| Table of contents | |
| Parabola | |
| Hyperbola | |
| Degenerated Conics |

A conic section or conic is the locus of a point that moves in a plane so that its distance from a fixed point is in a constant ratio to its perpendicular distance from a fixed straight line.

Note:
(i) If eccentricity, e = 0, the conic is a circle
(ii) If 0<e<1, the conic is an ellipse
(iii) If e=1, the conic is a parabola
(iv) If e>1, it is a hyperbola
If β=90o, the conic section formed is a circle as shown below.
The standard form of a circle: (x - h)2 + (y - k)2 = r2
where (h, k) is the center of the circle and r is the radius of the circle.
If α<β<90o, the conic section so formed is an ellipse as shown in the figure below.

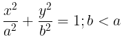
The standard form of an ellipse is:

where (h, k) is the center of the ellipse, a is the horizontal stretch factor and b is the vertical stretch factor.
Ellipse with horizontal major axis:





Ellipse with vertical major axis:




Note:
(i)
(ii)
(iii) Distance between 2 directices=
(iv) Distance between 2 focii = (major axis) × eccentricity
(v) Distance between focus and directrix =
If α = β, the conic section formed is a parabola (represented by the orange curve) as shown below.
The standard form of an ellipse is:
x = a(y - k)2 + h (east to west), where a is the horizontal stretch factor and (h, k) is the vertex.
y = a(x - h)2 + k (north to south), where a is the vertical stretch factor and (h, k) is the vertex.
Standard forms of Parabola
Illustration 1: If extreme points of LR are (11/2, 6) and (13/2, 4). Find the equation of the parabola.
Solution: Mid point of LR = focus = (6, 5)
⇒ 4a = 2 or a = ½
The equation of parabolas are: (y – 5)2 = 2(x – 5.5) and (y – 5)2 = – 2 (x – 6.5)
If 0 ≤ β < α, then the plane intersects both nappes and the conic section so formed is known as a hyperbola (represented by the orange curves).
The standard form of an ellipse is:
where a is the horizontal stretch factor and b is the vertical stretch factor.

Standard Hyperbola



.
and
Illustration 2: Classify the following equations according to their type of conics.
(a) 4x2 + 4y2 - 16x + 4y - 60 = 0
(b) x2 - 4x + 16y + 17 = 0
(c) x2 + 2y2 + 4x + 2y – 27 = 0
(d) x2 – y2 + 3x – 2y – 43 = 0
Solution:
(a) Here A = 4, B = 0, C = 4
Determinant will be B2 - 4AC = 02- 4(4) (4) = -64
This shows that B2 - 4AC < 0, B = 0 and A = C, so this is a circle.
In another way,
Since Both variables are squared, and both squared terms are multiplied by the same number. Therefore, this is a circle
(b) Here A =1,B = 0, C = 0
Determinant will be B2- 4AC = 02 - 4(1) (0) = 0
This shows that B2 - 4AC = 0, so this is a parabola.
In another way,
Since only one of the variables is squared. Therefore, this is called a Parabola.
(c) Here A =1, B = 0, C = 2
Determinant will be B2 - 4AC = 02 - 4(1) (2) = -8
This shows that B2 - 4AC < 0, and A ≠ C so this is an ellipse.
In other way,
Since both variables are squared with the same sign, but they aren't multiplied by the same number. Therefore, so this is an ellipse.
(d) Here A =1,B = 0, C = -1
Determinant will be B2- 4AC = 02 - 4(1) (-1) = 8
This shows that B2 - 4AC > 0 so this is a hyperbola.
In another way,
Since both variables are squared, and the squared terms have opposite signs. Therefore, this is a hyperbola.
A degenerate conic is generated when a plane intersects the vertex of the cone.
There are three types of degenerate conics:



|
65 videos|77 docs|36 tests
|
| 1. What are the key conic sections covered in the JEE syllabus? | ![]() |
| 2. How are circle and ellipse different from each other in terms of their equations and properties? | ![]() |
| 3. What is a degenerated conic in conic sections? | ![]() |
| 4. How are parabolas and hyperbolas distinguished from each other in conic sections? | ![]() |
| 5. How are conic sections used in real-life applications? | ![]() |