Introduction
Welcome to the fascinating world of motion in a plane!

- To describe motion beyond one dimension, we need something more powerful than simple signs ( scalars).
- Vectors come into play here—arrows that represent both the magnitude and the direction of physical quantities like velocity and acceleration.
- But before we dive deeper, we need to answer a few important questions:
(i) What is a vector?
(ii) How do we add, subtract, or multiply vectors?
(iii) What happens when we multiply a vector by a real number? - Once we master the language of vectors, we'll be able to describe motion in a plane.

- We'll explore some interesting scenarios:
(i) Motion with constant acceleration (e.g., projectile motion)
(ii) Uniform circular motion (e.g., the rotation of a Ferris wheel)
Scalar and Vectors



Types of Vectors
Vector Types
Addition of vectors
The addition of vectors can be performed using three main laws:
1. Triangle Law of Vector Addition
2. Parallelogram Law of Vector Addition
3. Polygon Law of Vector Addition

Try yourself:
What law of vector addition involves constructing a parallelogram with two vectors as adjacent sides and the resultant vector as the diagonal?Explanation
- The Parallelogram Law of Vector Addition involves constructing a parallelogram with two vectors as adjacent sides and the resultant vector as the diagonal.
- This law states that the sum of two vectors is represented by the vector from the tail of the first vector to the head of the second vector.
- It is a fundamental law in vector algebra and is used to find the resultant of two vectors acting in different directions.
Report a problem
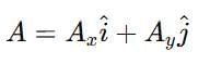
Resolution of Vectors
- Any vector can be resolved into two components along two mutually perpendicular directions.
- Suppose a vector A makes an angle θ with the x-axis: Ax= A cosθ, Ay = A sinθ
- The vector is expressed as

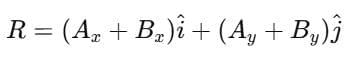
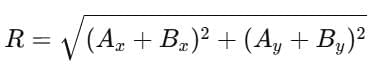
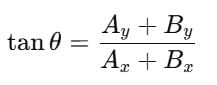
Vector Addition – Analytical Method
If 
Then, 
Magnitude: 
Direction: 
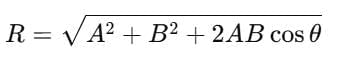
For two vectors A and B with angle θ:
Law of Cosines: 
Law of Sines: 
Lami's Theorem
It states that if three forces acting at a point are in equilibrium, then the magnitude of each force is proportional to the sine of the angle between the other two forces.

Mathematically, this can be expressed as:


This means that the ratio of each force to the sine of the angle between the other two forces remains constant.
Relative Velocity
In two-dimensional motion, when two objects A and B are moving with velocities VB relative to a common reference frame, we can define their relative velocities as follows:
- Relative velocity of A with respect to B:

This indicates that object A is moving relative to object B.
- Relative velocity of B with respect to A:

It can be observed that the magnitude of these relative velocities is the same, meaning:

and 
Thus, the relative velocities between two objects have equal magnitudes but opposite directions.
Motion in a Plane
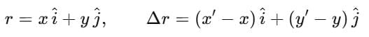
Position Vector and Displacement

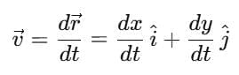
Velocity
Average velocity:
Instantaneous velocity: 
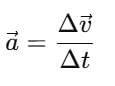
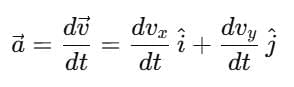
Acceleration
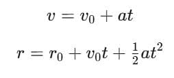
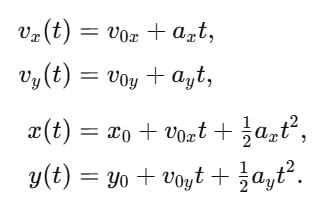
Motion in a Plane with Constant Acceleration
For constant acceleration:

In components: 
Motion in a Plane or Motion in Two Dimensions
Motion in which a body's movement is confined to a plane is referred to as plane motion.
- An object's motion is classified as two-dimensional if two of the three coordinates needed to define its position in space change over time.
- In this type of motion, the object moves within a plane.
- Examples include a billiard ball rolling on a table, an insect crawling across a floor, and the Earth orbiting the sun.

- Two specific types of two-dimensional motion are:
1. Projectile motion
2. Circular motion
1. Projectile Motion
A projectile refers to a body that is launched with an initial velocity in any direction and subsequently moves solely under the influence of gravity.
Examples: A football kicked by a player, a stone thrown from a building, and a bomb dropped from an airplane.

- The path taken by the projectile is known as its trajectory.
- The projectile experiences two types of motion:
(i) a constant horizontal velocity that remains unchanged (assuming no air resistance) and
(ii) a vertical velocity that changes uniformly due to gravity. - The horizontal and vertical motions occur independently of one another.
- Assumptions of Projectile Motion
(i) There is no resistance due to air.
(ii) The effect of the curvature of earth is negligible.
(iii) The effect due to rotation of earth is negligible.
(iv) For all points of the trajectory, the acceleration due to gravity ‘g’ is constant in magnitude and direction.
Try yourself:
What type of motion is exhibited by a football kicked by a player?Explanation
- A football kicked by a player exhibits projectile motion.
- In projectile motion, the object is launched with an initial velocity and moves solely under the influence of gravity.
- The path taken by the object is known as its trajectory.
- Projectile motion involves both a constant horizontal velocity and a uniformly changing vertical velocity due to gravity.
Report a problem
2. Circular Motion
- Circular motion is a type of motion that occurs in two dimensions.
- For an object to move in a circular path, it must be given an tangential velocity, and a force must act on it.
- This force is always directed at right angles to the object’s velocity at any given instant.
- Since the force acts perpendicular to the displacement of the object, no work is done by the force, meaning the kinetic energy and speed of the object remain unchanged.
- However, the combined effect of centripetal force and the object's velocity causes it to follow a circular path.
- When an object moves with constant speed in a circular path of radius R:
Velocity: v = ωR
Centripetal acceleration: ac = v²/R = ω²R (directed towards centre)
Time period: T = 2π/ω
Frequency: ν = 1/T

- Circular motion can be divided into two categories:
(i) Uniform circular motion (where the speed remains constant)
(ii) Non-uniform circular motion (where the speed changes over time)

Solved Examples for You
Q1. The state with reasons, whether the following algebraic operations with scalar and vector physical quantities are meaningful:
- Adding any two scalars,
- Adding a scalar to a vector of the same dimensions,
- Multiplying any vector by any scalar,
- Multiplying any two scalars,
- Adding any two vectors,
- Adding a component of a vector to the same vector.
Ans: 
Q2. Read each statement below carefully and state with reasons, if it is true or false:
(a) The magnitude of a vector is always a scalar,
(b) each component of a vector is always a scalar,
Ans:
(a) True. The magnitude of a vector is a number. Hence, it is a scalar.
(b) False. Each component of a vector is also a vector.
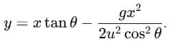
Q3. What is a projectile? Prove that the path of a projectile is parabolic.
Ans: A projectile is any object thrown into space that is influenced only by the force of gravity is called a projectile.
We know that the equation of a projectile is,
Comparing the equation with the standard form y = ax + bx2, we find that
a = tanθ
b =
The above equation of trajectory is similar to the equation of a parabola.
Hence, the path of a projectile is parabolic.
Try yourself:
Which category of circular motion involves a constant speed?Explanation
- Uniform circular motion is the category of circular motion where the speed of the object remains constant throughout its path.
- In this type of motion, the object moves in a circular path at a consistent speed, experiencing a centripetal force that keeps it in its trajectory.
Report a problem