Class 5 Exam  >  Class 5 Notes  >  Mathematics for Class 5  >  Chapter Notes: Time & Temperature

Time and Temperature Class 5 Notes Maths

Time

  • Time is the ongoing sequence of events taking place, the past, present and future. 
  • The basic unit of time is the second. There are also minutes, hours, days, weeks, months and years.
  • We can measure time using clocks.

Types of Clocks

Time and Temperature Class 5 Notes Maths

Units of Time

Some units for measuring time are given below:-Time and Temperature Class 5 Notes Maths

Time using AM and PM

  • A day is divided into two parts: AM (Ante Meridian) and PM (Post Meridian).
  • AM is from midnight to noon, and PM is from noon to midnight.
  • For Example, Rahul had breakfast at 8:00 in the morning (AM).
  • Rahul came home from work at 6:00 in the evening (PM).
    Time and Temperature Class 5 Notes Maths

Hours, Minutes, and Seconds

  • Most clocks have three hands: hour, minute, and second.
  • The second hand moves quickly and measures seconds.
  • A second is a very short amount of time, like the time it takes to smile or sneeze.
  • When the second hand completes a full circle, it means one minute has passed.
  • 1 minute equals 60 seconds (1 min = 60 sec).
  • The clock shows hours from 1 to 12 and minutes from 00 to 59.
  • Railways, airlines, and bus schedules often use the 24-hour clock.
  • Instead of starting over at 1:00 PM after 12 noon, the clock continues with 13:00, 14:00, and so on.
  • For example, 8:45 in the morning is written as 0845 hours, and 4:45 in the afternoon is written as 1645 hours.

Time and Temperature Class 5 Notes Maths

Question for Chapter Notes: Time & Temperature
Try yourself:
What is the basic unit of time?
View Solution

Edurev Tips: 12 o’clock, noon time is written as 12 noon and 12 o’clock, midnight is written as 12 midnight. It is wrong to write 12 a.m. or 12 p.m.

Conversion of Units of Time

A. Conversion of Minutes to Seconds
We know that,
Time and Temperature Class 5 Notes MathsLook at the following examples:
1 min = 1 × 60s = 60s; 3 min = 3 × 60s = 180s  ; 10 min = 10 × 60s = 600s;
2 min 10s = 2 min + 10s = 2 × 60s + 10s = 120s + 10s = 130s

B. Conversion of Seconds to Minutes
We know that,
Time and Temperature Class 5 Notes MathsLook at the following examples:
180s = (180 ÷ 60) min = 3 min; 1200 s = (1200 ÷ 60) min = 20 min;
107s = 60s + 47s = 1 min 47s
Or 107s = (107 ÷ 60) min = 1 min 47s
Time and Temperature Class 5 Notes Maths

C. Conversion of Hours to Minutes
We know that,
Time and Temperature Class 5 Notes MathsLook at the following examples:
3 h = 3 × 60 min = 180 min
1 h 45 min  = 1 h + 45 min
                          = 1 × 60 min + 45 min
                          = 60 min + 45 min = 105 min

D. Conversion of Minutes to Hour
We know that,
Time and Temperature Class 5 Notes MathsLook at the following examples:
360 min = (360 ÷ 60) h = 6 h
230 min = (230 ÷ 60) h = 3 h 50 min
230 min = 180 min + 50 min
              = (180 ÷ 60) h + 50 min = 3 h + 50 min = 3 h 50 min
Time and Temperature Class 5 Notes Maths

E. Conversion of Seconds to Hours, Minutes and Seconds
Look at the following examples:
2105s = (2105 ÷ 60) min
= 35 min + 5s = 35 minutes 5 seconds
Time and Temperature Class 5 Notes Maths5430s = (5430 ÷ 60) min            
            = 90 min + 30s
            = 60 min + 30 min + 30s
            = 1 h 30 min 30 seconds
Time and Temperature Class 5 Notes MathsTime and Temperature Class 5 Notes Maths

Edurev Tips: 

  • 60 seconds = 1 minute
  • 1 second = 1 / 60 minute
  • 60 minutes =  1 hour
  • 1 minute = 1 / 60 hour

Operations on Measures of Time

A. Addition

Example 1: Add 12 hours 27 minutes and 3 hours 58 minutes

We write the time in hours and minutes in separate columns. Add as you do for ordinary numbers.
Time and Temperature Class 5 Notes Maths

Thus, 12 hours 27 minutes + 3 hours 58 minutes = 16 hours 25 minutes.

Think:
27 min+ 58 min = 85 min
= 60 min + 25 min
= 1 h + 25 min

Example 2: Add 1 hour 20 minutes 36 seconds and  2 hours 45 minutes 55 seconds.

Time and Temperature Class 5 Notes MathsThus, 1 hour 20 minutes 36 seconds + 2 hours 45 minute 55 seconds
= 4 hours 6 minutes 31 seconds.

Think:
36 s + 55 s = 91s
= 60 s + 31 s
= 1 min 31 s
20 min + 45 min + 1 min = 66 min
= 60 min + 6 min
= 1 h + 6 min
1 h + 2 h + 1 h = 4 h

B. Subtraction

Example 3: Subtract 12 minutes 25 seconds from 35 minutes 12 seconds.

Time and Temperature Class 5 Notes Maths

Think:
You cannot subtract 25 s from 12 s, so borrow 1 min from 35 min.
1 min = 60 s; 60 s + 12 s = 72 s;
72 s – 25 s = 47 s.

Example 4: Doon Express took 26 hours 37 minutes 10 seconds in travelling from Dehradun to Lucknow. Due to a technical fault the train had a total stoppage of 8 hours 49 minutes 55 seconds at different stations. For how much time was the train moving?

To find out the time the train was moving, we need to subtract the stoppage time from the total travelling time.
Time and Temperature Class 5 Notes MathsThus, the train was moving for
17 hours 47 minutes 15 seconds.

Think:
Borrow 1 min.
60 s + 10 s = 70 s
70 s – 55 s = 15 s
Borrow 1 h.
60 min + 36 min = 96 min
96 min – 49 min = 47 min
25 h – 8 h = 17 h

Example 5: Subtract: 2 hours 40 minutes 50 seconds from 4 hours 25 minutes 31 seconds.

Time and Temperature Class 5 Notes MathsThus,  4 hours 25 minutes 31 seconds – 2 hours 40 minutes 50 seconds
= 1 hour 44 minutes 41 seconds.

Think:
Borrow 1 min = 60 s from 25 min
You now have 91 s.
91 s – 50 s = 41 s 24 minutes remain in minutes.
Borrow 1 h = 60 minutes from 4 h.
You now have 84 minutes.
84 minutes – 40 minutes = 44 minutes

24-Hour Time Notation

 The 24-hour time notation is represented by a ‘24-hour clock’.
Time and Temperature Class 5 Notes MathsYou already know that,Time and Temperature Class 5 Notes MathsThus, 2:35 a.m. = 0235 hours; 10:30 a.m. = 1030 hours
         5:25 p.m. = 1725 hours; 9:15 p.m. = 2115 hours.
Also, we have,

  • 12 midnight in 24-hour clock is written as 00:00 or 0000 hours (start of the day).
  • 12 noon is written as 12:00.
  • 12 midnight (end of the day) is written as 24:00 or 2400 hours.

Elapsed Time

  • We can use the 24-hour clock to easily figure out how much time has passed between two given times.
  • It helps us find out how long something takes or when something started or ended.
  • For example, if we know when something started and how long it lasted, we can find out when it ended.
  • Or if we know when something ended and how long it lasted, we can find out when it started.
  • We use addition and subtraction like in math to figure out these times.
  • This helps us plan our day and understand how long activities take.

Question for Chapter Notes: Time & Temperature
Try yourself:
How many seconds are there in 5 minutes?
View Solution

Example 6: How long is it from?
(a) 1652 hours to 2143 hours
(b) 2:35 a.m. to 5:30 p.m.

Sol: (a) The elapsed time is 2143 hours – 1652 hours.
Time and Temperature Class 5 Notes MathsThus, the elapsed time is 4 hours 51 minutes.
(b) To find the elapsed time between 2:35 a.m and 5:30 p.m., first convert the time to 24-hour time.
Sol: Elapsed time =
Time and Temperature Class 5 Notes Maths2 : 35 a.m. = 0235 hours
5 : 30 p.m. = 1730 hours
Thus, the elapsed time is 14 hours 55 minutes.

Example 7: Using a 24-hour clock, find the time.
(a) 3 hours 10 minutes after 2030 hours
(b) 8 hours 15 minutes before 2:35 p.m.

Sol: (a) Add 3 hours 10 minutes to 2030 hours to find the required time.
20 hours 30 minutes + 3 hours 10 minutes
                        = 23 hours 40 minutes (11:40 p.m.).
(b) 2:35 p.m. = 1435 hours = 14 hours 35 minutes
∴ Required time  = 14 hours 35 minutes – 8 hours 15 minutes
                           = 6 hours 20 minutes
Thus, the required time = 6 hours 20 minutes = 0620 hours (6:20 a.m.).

Calendar

Years, Months and Weeks

By studying the calendar, we know thatTime and Temperature Class 5 Notes Maths

 Conversion of Years to Months and Months to Years

1 year = 12 months

5 years = (5 × 12) months = 60 months
3 years 7 months = 3 years + 7 months
                                        = (3 × 12) months + 7 months
                                        = 36 months + 7 months = 43 months
48 months = (48 ÷ 12) years = 4 years
25 months = 24 months + 1 month = 2 years 1 month
Time and Temperature Class 5 Notes Maths

Example 8: A child is asked to complete two assignments in 4 weeks. He completed the first assignment in 2 weeks 3 days. How much time is left for him to complete the second assignment?

Sol: Remaining Time
Time and Temperature Class 5 Notes Maths

Thus, the child has 1 week 4 days left to complete the second assignment.
Think:
0 < 3
Thus, borrow 1 week = 7 days.
7 days – 3 days = 4 days

Example 9: Ananya was 10 years 6 months old when her sister Tanya was born. Her sister is now 27 years 8 months old. How old is Ananya now?

Ananya’s present age = 27 years 8 months + 10 years 6 months
Time and Temperature Class 5 Notes MathsThus, Ananya is presently 38 years 2 months old.

Think:
8 months + 6 months
= 14 months
= 12 months + 2 months
= 1 year + 2 months

Temperature

Temperature is the measure to describe how hot or cold something is.
We can find out how hot a soup is or how cool a drink is by measuring its temperature.
Time and Temperature Class 5 Notes Maths

Measuring Temperature

  • We use a tool called a thermometer to measure temperature.
  • A thermometer looks like a thin tube with red liquid inside, called mercury.
  • If something is warm, like soup, the red liquid goes up the tube, showing a higher number like 60 degrees.
    Time and Temperature Class 5 Notes Maths
  • When things get hotter, the red liquid expands and moves up.
  • If something is cold, like a drink, the red liquid goes down the tube, showing a lower number like 5 degrees.
    Time and Temperature Class 5 Notes Maths
  • When things get cooler, the red liquid contracts and moves back down the tube.

Question for Chapter Notes: Time & Temperature
Try yourself:What is the freezing point of water on the Celsius scale?
View Solution

Unit of Temperature

  • We use the metric system to measure temperature, and it's called degrees Celsius (°C).
  • On a Celsius scale thermometer, the temperatures are marked in intervals of ten degrees, like 10, 20, 30, up to 100.
    Time and Temperature Class 5 Notes Maths
  • There are smaller marks between the big ones, showing intervals of one degree.
  • For example, normal body temperature is around 37°C, which you can see by counting up from 30.
  • Water freezes at 0°C, and we call this point zero degrees Celsius.
  • Water boils at 100°C, and we call this point 100 degrees Celsius.

Types of Thermometer

  • In India, we use the Celsius scale for temperature, named after Swedish astronomer Celsius Anders.
  • Water freezes at 0°C and boils at 100°C, which we can also write as 0°C and 100°C.
  • In Fahrenheit, water freezes at 32°F and boils at 212°F.

Time and Temperature Class 5 Notes Maths

  • A clinical thermometer is used by doctors to measure human body temperature.
  • It's important to shake the clinical thermometer before using it, so the mercury level goes below 98°, which is about normal body temperature.
  • The freezing point to the boiling point on the Celsius thermometer is 100 degrees, while on the Fahrenheit thermometer, it's 180 degrees.
  • Normal body temperature is about 37°C or 98.6°F.

Conversion from One Unit to Another

Conversion from Celsius to Fahrenheit.

Example 10: Convert 122°F to °C.

Sol: Step 1: Subtract 32. 122 – 32 = 90
Step 2: Multiply the difference by 5 / 9
Time and Temperature Class 5 Notes Maths
122°F = 50°C

Conversion from Celsius to Fahrenheit.
Time and Temperature Class 5 Notes Maths

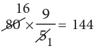
Example 11: Convert 80°C to °F.

Sol: Step 1: Multiply by 9 / 5
Time and Temperature Class 5 Notes Maths
Step 2: Add 32. 144 + 32 = 176
80°C = 176°F.

The document Time and Temperature Class 5 Notes Maths is a part of the Class 5 Course Mathematics for Class 5.
All you need of Class 5 at this link: Class 5
95 videos|462 docs|47 tests

FAQs on Time and Temperature Class 5 Notes Maths

1. What are the different units used to measure time?
Ans.Time can be measured in various units, including seconds, minutes, hours, days, weeks, months, and years. Each unit serves a different purpose depending on the context, such as measuring short durations (seconds) or longer time spans (years).
2. How can I convert temperatures between Celsius and Fahrenheit?
Ans.To convert Celsius to Fahrenheit, use the formula: F = (C × 9/5) + 32. To convert Fahrenheit to Celsius, use the formula: C = (F - 32) × 5/9. These formulas allow you to switch between these two common temperature scales.
3. What is the significance of the 24-hour clock format?
Ans.The 24-hour clock format, also known as military time, is significant because it eliminates confusion between AM and PM. It is commonly used in fields such as aviation, computing, and the military to provide a clear and concise way to represent time.
4. How do I convert between different units of time, like minutes to seconds?
Ans.To convert minutes to seconds, multiply the number of minutes by 60, since there are 60 seconds in a minute. For example, 5 minutes would be converted to 5 × 60 = 300 seconds.
5. What is the freezing and boiling point of water in both Celsius and Fahrenheit?
Ans.The freezing point of water is 0 degrees Celsius (32 degrees Fahrenheit), while the boiling point is 100 degrees Celsius (212 degrees Fahrenheit). These points are critical reference markers for temperature measurements.
Related Searches

Viva Questions

,

Time and Temperature Class 5 Notes Maths

,

study material

,

MCQs

,

ppt

,

pdf

,

mock tests for examination

,

video lectures

,

Free

,

Semester Notes

,

Objective type Questions

,

Summary

,

practice quizzes

,

Extra Questions

,

Important questions

,

shortcuts and tricks

,

Time and Temperature Class 5 Notes Maths

,

Exam

,

past year papers

,

Time and Temperature Class 5 Notes Maths

,

Sample Paper

,

Previous Year Questions with Solutions

;