Documents & Tests for Class 9
Multiplying the numerator and denominator by 2+√2, we get
RS Aggarwal Solutions: Exercise 1F - Number System | Extra Documents & Tests for Class 9 
RS Aggarwal Solutions: Exercise 1F - Number System | Extra Documents & Tests for Class 9
(ix)RS Aggarwal Solutions: Exercise 1F - Number System | Extra Documents & Tests for Class 9
Multiplying the numerator and denominator by 3-2√2, we get
RS Aggarwal Solutions: Exercise 1F - Number System | Extra Documents & Tests for Class 9

Q.3. It being given that √2 = 1.414, √3 = 1.732, √5 = 2.236 and √10 = 3.162, find the value of three places of decimals, of each of the following.
(i)RS Aggarwal Solutions: Exercise 1F - Number System | Extra Documents & Tests for Class 9
(ii)RS Aggarwal Solutions: Exercise 1F - Number System | Extra Documents & Tests for Class 9
(iii)RS Aggarwal Solutions: Exercise 1F - Number System | Extra Documents & Tests for Class 9

Ans.
(i)
RS Aggarwal Solutions: Exercise 1F - Number System | Extra Documents & Tests for Class 9
(ii)
RS Aggarwal Solutions: Exercise 1F - Number System | Extra Documents & Tests for Class 9

(iii)
RS Aggarwal Solutions: Exercise 1F - Number System | Extra Documents & Tests for Class 9

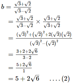
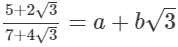
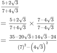
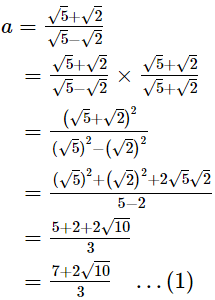
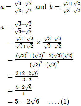
Q.4. Find rational numbers a and b such that

(i)RS Aggarwal Solutions: Exercise 1F - Number System | Extra Documents & Tests for Class 9
(ii)RS Aggarwal Solutions: Exercise 1F - Number System | Extra Documents & Tests for Class 9
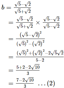
(iii)RS Aggarwal Solutions: Exercise 1F - Number System | Extra Documents & Tests for Class 9
(iv)RS Aggarwal Solutions: Exercise 1F - Number System | Extra Documents & Tests for Class 9

Ans.

(i)
RS Aggarwal Solutions: Exercise 1F - Number System | Extra Documents & Tests for Class 9
RS Aggarwal Solutions: Exercise 1F - Number System | Extra Documents & Tests for Class 9
(ii)
RS Aggarwal Solutions: Exercise 1F - Number System | Extra Documents & Tests for Class 9
RS Aggarwal Solutions: Exercise 1F - Number System | Extra Documents & Tests for Class 9
RS Aggarwal Solutions: Exercise 1F - Number System | Extra Documents & Tests for Class 9
(iii)
RS Aggarwal Solutions: Exercise 1F - Number System | Extra Documents & Tests for Class 9
RS Aggarwal Solutions: Exercise 1F - Number System | Extra Documents & Tests for Class 9
(iv)
RS Aggarwal Solutions: Exercise 1F - Number System | Extra Documents & Tests for Class 9
RS Aggarwal Solutions: Exercise 1F - Number System | Extra Documents & Tests for Class 9
RS Aggarwal Solutions: Exercise 1F - Number System | Extra Documents & Tests for Class 9

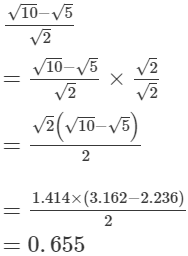
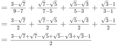
Q.5. It being given  that √3 = 1.732, √5 = 2.236, √6 = 2.449  and √10 = 3.162, find to three places of decimal, the value of each of the following.

(i)RS Aggarwal Solutions: Exercise 1F - Number System | Extra Documents & Tests for Class 9
(ii)RS Aggarwal Solutions: Exercise 1F - Number System | Extra Documents & Tests for Class 9
(iii)RS Aggarwal Solutions: Exercise 1F - Number System | Extra Documents & Tests for Class 9
(iv)RS Aggarwal Solutions: Exercise 1F - Number System | Extra Documents & Tests for Class 9
(v)RS Aggarwal Solutions: Exercise 1F - Number System | Extra Documents & Tests for Class 9
(vi)RS Aggarwal Solutions: Exercise 1F - Number System | Extra Documents & Tests for Class 9
Ans.
(i)
RS Aggarwal Solutions: Exercise 1F - Number System | Extra Documents & Tests for Class 9
RS Aggarwal Solutions: Exercise 1F - Number System | Extra Documents & Tests for Class 9
= 0.213
(ii)
RS Aggarwal Solutions: Exercise 1F - Number System | Extra Documents & Tests for Class 9
RS Aggarwal Solutions: Exercise 1F - Number System | Extra Documents & Tests for Class 9
=3 × (2.236 − 1.732)
= 1.512
(iii)

RS Aggarwal Solutions: Exercise 1F - Number System | Extra Documents & Tests for Class 9
RS Aggarwal Solutions: Exercise 1F - Number System | Extra Documents & Tests for Class 9
(iv)
RS Aggarwal Solutions: Exercise 1F - Number System | Extra Documents & Tests for Class 9
RS Aggarwal Solutions: Exercise 1F - Number System | Extra Documents & Tests for Class 9
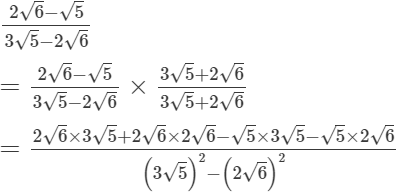
(v)
RS Aggarwal Solutions: Exercise 1F - Number System | Extra Documents & Tests for Class 9
RS Aggarwal Solutions: Exercise 1F - Number System | Extra Documents & Tests for Class 9
= 16.660
(vi)
RS Aggarwal Solutions: Exercise 1F - Number System | Extra Documents & Tests for Class 9
RS Aggarwal Solutions: Exercise 1F - Number System | Extra Documents & Tests for Class 9
= 4.441

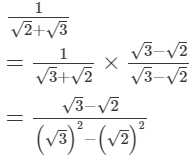
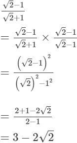
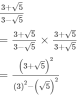
Q.6. Simplify by rationalising the denominator.
(i)RS Aggarwal Solutions: Exercise 1F - Number System | Extra Documents & Tests for Class 9
(ii)RS Aggarwal Solutions: Exercise 1F - Number System | Extra Documents & Tests for Class 9
Ans.
(i)
RS Aggarwal Solutions: Exercise 1F - Number System | Extra Documents & Tests for Class 9
RS Aggarwal Solutions: Exercise 1F - Number System | Extra Documents & Tests for Class 9
RS Aggarwal Solutions: Exercise 1F - Number System | Extra Documents & Tests for Class 9
(ii)
RS Aggarwal Solutions: Exercise 1F - Number System | Extra Documents & Tests for Class 9
RS Aggarwal Solutions: Exercise 1F - Number System | Extra Documents & Tests for Class 9

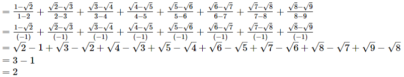
Q.7. Simplify
(i)RS Aggarwal Solutions: Exercise 1F - Number System | Extra Documents & Tests for Class 9
(ii)RS Aggarwal Solutions: Exercise 1F - Number System | Extra Documents & Tests for Class 9
(iii)RS Aggarwal Solutions: Exercise 1F - Number System | Extra Documents & Tests for Class 9
(iv)RS Aggarwal Solutions: Exercise 1F - Number System | Extra Documents & Tests for Class 9
Ans.
(i)
RS Aggarwal Solutions: Exercise 1F - Number System | Extra Documents & Tests for Class 9
RS Aggarwal Solutions: Exercise 1F - Number System | Extra Documents & Tests for Class 9
(ii)
RS Aggarwal Solutions: Exercise 1F - Number System | Extra Documents & Tests for Class 9
RS Aggarwal Solutions: Exercise 1F - Number System | Extra Documents & Tests for Class 9
= 0
(iii)
RS Aggarwal Solutions: Exercise 1F - Number System | Extra Documents & Tests for Class 9
RS Aggarwal Solutions: Exercise 1F - Number System | Extra Documents & Tests for Class 9
= 16 − √3
(iv)
RS Aggarwal Solutions: Exercise 1F - Number System | Extra Documents & Tests for Class 9
RS Aggarwal Solutions: Exercise 1F - Number System | Extra Documents & Tests for Class 9
= 0

Q.8. Prove that
(i)RS Aggarwal Solutions: Exercise 1F - Number System | Extra Documents & Tests for Class 9
(ii)RS Aggarwal Solutions: Exercise 1F - Number System | Extra Documents & Tests for Class 9
Ans.
(i)
RS Aggarwal Solutions: Exercise 1F - Number System | Extra Documents & Tests for Class 9
RS Aggarwal Solutions: Exercise 1F - Number System | Extra Documents & Tests for Class 9
= 2/2
= 1
(ii)
RS Aggarwal Solutions: Exercise 1F - Number System | Extra Documents & Tests for Class 9
RS Aggarwal Solutions: Exercise 1F - Number System | Extra Documents & Tests for Class 9
RS Aggarwal Solutions: Exercise 1F - Number System | Extra Documents & Tests for Class 9

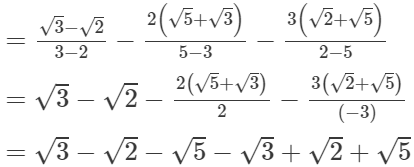
Q.9. Find the values of a and b if
RS Aggarwal Solutions: Exercise 1F - Number System | Extra Documents & Tests for Class 9
Ans.
RS Aggarwal Solutions: Exercise 1F - Number System | Extra Documents & Tests for Class 9
RS Aggarwal Solutions: Exercise 1F - Number System | Extra Documents & Tests for Class 9
RS Aggarwal Solutions: Exercise 1F - Number System | Extra Documents & Tests for Class 9
RS Aggarwal Solutions: Exercise 1F - Number System | Extra Documents & Tests for Class 9
Comparing with the given expression, we get
a = 0 and b = 1
Thus, the values of a and b are 0 and 1, respectively.

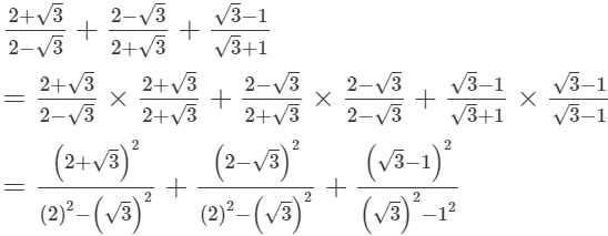
Q.10. Simplify
RS Aggarwal Solutions: Exercise 1F - Number System | Extra Documents & Tests for Class 9
Ans.
RS Aggarwal Solutions: Exercise 1F - Number System | Extra Documents & Tests for Class 9

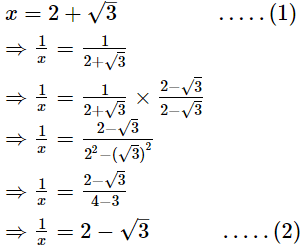
Q.11. If x = 3 + 2√2, check whether RS Aggarwal Solutions: Exercise 1F - Number System | Extra Documents & Tests for Class 9is rational or irrational.
Ans.

x = 3 + 2√2    .....(1)
RS Aggarwal Solutions: Exercise 1F - Number System | Extra Documents & Tests for Class 9
Adding (1) and (2), we get
RS Aggarwal Solutions: Exercise 1F - Number System | Extra Documents & Tests for Class 9which is a rational number
Thus, RS Aggarwal Solutions: Exercise 1F - Number System | Extra Documents & Tests for Class 9is rational.

Q.12.
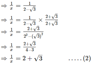
If x = 2 − √3, find value of RS Aggarwal Solutions: Exercise 1F - Number System | Extra Documents & Tests for Class 9
Ans.
x = 2 − √3    .....(1)
RS Aggarwal Solutions: Exercise 1F - Number System | Extra Documents & Tests for Class 9
Subtracting (2) from (1), we get
RS Aggarwal Solutions: Exercise 1F - Number System | Extra Documents & Tests for Class 9
Thus, the value of RS Aggarwal Solutions: Exercise 1F - Number System | Extra Documents & Tests for Class 9

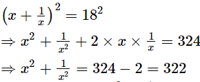
Q.13. If x = 9 − 4√5, find the value of RS Aggarwal Solutions: Exercise 1F - Number System | Extra Documents & Tests for Class 9
Ans.
x = 9 − 4√5    .....(1)
RS Aggarwal Solutions: Exercise 1F - Number System | Extra Documents & Tests for Class 9
Adding (1) and (2), we get
RS Aggarwal Solutions: Exercise 1F - Number System | Extra Documents & Tests for Class 9
Squaring on both sides, we get
RS Aggarwal Solutions: Exercise 1F - Number System | Extra Documents & Tests for Class 9
Thus, the value of x2 + RS Aggarwal Solutions: Exercise 1F - Number System | Extra Documents & Tests for Class 9 is 322.

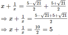
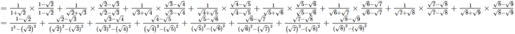
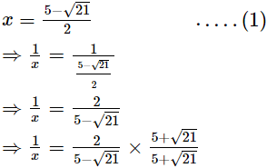
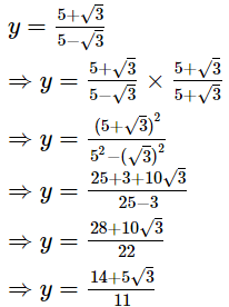
Q.14. If x = RS Aggarwal Solutions: Exercise 1F - Number System | Extra Documents & Tests for Class 9 find the value of RS Aggarwal Solutions: Exercise 1F - Number System | Extra Documents & Tests for Class 9
Ans.

RS Aggarwal Solutions: Exercise 1F - Number System | Extra Documents & Tests for Class 9
RS Aggarwal Solutions: Exercise 1F - Number System | Extra Documents & Tests for Class 9
Adding (1) and (2), we get
RS Aggarwal Solutions: Exercise 1F - Number System | Extra Documents & Tests for Class 9
Thus, the value of x +RS Aggarwal Solutions: Exercise 1F - Number System | Extra Documents & Tests for Class 9is 5.

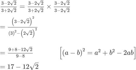
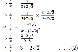
Q.15. If a = 3 − 2√2, find the value of a- RS Aggarwal Solutions: Exercise 1F - Number System | Extra Documents & Tests for Class 9
Ans.
a = 3−2√2
⇒ a2 = (3−2√2)2
⇒ a2 = 9 + 8 − 12√2
⇒ a= 17 − 12√2    .....(1)
RS Aggarwal Solutions: Exercise 1F - Number System | Extra Documents & Tests for Class 9 
RS Aggarwal Solutions: Exercise 1F - Number System | Extra Documents & Tests for Class 9
Subtracting (2) from (1), we get
RS Aggarwal Solutions: Exercise 1F - Number System | Extra Documents & Tests for Class 9
Thus, the value of a2 - RS Aggarwal Solutions: Exercise 1F - Number System | Extra Documents & Tests for Class 9

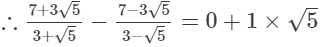
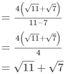
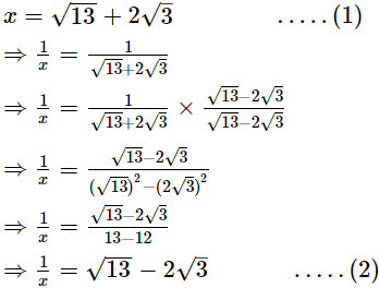
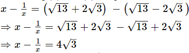
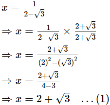
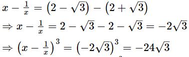
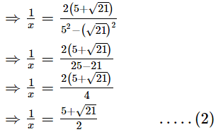
Q.16. If x = √13 + 2√3, find the value of x − RS Aggarwal Solutions: Exercise 1F - Number System | Extra Documents & Tests for Class 9
Ans.
RS Aggarwal Solutions: Exercise 1F - Number System | Extra Documents & Tests for Class 9
Subtracting (2) from (1), we get
RS Aggarwal Solutions: Exercise 1F - Number System | Extra Documents & Tests for Class 9
Thus, the value of x RS Aggarwal Solutions: Exercise 1F - Number System | Extra Documents & Tests for Class 9

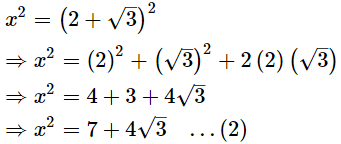
Q.17.

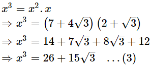
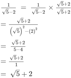
If x = 2 + √3, find the value of RS Aggarwal Solutions: Exercise 1F - Number System | Extra Documents & Tests for Class 9
Ans.
RS Aggarwal Solutions: Exercise 1F - Number System | Extra Documents & Tests for Class 9 
Adding (1) and (2), we get
RS Aggarwal Solutions: Exercise 1F - Number System | Extra Documents & Tests for Class 9
Cubing both sides, we get
RS Aggarwal Solutions: Exercise 1F - Number System | Extra Documents & Tests for Class 9
Thus, the value of RS Aggarwal Solutions: Exercise 1F - Number System | Extra Documents & Tests for Class 9

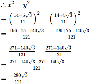
Q.18. If RS Aggarwal Solutions: Exercise 1F - Number System | Extra Documents & Tests for Class 9andRS Aggarwal Solutions: Exercise 1F - Number System | Extra Documents & Tests for Class 9show that RS Aggarwal Solutions: Exercise 1F - Number System | Extra Documents & Tests for Class 9
Ans.
Disclaimer: The question is incorrect.
RS Aggarwal Solutions: Exercise 1F - Number System | Extra Documents & Tests for Class 9
RS Aggarwal Solutions: Exercise 1F - Number System | Extra Documents & Tests for Class 9
RS Aggarwal Solutions: Exercise 1F - Number System | Extra Documents & Tests for Class 9
The question is incorrect. Kindly check the question.
The question should have been to show that x − y = RS Aggarwal Solutions: Exercise 1F - Number System | Extra Documents & Tests for Class 9
RS Aggarwal Solutions: Exercise 1F - Number System | Extra Documents & Tests for Class 9

Q.19. If a = RS Aggarwal Solutions: Exercise 1F - Number System | Extra Documents & Tests for Class 9and b = RS Aggarwal Solutions: Exercise 1F - Number System | Extra Documents & Tests for Class 9show that 3a+ 4ab − 3b= RS Aggarwal Solutions: Exercise 1F - Number System | Extra Documents & Tests for Class 9
Ans.
According to question,
RS Aggarwal Solutions: Exercise 1F - Number System | Extra Documents & Tests for Class 9
RS Aggarwal Solutions: Exercise 1F - Number System | Extra Documents & Tests for Class 9
RS Aggarwal Solutions: Exercise 1F - Number System | Extra Documents & Tests for Class 9
Now,
3a+ 4ab − 3b2
= 3(a− b2) + 4ab
= 3 (a + b)(a − b) + 4ab
RS Aggarwal Solutions: Exercise 1F - Number System | Extra Documents & Tests for Class 9
RS Aggarwal Solutions: Exercise 1F - Number System | Extra Documents & Tests for Class 9
Hence, 3a+ 4ab − 3b= RS Aggarwal Solutions: Exercise 1F - Number System | Extra Documents & Tests for Class 9

Q.20.
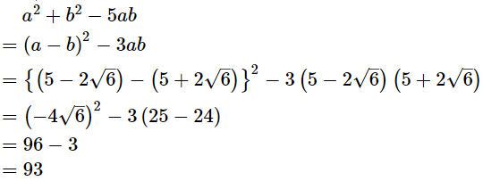
If a = RS Aggarwal Solutions: Exercise 1F - Number System | Extra Documents & Tests for Class 9and b =RS Aggarwal Solutions: Exercise 1F - Number System | Extra Documents & Tests for Class 9find the value of a2 + b2 – 5ab.
Ans.
According to question,
RS Aggarwal Solutions: Exercise 1F - Number System | Extra Documents & Tests for Class 9
RS Aggarwal Solutions: Exercise 1F - Number System | Extra Documents & Tests for Class 9
Now,
RS Aggarwal Solutions: Exercise 1F - Number System | Extra Documents & Tests for Class 9
Hence, the value of a2 + b2 – 5ab is 93.

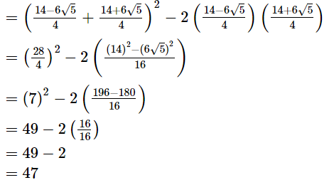
Q.21.
If p = RS Aggarwal Solutions: Exercise 1F - Number System | Extra Documents & Tests for Class 9and q = RS Aggarwal Solutions: Exercise 1F - Number System | Extra Documents & Tests for Class 9find the value of p2 + q2.

Ans.
According to question,
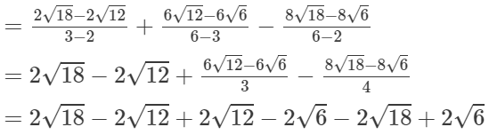
RS Aggarwal Solutions: Exercise 1F - Number System | Extra Documents & Tests for Class 9
RS Aggarwal Solutions: Exercise 1F - Number System | Extra Documents & Tests for Class 9
RS Aggarwal Solutions: Exercise 1F - Number System | Extra Documents & Tests for Class 9
Now,
p2 + q2 = (p+q)− 2pq
RS Aggarwal Solutions: Exercise 1F - Number System | Extra Documents & Tests for Class 9
Hence, the value of p2 + q2 is 47.

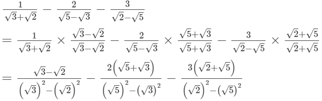
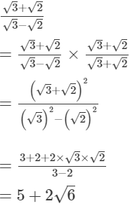
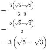
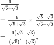
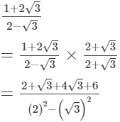
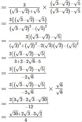
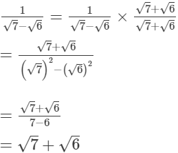
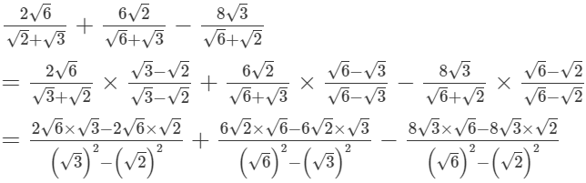
Q.22. Rationalise the denominator of each of the following.
(i)RS Aggarwal Solutions: Exercise 1F - Number System | Extra Documents & Tests for Class 9 
(ii) RS Aggarwal Solutions: Exercise 1F - Number System | Extra Documents & Tests for Class 9
(iii)RS Aggarwal Solutions: Exercise 1F - Number System | Extra Documents & Tests for Class 9
Ans.
(i)RS Aggarwal Solutions: Exercise 1F - Number System | Extra Documents & Tests for Class 9
RS Aggarwal Solutions: Exercise 1F - Number System | Extra Documents & Tests for Class 9
Hence, the rationalised form is RS Aggarwal Solutions: Exercise 1F - Number System | Extra Documents & Tests for Class 9
(ii) RS Aggarwal Solutions: Exercise 1F - Number System | Extra Documents & Tests for Class 9
RS Aggarwal Solutions: Exercise 1F - Number System | Extra Documents & Tests for Class 9
Hence, the rationalised form is RS Aggarwal Solutions: Exercise 1F - Number System | Extra Documents & Tests for Class 9
(iii) RS Aggarwal Solutions: Exercise 1F - Number System | Extra Documents & Tests for Class 9
RS Aggarwal Solutions: Exercise 1F - Number System | Extra Documents & Tests for Class 9
RS Aggarwal Solutions: Exercise 1F - Number System | Extra Documents & Tests for Class 9
Hence, the rationalised form is RS Aggarwal Solutions: Exercise 1F - Number System | Extra Documents & Tests for Class 9

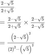
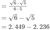
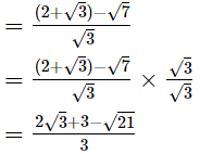
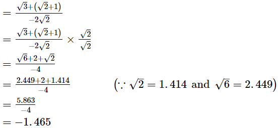
Q.23. Given, √2 = 1.414 and √6 = 2.449, find the value of RS Aggarwal Solutions: Exercise 1F - Number System | Extra Documents & Tests for Class 9correct to 3 places of decimal.
Ans.
RS Aggarwal Solutions: Exercise 1F - Number System | Extra Documents & Tests for Class 9
RS Aggarwal Solutions: Exercise 1F - Number System | Extra Documents & Tests for Class 9
Hence, the value of RS Aggarwal Solutions: Exercise 1F - Number System | Extra Documents & Tests for Class 9correct to 3 places of decimal is −1.465.

Q.24. If x = RS Aggarwal Solutions: Exercise 1F - Number System | Extra Documents & Tests for Class 9find the value of x3 – 2x2 – 7x + 5.
Ans.
RS Aggarwal Solutions: Exercise 1F - Number System | Extra Documents & Tests for Class 9
Now,
RS Aggarwal Solutions: Exercise 1F - Number System | Extra Documents & Tests for Class 9
Also,
RS Aggarwal Solutions: Exercise 1F - Number System | Extra Documents & Tests for Class 9
Now,
RS Aggarwal Solutions: Exercise 1F - Number System | Extra Documents & Tests for Class 9
Hence, the value of x– 2x2 – 7x + 5 is 3.

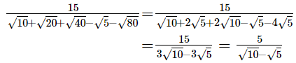
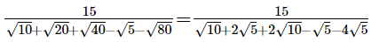
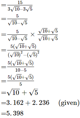
Q.25. Evaluate RS Aggarwal Solutions: Exercise 1F - Number System | Extra Documents & Tests for Class 9 it being given that √5 = 2.236 and √10 = 3.162.
Hint

RS Aggarwal Solutions: Exercise 1F - Number System | Extra Documents & Tests for Class 9
Ans.
RS Aggarwal Solutions: Exercise 1F - Number System | Extra Documents & Tests for Class 9
RS Aggarwal Solutions: Exercise 1F - Number System | Extra Documents & Tests for Class 9
Hence,RS Aggarwal Solutions: Exercise 1F - Number System | Extra Documents & Tests for Class 9

The document RS Aggarwal Solutions: Exercise 1F - Number System | Extra Documents & Tests for Class 9 is a part of the Class 9 Course Extra Documents & Tests for Class 9.
All you need of Class 9 at this link: Class 9
1 videos|228 docs|21 tests
Related Searches

RS Aggarwal Solutions: Exercise 1F - Number System | Extra Documents & Tests for Class 9

,

Exam

,

Free

,

past year papers

,

Sample Paper

,

MCQs

,

RS Aggarwal Solutions: Exercise 1F - Number System | Extra Documents & Tests for Class 9

,

ppt

,

Extra Questions

,

RS Aggarwal Solutions: Exercise 1F - Number System | Extra Documents & Tests for Class 9

,

shortcuts and tricks

,

Objective type Questions

,

Important questions

,

mock tests for examination

,

study material

,

Summary

,

Previous Year Questions with Solutions

,

pdf

,

video lectures

,

Semester Notes

,

practice quizzes

,

Viva Questions

;