JEE Exam  >  JEE Notes  >  Gabriel Phthalamide Reaction

Gabriel Phthalamide Reaction - JEE PDF Download

Gabriel phthalimide synthesis

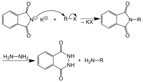
The Gabriel synthesis or Gabriel phthalimide synthesis is named after the German chemist Siegmund Gabriel. Gabriel phthalimide synthesis is a reaction that involves conversion of primary alkyl halides into primary amines using alkyl halides. Conventionally, the Gabriel synthesis uses potassium phthalimide.

Gabriel Phthalamide Reaction - JEEThe Gabriel phthalimide synthesis or Gabriel synthesis has applications in the alkylation of sulfonamides and imides, followed by their deprotection, to obtain amines. The alkylation of ammonia is frequently an extensive and inefficient route to amines. In the Gabriel phthalimide synthesis, phthalimide anion is recruited as a proxy of H2N.

Gabriel phthalimide reaction

The main objective of Gabriel phthalimide synthesis is to form primary amine (RNH2). Gabriel synthesis involves reaction of potassium hydroxide with the phthalimide which forms a good nucleophile in the form of an imide ion. The imide ion attacks alkyl halide via nucleophilic substitution reaction and leads to the formation of an intermediate named as N-alkyl phthalimide. Phthalimide then undergoes hydrolysis which yields a primary alkyl amine. However, aryl amines cannot be prepared through Gabriel synthesis because aryl halides do not undergo simple nucleophilic substitution. Gabriel synthesis has an advantage of eluding the possibility of over alkylation.

Gabriel phthalimide reaction as:

Gabriel Phthalamide Reaction - JEE

Gabriel synthesis mechanism

As we discussed above, Gabriel phthalimide reaction is used for the preparation of primary amines and Gabriel phthalimide reaction is a nucleophilic substitution reaction. Now, we need to understand how this reaction proceeds and how different groups interact with each other to produce primary amines as endgame. The reaction initiates with conversion of phthalimide into potassium phthalimide by addition of alkali base KOH or NaOH. Removal of protons from the nitrogen of phthalimide takes place; this is called deprotonation of nitrogen. In some books this step is skipped.

Gabriel Phthalamide Reaction - JEE

Gabriel phthalimide synthesis then proceeds with potassium phthalimide. The nitrogen of potassium phthalimide gains a negative charge due to deprotonation. This negatively charged nitrogen can now act as a nucleophile and react with alkyl halide via bimolecular nucleophilic substitution reaction or SN2 reaction.

Gabriel Phthalamide Reaction - JEE

The nucleophilic nitrogen of Gabriel phthalimide attacks the electrophilic carbon of alkyl halide. The potassium ion from KOH combines with halogen of alkyl halide and forms KX. The alkyl group of alkyl halide attaches to nucleophilic nitrogen which results in the formation of N-alkyl phthalimide

Gabriel Phthalamide Reaction - JEE

Structure of N-alkyl phthalimide
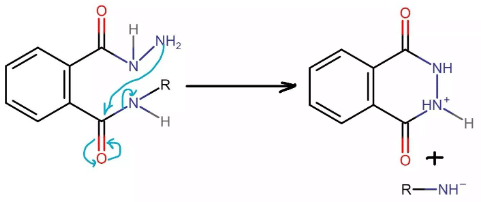
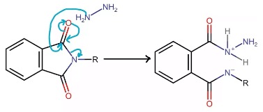
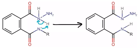
At this stage of Gabriel phthalimide reaction, there are a couple of variations for generating amines. Generally, hydrazine (NH2NH2) is used via the Ing–Manske procedure which produces a precipitate of phthalhydrazide along with the primary amine. Processes like acidic hydrolysis or basic hydrolysis can sometimes be done. Gabriel synthesis involving acidic hydrolysis liberates amine salt from the primary amine. We will discuss how reaction proceeds with addition of hydrazine. Hydrazine is a nucleophile which on adding to carbonyl carbon gives nucleophilic acyl substitution with N-alkyl phthalimide.

Gabriel Phthalamide Reaction - JEE

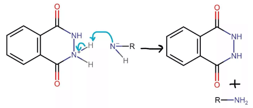
The nitrogen of phthalimide then participates in deprotonation of the protonated hydrazine.
Gabriel Phthalamide Reaction - JEEThe nitrogen of hydrazine is deprotonated by nitrogen of phthalimide which leads to the formation of an uncharged species.
Gabriel Phthalamide Reaction - JEEThe unreacted NH2 group of hydrazine undergoes nucleophilic acyl substitution and attacks the carbonyl group liberating amine. Both species generated in this step of Gabriel phthalimide synthesis are charged which need to be taken care of.
Gabriel Phthalamide Reaction - JEEThe final step of Gabriel phthalimide reaction involves neutralization of charge which results in formation of primary amine RNH2. This step marks the end of Gabriel phthalimide synthesis.

Alternate methods of Gabriel synthesis

Gabriel phthalimide synthesis using hydrazine often produces low yields or side products. Consecutively, it is not easy to separate phthalhydrazide. This is the main problem which leads to the formulation of other methods to liberate amines from phthalimide. Alternative reagents like the sodium salt of saccharin and di-tert-butyl-iminodicarboxylate are used in place of hydrazine.
Such reagents are electronically similar to phthalimide salts and consist of imido nucleophile. Since Gabriel synthesis is ineffective for secondary alkyl halides, these reagents ensure reactivity of secondary alkyl halides too. These reagents hydrolyze more readily and allow the production of secondary amines. Another common alternative includes acid hydrolysis and base hydrolysis of phthalimide.

Gabriel phthalimide synthesis involving acid hydrolysis

Gabriel synthesis initiates with H3O+ ion which is made by addition of any acid in aqueous solution. The hydronium ion protonates one of carbon of the carbonyl groups of phthalimide and addition of water takes place which in turn leads to the cleaving of N-alkyl phthalimide. Another molecule of nucleophilic water then attacks the other carbon of carbonyl carbon which develops charge on the molecules. This extra charge forces RNH2 to detach from carbonyl carbons. The end of Gabriel synthesis is marked by substitution of RNH2 by OH from the N-alkyl phthalimide which results in formation of an amine.

Gabriel phthalimide synthesis involving basic hydrolysis
Gabriel phthalimide reaction initiates with an attack of OH- on one of the carbonyl carbon. Nucleophilic OH ion attacks carbon of carbonyl group by nucleophilic substitution reaction. This results in cleaving of N-alkyl phthalimide. During this process the oxygen atom of the carbonyl group gains a negative charge. Another molecule of OH ion attacks the second carbonyl group. This process of charge transfer between nucleophile and electrophile to gain stability and neutralize molecules forces RNH2 to detach from carbonyl carbon. The nitrogen is replaced by O- ions. This marks the end of nucleophilic substitution reaction and hence end of Gabriel phthalimide synthesis.

Gabriel Phthalamide Reaction - JEE

The document Gabriel Phthalamide Reaction - JEE is a part of JEE category.
All you need of JEE at this link: JEE
Download as PDF

Top Courses for JEE

Related Searches

Summary

,

Objective type Questions

,

past year papers

,

Free

,

Extra Questions

,

MCQs

,

Viva Questions

,

study material

,

pdf

,

shortcuts and tricks

,

Gabriel Phthalamide Reaction - JEE

,

video lectures

,

Exam

,

Gabriel Phthalamide Reaction - JEE

,

ppt

,

Important questions

,

Sample Paper

,

practice quizzes

,

mock tests for examination

,

Previous Year Questions with Solutions

,

Gabriel Phthalamide Reaction - JEE

,

Semester Notes

;