Physics Exam  >  Physics Notes  >  Oscillations, Waves & Optics  >  Phase & Group Velocity: Assignment

Phase & Group Velocity: Assignment | Oscillations, Waves & Optics - Physics PDF Download

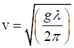
Q.1. The phase velocity of surface waves of wavelength λ on a liquid of density ρ and surface tension T is given by,  Phase & Group Velocity: Assignment | Oscillations, Waves & Optics - Physics Find the group velocity.

The phase velocity on water surface is controlled mainly by surface tension and is

given by Phase & Group Velocity: Assignment | Oscillations, Waves & Optics - Physics
Since, 2π/λ = k, where k is propagation constant.
Then the wave velocity,
Phase & Group Velocity: Assignment | Oscillations, Waves & Optics - Physics
The group velocity,
Phase & Group Velocity: Assignment | Oscillations, Waves & Optics - Physics
Phase & Group Velocity: Assignment | Oscillations, Waves & Optics - Physics
Phase & Group Velocity: Assignment | Oscillations, Waves & Optics - Physics
This is the expression for the group velocity vg in terms of the wave velocity v.
We can see that if we neglect the effect of gravity (g =0) then Phase & Group Velocity: Assignment | Oscillations, Waves & Optics - Physics
If we neglect the effect of surface tension (T =0), then Phase & Group Velocity: Assignment | Oscillations, Waves & Optics - Physics


Q.2. If the angular velocity ω and the propagation number k of a wave are related by

ω2 = c2k220, where c and ω0 are constants, then show that the product of group

velocity and phase velocity is a constant.

The given relation is, ω2 = c2k220,
Differentiating ω with respect to k, we get
Phase & Group Velocity: Assignment | Oscillations, Waves & Optics - Physics
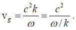
By definition, dω/dk is the group velocity, Phase & Group Velocity: Assignment | Oscillations, Waves & Optics - Physics
Again, by definition, ω/k is the phase velocity v,
Phase & Group Velocity: Assignment | Oscillations, Waves & Optics - Physics


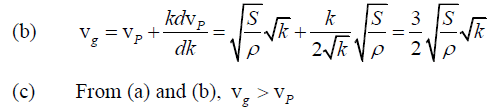
Q.3. The dispersion relation for water waves of very short wavelength in deep water is Phase & Group Velocity: Assignment | Oscillations, Waves & Optics - Physics where S is the surface tension and ρ is the density.
(a) What is the phase velocity of these waves?
(b) What is the group velocity?
(c) Is the group velocity greater or less than phase velocity?

Phase & Group Velocity: Assignment | Oscillations, Waves & Optics - Physics
Phase & Group Velocity: Assignment | Oscillations, Waves & Optics - Physics


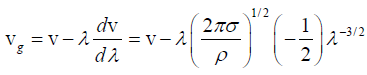
Q.4. A wave packet of mean wavelength 3.6 x 10 cm is traveling with phase velocity 1.8 x 1010 cm/sec in a dispersive medium of carbon-di-sulphide. From the dispersion of the medium, dv/dλ is computed to be 3.8x1013 per sec . Calculate the group velocity in carbon-di-sulphide.

The group velocity vg is related to the phase velocity by Phase & Group Velocity: Assignment | Oscillations, Waves & Optics - Physics
vg = (1.8 x 1010 cm/sec)  - (3.6 x 10-5 cm) (3.8 x 1013 /sec)
 = (1.8 x 1010 cm/sec) - (13.68 x 108 cm/sec) = (1.8x1010 cm/sec ) - (0.1368 x 1010 cm/sec).
= 1.66 x 1010 cm/sec.


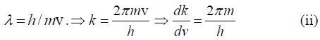
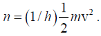
Q.5. If the frequency of matter wave is Phase & Group Velocity: Assignment | Oscillations, Waves & Optics - Physics and the wavelength is h/mv , show that the group velocity is v.

The angular frequency is ω =2πn.
Here the wave frequency is Phase & Group Velocity: Assignment | Oscillations, Waves & Optics - Physics
Phase & Group Velocity: Assignment | Oscillations, Waves & Optics - Physics   ....(i)
Again, the propagation constant, k = 2π/λ
For matter wave, Phase & Group Velocity: Assignment | Oscillations, Waves & Optics - Physics
Dividing equation (i) and (ii), we have  dω/dk = v.
By definition, dω/dk is the group velocity vg,    ∴ vg = v.


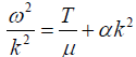
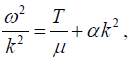
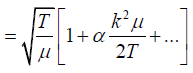
Q.6. It is only when a string is perfectly flexible that the phase velocity of a wave on a string is given by Phase & Group Velocity: Assignment | Oscillations, Waves & Optics - Physics The dispersion relations for the real piano wire can be written as Phase & Group Velocity: Assignment | Oscillations, Waves & Optics - Physics where α is a small positive quantity which depends on the stiffness of the string. For perfectly flexible string, α = 0. Obtain expressions for phase velocity vp and group velocity vg and show that vp increases as wavelength decrease.

The dispersion relation is given as, Phase & Group Velocity: Assignment | Oscillations, Waves & Optics - Physics
The phase velocity,
Phase & Group Velocity: Assignment | Oscillations, Waves & Optics - Physics
Phase & Group Velocity: Assignment | Oscillations, Waves & Optics - Physics    (for small α)
Since k = 2π/λ, vp increase as λ decrease.
The group velocity is given by,
Phase & Group Velocity: Assignment | Oscillations, Waves & Optics - Physics


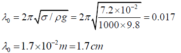
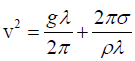
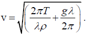
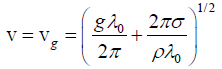
Q.7. The phase velocity of deep-water waves is given by, Phase & Group Velocity: Assignment | Oscillations, Waves & Optics - Physics. Where, g = 9.8ms-2 ,ρ = 1000kgm-3 and σ= 7.2 x 10-2 Nm (σ is the Surface tension of water).

(a) Determine the value (λ0) of the wavelength of the waves which do not disperse in water. What is the phase and group velocities at this wavelength?
(b) Show that for wavelength λ <<λ0; vg = 1.5v and λ>>λ0; vg = v/2
 

(a). For no dispersion, Phase & Group Velocity: Assignment | Oscillations, Waves & Optics - Physics
Differentiating the expression Phase & Group Velocity: Assignment | Oscillations, Waves & Optics - Physics with respect to λ and setting Phase & Group Velocity: Assignment | Oscillations, Waves & Optics - Physics and λ = λ0 gives Phase & Group Velocity: Assignment | Oscillations, Waves & Optics - Physics
Substituting the values of g, σ, ρ and λ0 yields,
Phase & Group Velocity: Assignment | Oscillations, Waves & Optics - Physics

Thus, waves of average wavelength of 1.7cm do not disperse in water. The group and

phase velocities at λ0 are equal to each other.
Phase & Group Velocity: Assignment | Oscillations, Waves & Optics - Physics
Substituting the values of g, σ, ρ and λ0 yields,
Phase & Group Velocity: Assignment | Oscillations, Waves & Optics - Physics
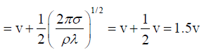
(b) For λ<<λ0 the surface tension term dominates, so that Phase & Group Velocity: Assignment | Oscillations, Waves & Optics - Physics
Now,
Phase & Group Velocity: Assignment | Oscillations, Waves & Optics - Physics
Phase & Group Velocity: Assignment | Oscillations, Waves & Optics - Physics
This is the speed with which ripples (short-wavelength waves) propagate in water. For

such waves vg > v, indicating that they show anomalous dispersion.
And if  λ>>λ0 the gravity term dominates. The phase velocity of these long wavelength waves is, therefore, given by Phase & Group Velocity: Assignment | Oscillations, Waves & Optics - Physics
These waves show normal dispersion, i.e., their phase velocity decrease with decrease in wavelength.


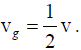
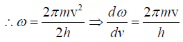
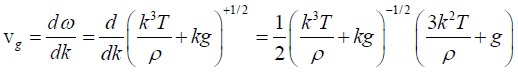
Q.8. Neglecting the effects of surface tension and finite depth, the wave velocity of water wave of wavelength λ is given byPhase & Group Velocity: Assignment | Oscillations, Waves & Optics - Physics Prove that the group velocity is half the wave velocity. Calculate group velocity and wave velocity for λ = 1000m.

The phase velocity of wave in deep water (gravity waves) is given by,
Phase & Group Velocity: Assignment | Oscillations, Waves & Optics - Physics
Since 2π/λ = k, where k is propagation constant
Then the phase velocity or wave velocity is
Phase & Group Velocity: Assignment | Oscillations, Waves & Optics - Physics
The group velocity,
Phase & Group Velocity: Assignment | Oscillations, Waves & Optics - Physics
Hence, vg = 1/2 v      Phase & Group Velocity: Assignment | Oscillations, Waves & Optics - Physics
Therefore, the wave velocity for λ = 1000m is,
Phase & Group Velocity: Assignment | Oscillations, Waves & Optics - Physics
And the group velocity is
Phase & Group Velocity: Assignment | Oscillations, Waves & Optics - Physics
Thus, the gravity waves are highly dispersive. The individual waves travel much more

rapidly within the group.


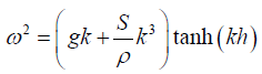
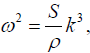
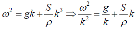
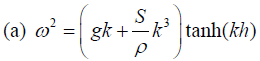
Q.9. The general dispersion relation for water waves can be written as 

Phase & Group Velocity: Assignment | Oscillations, Waves & Optics - Physics

Where g is acceleration due to gravity, ρ is the density of water, S is the surface

tension and h is the water depth. Use the properties of tan hx function viz.
For x >>1, tan hx =1 and for x<<1, tan hx = x. Show that
(a) in shallow water the group velocity and the phase velocity are both equal to Phase & Group Velocity: Assignment | Oscillations, Waves & Optics - Physics  
if the wavelength is long enough to ensure that Phase & Group Velocity: Assignment | Oscillations, Waves & Optics - Physics
(b) Show that for deep water the phase velocity is given by Phase & Group Velocity: Assignment | Oscillations, Waves & Optics - Physics  and find the group velocity.

Phase & Group Velocity: Assignment | Oscillations, Waves & Optics - Physics
If kh <<1, then tanh(kh) = kh, then Phase & Group Velocity: Assignment | Oscillations, Waves & Optics - Physics
If the second term in the bracket is smaller than the first one i.e.,
Phase & Group Velocity: Assignment | Oscillations, Waves & Optics - Physics
Phase & Group Velocity: Assignment | Oscillations, Waves & Optics - Physics
then, Phase & Group Velocity: Assignment | Oscillations, Waves & Optics - Physics and group velocity  Phase & Group Velocity: Assignment | Oscillations, Waves & Optics - Physics 
∴ vg = vp
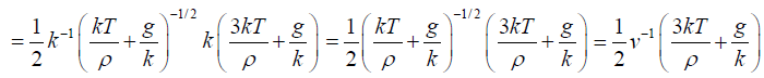
(b) kh >>1, tanh(kh) = 1 then Phase & Group Velocity: Assignment | Oscillations, Waves & Optics - Physics
phase velocity,
Phase & Group Velocity: Assignment | Oscillations, Waves & Optics - Physics
Group velocity,
Phase & Group Velocity: Assignment | Oscillations, Waves & Optics - Physics
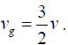
And, Phase & Group Velocity: Assignment | Oscillations, Waves & Optics - Physics For short wavelengths k is larger, the first term in both the numerator and denominator will be smaller and  vg = 3/2vp, while for long wavelength k is small and vg = 1/2vp.


Q.10. (i) Calculate the wave number for gamma rays of wavelength 1A0.
(ii) The angular frequency is five times of the propagation constant. Calculate phase and group velocities.

(i) The wave number Phase & Group Velocity: Assignment | Oscillations, Waves & Optics - Physics (say) is defined by Phase & Group Velocity: Assignment | Oscillations, Waves & Optics - Physics
Given that,
Phase & Group Velocity: Assignment | Oscillations, Waves & Optics - Physics
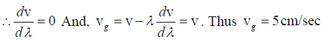
(ii) The angular frequency ω is 5 times the propagation constant, that is, ω/k = 5
where ω/k is the phase velocity v . Thus v = 5cm/ sec
if k is per cm. here ω/k is constant, that is v = constant
Phase & Group Velocity: Assignment | Oscillations, Waves & Optics - Physics


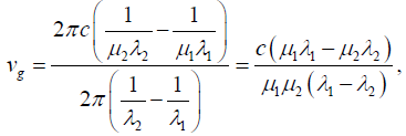
Q.11. The refractive indices of a medium for two spectral lines of wavelength Phase & Group Velocity: Assignment | Oscillations, Waves & Optics - Physics and Phase & Group Velocity: Assignment | Oscillations, Waves & Optics - Physics are 1.540 and 1.530 respectively. Calculate the value of the group velocity. Velocity of light in vacuum is 3 x 1010 cm/sec.

The group velocity, Phase & Group Velocity: Assignment | Oscillations, Waves & Optics - Physics     ...(1)
Where, ω  is angular frequency and k is propagation constant
Now, ω  = 2πn, where n is frequency, which is given by, Phase & Group Velocity: Assignment | Oscillations, Waves & Optics - Physics

Where λvac is the wavelength of light in vacuum. If λ be the wavelength in a medium of

refractive index μ, then Phase & Group Velocity: Assignment | Oscillations, Waves & Optics - Physics
thus
Phase & Group Velocity: Assignment | Oscillations, Waves & Optics - Physics
From equation (i), we have,
Phase & Group Velocity: Assignment | Oscillations, Waves & Optics - Physics
Given:
Phase & Group Velocity: Assignment | Oscillations, Waves & Optics - Physics
Phase & Group Velocity: Assignment | Oscillations, Waves & Optics - Physics
Phase & Group Velocity: Assignment | Oscillations, Waves & Optics - Physics

The document Phase & Group Velocity: Assignment | Oscillations, Waves & Optics - Physics is a part of the Physics Course Oscillations, Waves & Optics.
All you need of Physics at this link: Physics
54 videos|22 docs|14 tests

FAQs on Phase & Group Velocity: Assignment - Oscillations, Waves & Optics - Physics

1. What is phase velocity?
Ans. Phase velocity refers to the speed at which the phase of a wave propagates through space. It is the ratio of the frequency of the wave to its wavelength.
2. What is group velocity?
Ans. Group velocity represents the speed at which the energy or information of a wave packet is transmitted. It is the velocity at which the envelope of the wave packet propagates through space.
3. How are phase velocity and group velocity related?
Ans. Phase velocity and group velocity are related through the dispersion relation of the wave medium. In general, the group velocity is the derivative of the phase velocity with respect to the wave vector. However, in some cases, such as in dispersive media, the two velocities can differ.
4. What is the significance of phase and group velocities?
Ans. The phase velocity determines how fast a specific phase of a wave travels, while the group velocity determines the speed at which the wave packet as a whole propagates. Both velocities play a crucial role in understanding wave behavior, dispersion, and signal transmission in different media.
5. How do phase and group velocities differ in different media?
Ans. In homogeneous, non-dispersive media, the phase and group velocities are equal. However, in dispersive media, where the wave speed depends on the frequency or wavelength, the phase and group velocities can differ. In such cases, the group velocity may be smaller or larger than the phase velocity, depending on the specific dispersion relation of the medium.
Related Searches

Viva Questions

,

Phase & Group Velocity: Assignment | Oscillations

,

Waves & Optics - Physics

,

Summary

,

Free

,

Extra Questions

,

Phase & Group Velocity: Assignment | Oscillations

,

Waves & Optics - Physics

,

study material

,

Semester Notes

,

mock tests for examination

,

Sample Paper

,

shortcuts and tricks

,

video lectures

,

Waves & Optics - Physics

,

ppt

,

Important questions

,

past year papers

,

MCQs

,

Phase & Group Velocity: Assignment | Oscillations

,

Objective type Questions

,

practice quizzes

,

Previous Year Questions with Solutions

,

pdf

,

Exam

;