JEE Exam  >  JEE Notes  >  Chapter-wise Tests for JEE Main & Advanced  >  Integer Answer Type Questions for JEE: Ray & Wave Optics

Integer Answer Type Questions for JEE: Ray & Wave Optics | Chapter-wise Tests for JEE Main & Advanced PDF Download

Q.1. A ray is incident normally on a right angle prism whose μ is √3 and prism angle a = 30°, after crossing prism ray passes through glass sphere. It strikes the glass sphere of radius R at R/2 distance from principal axis, as shown in figure. Sphere is half polished. Find the angle of deviation of incident ray.
Integer Answer Type Questions for JEE: Ray & Wave Optics | Chapter-wise Tests for JEE Main & Advanced

Ans. 180o
Integer Answer Type Questions for JEE: Ray & Wave Optics | Chapter-wise Tests for JEE Main & Advancedμ sin 30° = sin b
Integer Answer Type Questions for JEE: Ray & Wave Optics | Chapter-wise Tests for JEE Main & Advanced
β = 60°
δ = 30°
Point P where it strikes is R / 3
Integer Answer Type Questions for JEE: Ray & Wave Optics | Chapter-wise Tests for JEE Main & Advanced
⇒ Ray strikes normal to the spherical surface. It retraces the path.
∴ Angle of deviation = 180°

Q.2. A concave mirror has a focal length 20 cm. The distance between the two positions of the object for which the image size is double of the object size is

Ans. 20 cm
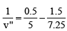
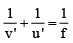
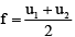
For real image u = – u1, v = –2u1 f = 20 cm
Substituting in Integer Answer Type Questions for JEE: Ray & Wave Optics | Chapter-wise Tests for JEE Main & Advanced,
We get Integer Answer Type Questions for JEE: Ray & Wave Optics | Chapter-wise Tests for JEE Main & Advanced
or u1 = 30 cm
For virtual image
u = –u2,  v = 2u2 f = – 20 cm  
Integer Answer Type Questions for JEE: Ray & Wave Optics | Chapter-wise Tests for JEE Main & Advanced
or u2 = 10 cm
∴ Distance between two positions of the object are u1 – u2 or 30 cm – 10 cm = 20 cm

Q.3. A light ray is incident on an irregular shaped slab of refractive index √2 at an angle of 45° with the normal on the incline face as shown in the figure.  The ray finally emerges from the curved surface in the medium of refractive index m = 1.514 and passes through point E.  If the radius of curved surface is equal to 0.4 m, find the distance OE correct upto two decimal places.
Integer Answer Type Questions for JEE: Ray & Wave Optics | Chapter-wise Tests for JEE Main & Advanced

Ans. 6.06 m
OE = 6.06 m
Using Snell’s law
Integer Answer Type Questions for JEE: Ray & Wave Optics | Chapter-wise Tests for JEE Main & Advancedμ1 sin 45° = μ2 sin θ θ = 30°.  
i.e. ray moves parallel to axis
Integer Answer Type Questions for JEE: Ray & Wave Optics | Chapter-wise Tests for JEE Main & Advanced
OE = 6.056 m » 6.06 m

Q.4. The image of the object O, shown in the figure, is formed at the bottom of the tank filled with water. Using the values given in the figure, calculate the value of h, i.e. the water level in the tank.
Integer Answer Type Questions for JEE: Ray & Wave Optics | Chapter-wise Tests for JEE Main & Advanced

Ans. 20 cm
h = 20 cm.
For the lens
Integer Answer Type Questions for JEE: Ray & Wave Optics | Chapter-wise Tests for JEE Main & Advanced
∴ v = 180 cm
This acts as an (virtual) object for the mirror which forms its image at a distance of 80 cm from it (in the absence of water tray).
The water tray shifts the image by Integer Answer Type Questions for JEE: Ray & Wave Optics | Chapter-wise Tests for JEE Main & Advanced
∴ h/4 + 80 = 85 cm
⇒ h = 20 cm.

Q.5. A cylindrical glass rod has its two coaxial ends of spherical form bulging outward. The front end has a radius of curvature 5 cm and the back end which is silvered has a radius of curvature 8 cm. The thickness of the rod along the axis is 10 cm. Calculate the position of the image of a point object at the axis 50 cm from the front face  (ang= 1.5).
Integer Answer Type Questions for JEE: Ray & Wave Optics | Chapter-wise Tests for JEE Main & Advanced

Ans. 4.27 m
Using the formula for refraction through a spherical surface
Integer Answer Type Questions for JEE: Ray & Wave Optics | Chapter-wise Tests for JEE Main & Advanced
At the point P, we have, u = - 50 cm, R = 5 cm, n1 = 1, n2 = 1.5
Hence, Integer Answer Type Questions for JEE: Ray & Wave Optics | Chapter-wise Tests for JEE Main & Advanced or v  = +18.75cm
This gives the position of image I1 w.r.t. pole P.
Integer Answer Type Questions for JEE: Ray & Wave Optics | Chapter-wise Tests for JEE Main & AdvancedThe silvered surface will act as a concave mirror of radius of curvature R = 8 cm and therefore focal length = 4 cm. The image formed by the first surface will act as an object for second reflecting surface.
The distance of image I1 from second surface = u'
where u' = -10 + 18.75 = + 8.75 cm
This image will act as a virtual object for mirror since the image is behind the mirror. Applying the formula for the mirror
Integer Answer Type Questions for JEE: Ray & Wave Optics | Chapter-wise Tests for JEE Main & Advanced
Here, u' = 8.75 cm, f = -4 cm, hence
Integer Answer Type Questions for JEE: Ray & Wave Optics | Chapter-wise Tests for JEE Main & Advanced or,  v' = -2.746 cm
This gives the position of image I2. Now this real image will act as a real object for the front surface where again refraction will take place.
Now, |u''|= 10 - 2.746 = 7.254 cm
∴ u'' = -7.254 cm, R = -5 cm, n1 = 1.5, n2 = 1
Applying formula of refraction at spherical surface,
Integer Answer Type Questions for JEE: Ray & Wave Optics | Chapter-wise Tests for JEE Main & Advanced
or, Integer Answer Type Questions for JEE: Ray & Wave Optics | Chapter-wise Tests for JEE Main & Advanced
or Integer Answer Type Questions for JEE: Ray & Wave Optics | Chapter-wise Tests for JEE Main & Advanced or  v” = -9.365 cm
i.e. final image is virtual and appears to originate from a point 9.365 cm behind the front surface.

Q.6. In Young’s double slit experiment Integer Answer Type Questions for JEE: Ray & Wave Optics | Chapter-wise Tests for JEE Main & Advanced (d = distance between slits, D = distance of screen from the slits). At a point P on the screen resulting intensity is equal to the intensity due to individual slit I0. Then the distance of point P from the central maximum is (λ = 6000 Å) 

Ans. 2 mm
Integer Answer Type Questions for JEE: Ray & Wave Optics | Chapter-wise Tests for JEE Main & Advanced
Integer Answer Type Questions for JEE: Ray & Wave Optics | Chapter-wise Tests for JEE Main & Advanced
or Integer Answer Type Questions for JEE: Ray & Wave Optics | Chapter-wise Tests for JEE Main & Advanced
or Integer Answer Type Questions for JEE: Ray & Wave Optics | Chapter-wise Tests for JEE Main & Advanced
or Integer Answer Type Questions for JEE: Ray & Wave Optics | Chapter-wise Tests for JEE Main & Advanced
Integer Answer Type Questions for JEE: Ray & Wave Optics | Chapter-wise Tests for JEE Main & Advanced
= 2 × 10–3 m = 2 mm

Q.7. Two coherent light sources emit light of wavelength 550 nm which produce an interference pattern on a screen. The sources are 2.2 mm apart and 2.2m from the screen. Determine whether the interference at the point O is constructive or destructive. Calculate the fringe width.
Integer Answer Type Questions for JEE: Ray & Wave Optics | Chapter-wise Tests for JEE Main & Advanced

Ans. 0.55 mm
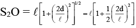
The path difference at O is given by
Δ = S2O - S1O
From figure Integer Answer Type Questions for JEE: Ray & Wave Optics | Chapter-wise Tests for JEE Main & Advanced
Integer Answer Type Questions for JEE: Ray & Wave Optics | Chapter-wise Tests for JEE Main & Advanced
Now, Integer Answer Type Questions for JEE: Ray & Wave Optics | Chapter-wise Tests for JEE Main & Advanced
= 1.1 x 10-6 m
The difference will be constructive if path difference is an integral multiples of wavelength
i.e., n = 1, 2, 3 . . . . .
Integer Answer Type Questions for JEE: Ray & Wave Optics | Chapter-wise Tests for JEE Main & Advanced
Fringe width,
Integer Answer Type Questions for JEE: Ray & Wave Optics | Chapter-wise Tests for JEE Main & Advanced
= 5.5 x 10-4 m = 0.55 mm.

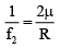
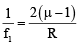
Q.8. When the plane surface of a plano-convex lens of refractive index 1.5 is silvered, it behaves like a concave mirror with f = 30 cm. When its convex surface is silvered, it will behave like a concave mirror of focal length

Ans. 10 cm
When the plane surface is silvered,
Integer Answer Type Questions for JEE: Ray & Wave Optics | Chapter-wise Tests for JEE Main & Advanced
When the convex surface is silvered,
Integer Answer Type Questions for JEE: Ray & Wave Optics | Chapter-wise Tests for JEE Main & Advanced
Integer Answer Type Questions for JEE: Ray & Wave Optics | Chapter-wise Tests for JEE Main & Advanced
or Integer Answer Type Questions for JEE: Ray & Wave Optics | Chapter-wise Tests for JEE Main & Advanced

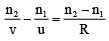
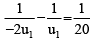
Q.9. When an object is at distances of u1 and u2 from the poles of a concave mirror, images of the same size are formed. The focal length of the mirror is

Ans. Integer Answer Type Questions for JEE: Ray & Wave Optics | Chapter-wise Tests for JEE Main & Advanced
One image will be real and the other will be virtual. Since they are of the same size, one will have magnification m and the other -m.
Integer Answer Type Questions for JEE: Ray & Wave Optics | Chapter-wise Tests for JEE Main & Advanced
or Integer Answer Type Questions for JEE: Ray & Wave Optics | Chapter-wise Tests for JEE Main & Advanced
and Integer Answer Type Questions for JEE: Ray & Wave Optics | Chapter-wise Tests for JEE Main & Advanced
or Integer Answer Type Questions for JEE: Ray & Wave Optics | Chapter-wise Tests for JEE Main & Advanced
Integer Answer Type Questions for JEE: Ray & Wave Optics | Chapter-wise Tests for JEE Main & Advanced
Integer Answer Type Questions for JEE: Ray & Wave Optics | Chapter-wise Tests for JEE Main & Advanced or Integer Answer Type Questions for JEE: Ray & Wave Optics | Chapter-wise Tests for JEE Main & Advanced

Q.10. A telescope, when in normal adjustment, has a magnifying power of 6 and the objective and eye-piece are 14 cm apart. The focal lengths of the eye-piece and the objective, respectively, are

Ans. 2 cm and 12 cm
Let fe and f0 be the focal lengths of the eye-piece and the objective, respectively.
In normal adjustment,
f0 + fe = 14 ...(1)
and Integer Answer Type Questions for JEE: Ray & Wave Optics | Chapter-wise Tests for JEE Main & Advanced
f0 = 6fe ...(2)
Solving Eqs. (1) and (2), we get
⇒ fe = 2 cm and f0 = 12 cm

The document Integer Answer Type Questions for JEE: Ray & Wave Optics | Chapter-wise Tests for JEE Main & Advanced is a part of the JEE Course Chapter-wise Tests for JEE Main & Advanced.
All you need of JEE at this link: JEE
446 docs|929 tests
Related Searches

Summary

,

Important questions

,

video lectures

,

Sample Paper

,

MCQs

,

Integer Answer Type Questions for JEE: Ray & Wave Optics | Chapter-wise Tests for JEE Main & Advanced

,

shortcuts and tricks

,

pdf

,

Viva Questions

,

Free

,

Exam

,

ppt

,

study material

,

Objective type Questions

,

Integer Answer Type Questions for JEE: Ray & Wave Optics | Chapter-wise Tests for JEE Main & Advanced

,

Semester Notes

,

mock tests for examination

,

Previous Year Questions with Solutions

,

past year papers

,

practice quizzes

,

Integer Answer Type Questions for JEE: Ray & Wave Optics | Chapter-wise Tests for JEE Main & Advanced

,

Extra Questions

;