To apply Newton’s law of motion one should follow following step:
Step 1 - Draw free body diagram and identified external forces
Step 2 - Write down equation of constraint.
Step 3 - Write down Newton’s law of motion.
Example 11: The force F in figure is just sufficient to hold the 100N block and weightless pulley in equilibrium. If There is no appreciable friction.
Then find T1, T2 and T3
For plank T1 +T2 +T3 = 100
F = T1
For pulley 1 T2 =T1 + F = T2 = T1 + T1 ⇒ T2 =2T1
For pulley 2 T3 = 2T2 = 4T1
T1 + 2T1 + 4T1 = 100 ⇒ T1 = 100/7 = F = 100/7, T2 = 2T1 ⇒ T2 = 200/7 and T3 = 4T1/7 = 400/7
Example 12: The following parameters of the arrangement of are available: the angle α which the inclined plane forms with the horizontal, and the coefficient of friction k between the body m1 and the inclined plane. The masses of the pulley and the threads, as well as the friction in the pulley, are negligible. Assuming both bodies to be motionless at the initial moment, find the mass ratio m2/m1 at which the body m2
(a) starts coming down;(b) starts going up;(c) is at rest.
(a) for m2 Starts coming down. For mass m2, m2g > T and for mass m1 moving up T >m1g sin α + fmax
therefore m2g > m1g sin α + fmax
m2g > m1g sin α + k1m1g cos α
m2/m1 > sin α+ k cos α
(b) For m2 starts coming up. For mass m2, m2g < T and for mass m1 moving up T <m1g sin α - fmaxm1g > m1g sin α + fmax
m2g > m1g sin α + k1m1g cos α
m2/m1 > sin α+ k cos α(c) At rest :friction will be static:
sin α - k cos α < m2/m1< sin α + k cos α
Example 13: A block of mass m is placed on another block of mass M lying on a smooth horizontal surface. The coefficient of static friction between m and M is µ s . What is the maximum force that can be applied to m so that the blocks remains at rest relative to each other?
Imagine the situation when F is at its maximum value so that m is about to start slipping relative to M. The mass m tries to drag M towards right due to friction.
Equation of motion of mass m:
F - µsN = ma
N = mg
Hence frictional force on M exerted by m will be towards right.
Let a = magnitude of acceleration of blocks towards right.
Equation of motion of mass M:µsN = MA ⇒ α = μsmg/M R = N+ Mg
Solving these equations, we get:
F = µsN + ma ⇒ μsmg + m.
If F is less than critical value, the blocks stick together without any relative motion.
If F is greater than this critical value, the blocks slide relative to each other and their accelerations are different.
Example 14: The blocks of masses m and M are not attached to each other but are in contact. The coefficient of static friction between the blocks is µ but the surface beneath M is smooth. What is the minimum magnitude of the horizontal force F required to hold m against M ?
If m and M sticking together they will have same acceleration.
Let a = acceleration of blocks
Equation of motion for mass m
F - R = ma and f = mg f is frictional force
Equation of motion for mass M
R = Ma
f + Mg = N
Solve to get:
f = mg and R = MF/m + m
for no slipping, f < µSR mg ≤ MF/M + m ⇒ F ≥
Example 15: At the moment t = 0 the force F = at is applied to a small body of mass m resting on smooth horizontal plane (a is a constant). The permanent direction of this force forms an angle α with the horizontal. Find
(a) the velocity of the body at the moment of its breaking off the plane;
(b) the distance traversed by the body up to this moment.
(a) If one will draw the free body diagram F sin α +N= mg in y direction F cos α = ma1 in x direction, where a1 is acceleration of block.
At time of breaking off the plane vertical component ofmust be equal to weight mg.
Then, F sin α = mg = at sin α sin ⇒ t = mg/a sin α
Equation of motion of block:
F cos α = m a1 , a1 =
(b)
Example 16: In the arrangement shown in figure the bodies have masses m0, m1, m2, the friction is absent, the masses of the pulleys and the threads are negligible. Find the acceleration of the body m1.Look into possible cases.
T = 2T1 and from equation of constrain a0 = a1 + a2/2
Equation of motion:
from (i), (ii) and (iii)
Example 17: Coefficient of friction is µ. What will be acceleration of table such that system will be in equilibrium?
This whole wedge is moving with acceleration a0. Equation of motion for mass m which on the mass M
N = mg,
ma0 + fr = T ⇒ ma0 + µN1 = T
ma0 + µ mg = T ⇒ m(a0 + μg) = T (1)
Equation of motion for mass m which is hanged vertical the mass M 20N2 - mα0 = 0 ⇒ N2 = mα0
fr + T = mg ⇒ T = mg - fr, ⇒ T = mg - µmα0 ⇒ T = m(g - µα0) (2)
From (1) and (2) ma0 + mµg - mg + mµa0 = 0
- g(1 - µ) + α0 (µ + 1) = 0 ⇒ α0 = g(1 - µ)/(1 + µ)
Example 18: In the arrangement shown in figure block of mass m slides on the surface of Wedge with inclination . The masses of pulley and thread is negligible and friction on each surface is absent. If mass of Wedge is M then find the acceleration of wedge M.
Let us assume the mass M is moving with acceleration a0 towards the wall . Hence the length of thread is fixed then the acceleration of the block m is also a0 with respect to surface of wedge in downward direction.
Now let’s draw free body diagram for mass m.
1. The weight mg in downward direction
2. The tension T along negative x axis
3. The normal force N along positive y axis.4. If observer is attached to surface of wedge then he is on accelerating frame then he will measure Pseudo force ma0 in horizontal direction.
Now resolve all forces along suitable axis and write equation of motion
The equation of motion along x - axis is mg sin α + ma0 cos α - T = ma0T = mg sin α + ma0 (1 - cos α)…..(1)
The equation of motion along y axis
N + ma0 sin α - mg cos α = 0
⇒ N = mg cos α - ma0 sin α ….(2)
Now draw free body diagram for wedge M
1. The weight Mg in downward direction
2. Normal force N1 in y direction
3. Reaction force N due to block m on wedge
4. Hence pulley is attached on wedge so tension on thread pull the wedge along x axis and parallel to surface of wedgeNow resolve the forces along suitable axis
The equation of motion along x axis
T - T cos α + N sin α = Ma0 ⇒ T =
Put the value of N from equation (2)....(3)
The equation of motion along y - axis is N1 - Mg + N cos α + T sin α = 0
From equation (1) and equation (3)
⇒ T = mg sin α + mα0 (1 - cos α) =
Now α0 can be easily solve α0 =
The position vector in two dimension ( x,y ) plane is given by
where
are unit vector in x and y direction respectively.
The base unit vector
are not vary with position as shown in figure.
The velocity is given by
and acceleration is given by
Newton’s law can be written as
Two dimensional motion in polar coordinate Two dimensional system also can be represent in polar coordinate with variable (r,θ) with transformation rule x =r cosθ and y = r sin θ where r =
where r identified as magnitude of vector and tan-1 (y/x) and θ is angle measured from x axis in anti clock wise direction as shown in figure.
In polar coordinate system
are unit vector in radial direction and tangential direction of trajectory. One can see from the figure the
are vary with position, where
conclude they are orthogonal in nature.
The unit vector
can be written in basis of unit vector
.
The unit vectors
at a point in the xy -plane. We see that the orthogonality of
and
plus the fact that they are unit vectors,
which is shown.
The transformation can be shown by rotational Matrix

Time evolution of
and

One can easily see unit vector
and
are vary with time.

r = r
is sometimes confusing, because the equation as written seems to make no reference to the angle θ. We know that two parameters needed to specify a position in two dimensional space (in Cartesian coordinates they are x and y ), but the equation r = r
seems to contain only the quantity r . The answer is that
is not a fixed vector and we need to know the value of θ to tell how
is origin. Although θ does not occur explicitly in r
, its value must be known to fix the direction of
. This would be apparent if we wrote
to emphasize the dependence of
on θ. However, by common conversation
is understood to stand for
(θ).


is radial velocity in
direction and
is tangential velocity in
direction as shown in figure and the magnitude to velocity vector 
is radial acceleration and aθ =
is tangential acceleration.
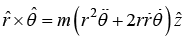
So Newton’s law in polar coordinate can be written as
Fr = mar = m
where Fr is external force in radial direction.
Fθ = maθ =
where Fθ is external force in tangential direction.
Example 19: A bead moves along the spoke of wheel at constant speed u meter per second .The wheel rotates with uniform angular velocity
= ω radians per second about an axis fixed in space. At t = 0 the spoke is along the x axis and bead is at the origin.
(a) Find the velocity of particle
(b) Find the acceleration of particle
For circular motion for radius r0, at r = r0, then
so Fr = mar =
where Fr is force in radial direction and Fθ = maθ =
, where Fθ is force in tangential direction.
There are two type of circular motion.
(1) Uniform Circular Motion
If there is not any force in tangential direction Fθ = 0 is condition, then motion is uniform circular motion i.e.,
is constant known as angular speed and tangential speed is given by v =r0ω.
(2) Non-uniform Circular Motion
For non-uniform circular motion of radius r radial acceleration is
tangential acceleration aθ dv/dt
the acceleration for non uniform circular motion is given by 
the magnitude of acceleration is given by 
Example 20: Find the magnitude of the linear acceleration of a particle moving in a circle of radius 10 cm with uniform speed completing the circle in 4s.
The distance covered in completing the circle is 2πr = 2π × 10cm. The linear speed is
The linear acceleration is
This acceleration is directed towards the centre of the circle.
Example 21: A particle moves in a circle of radius 20 cm . Its linear speed is given by v = 2t , where t is in second and v in metre/second. Find the radial and tangential acceleration at t = 3s.
The linear speed at t = 3s is v = 2t = 6 m/s
The radial acceleration at t = 3s is![]()
The tangential acceleration is
Calculation of torque and angular momentum
Torque is given by
Torque is also defined rate of change of momentum τ = DJ/dt = m
So, angular momentum is given by J =
If there is not any tangential force is in plane then angular momentum of the system is conserve.
Example 22: The Spinning Terror
The Spinning Terror is an amusement park ride – a large vertical drum which spins so fast that everyone inside stays pinned against the wall when the floor drops away. What is the minimum steady angular velocity ω, which allows the floor to be dropped away safely?
Suppose that the radius of the drum is R and the mass of the body is M . Let µ be the coefficient of friction between the drum and M . The forces on M are the weight W , the friction force f and the normal force exerted by the wall, N as shown below. The radial acceleration is Rω2 toward the axis, and the radial equation of motion is N =MRω2
By the law of static friction, f ≤ µN = µ MRω2
Since, we require M to be in vertical equilibrium, f = Mg,
and we have, Mg ≤ µMRω2 or ω2 ≥ g/µR
The smallest value of ω that will work is
Example 23: A horizontal frictionless table has a small hole in the centre of table. Block A of mass ma on the table is connected by a block B of mass mb hanging beneath by a string of negligible mass can move under gravity only in vertical direction, which passes through the hole as shown in figure.
(a) Write down equation of motion in radial, tangential and vertical direction.
(b) What is equation of constrain?
(c) What will be the acceleration of B when A is moving with angular velocity ω at radius r0 ?
Suppose of block A rotating in circle with angular velocity ω of radius r0 what is acceleration of block B assume
direction is shown in figure.
The external force in radial direction is tension, not any external force in tangential direction and weight of body mb and tension in vertical direction.
(a)
(b) Since length of the rope is constant then....(4)
(c) Put value of
Example 24: A bead rests at the top of a fixed frictionless hoop of radius R lies in vertical plane.
(a) At particular instance particle make angle θ with vertical Write down equation of motion in polar coordinate.
(b) Find the value of θ = θc such that particle will just leave the surface of ring.
(c) At what angle θ = θp the acceleration of the particle in vertical direction. What is relation between θc and θp.
(a) N - mg cosθ = mar =
and mg sinθ = maθ=
Equation of constrain
From conservation of energy
(c) ar = 2g(1 - cosθP) and aθ = g sinθP
If net acceleration is in vertical direction then horizontal component must be cancelled to each other.
ar sinθP = aθ cosθP ⇒2g(1 - cosθP)sinθP = g sinθP cosθP ⇒ cosθP = 2/3
θc = θP = cos-1 2/3
61 videos|26 docs|25 tests |
| 1. What is Newton's Law of Motion? | ![]() |
| 2. How many laws are there in Newton's Law of Motion? | ![]() |
| 3. What is the Law of Inertia? | ![]() |
| 4. What does Newton's Second Law of Motion state? | ![]() |
| 5. Can you give an example of Newton's Third Law of Motion? | ![]() |
61 videos|26 docs|25 tests |
![]() | Explore Courses for Physics exam |