JEE Exam  >  JEE Notes  >  Chapter-wise Tests for JEE Main & Advanced  >  Integer Answer Type Questions for JEE: Aldehydes, Ketones & Carboxylic Acids

Integer Answer Type Questions for JEE: Aldehydes, Ketones & Carboxylic Acids | Chapter-wise Tests for JEE Main & Advanced PDF Download

Q.1. 10 moles of Integer Answer Type Questions for JEE: Aldehydes, Ketones & Carboxylic Acids | Chapter-wise Tests for JEE Main & Advanced are treated with 8 moles of CH3MgBr followed by hydrolysis. How many moles of diol will be obtained?

Ans. 0
Because of acidic hydrogen of -CH2- group 8 moles of CH4 will be obtained.


Q.2.
Integer Answer Type Questions for JEE: Aldehydes, Ketones & Carboxylic Acids | Chapter-wise Tests for JEE Main & Advanced
Identify number of reagent that can be used for above conversion.
(a) Zn — Hg / HCl
(b) LiAlH4 
(c) CHCl3 / KOH
(d) Integer Answer Type Questions for JEE: Aldehydes, Ketones & Carboxylic Acids | Chapter-wise Tests for JEE Main & Advanced
(e) Integer Answer Type Questions for JEE: Aldehydes, Ketones & Carboxylic Acids | Chapter-wise Tests for JEE Main & Advanced
(f) SeO2   

Ans. 3
Clemmensen reduction (Zn - Hg / HCl) , Wolff Kishner reduction Integer Answer Type Questions for JEE: Aldehydes, Ketones & Carboxylic Acids | Chapter-wise Tests for JEE Main & Advanced and Raney Nickel Desulphurization (Ni / H2 with Integer Answer Type Questions for JEE: Aldehydes, Ketones & Carboxylic Acids | Chapter-wise Tests for JEE Main & Advanced reduces the carbonyl group to -CH2- on reaction with Integer Answer Type Questions for JEE: Aldehydes, Ketones & Carboxylic Acids | Chapter-wise Tests for JEE Main & Advanced


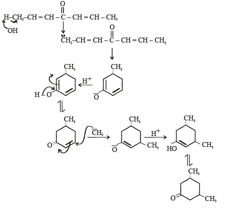
Q.3. Consider the following reaction
Integer Answer Type Questions for JEE: Aldehydes, Ketones & Carboxylic Acids | Chapter-wise Tests for JEE Main & Advanced
How many times Michael addition reaction can take place.

Ans. 2
Integer Answer Type Questions for JEE: Aldehydes, Ketones & Carboxylic Acids | Chapter-wise Tests for JEE Main & Advanced


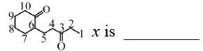
Q.4.  In the following structure, H at C-x is involved in crossed aldol reaction.
Integer Answer Type Questions for JEE: Aldehydes, Ketones & Carboxylic Acids | Chapter-wise Tests for JEE Main & Advanced

Ans. 2
C-2 is involved in cross aldol reaction. It's the case of intramolecular aldol condensation reaction.


Q.5. CH3CHO  +  CH3COCH3  Integer Answer Type Questions for JEE: Aldehydes, Ketones & Carboxylic Acids | Chapter-wise Tests for JEE Main & Advanced products
Total number of possible aldol products are:

Ans. 4
Integer Answer Type Questions for JEE: Aldehydes, Ketones & Carboxylic Acids | Chapter-wise Tests for JEE Main & Advanced


Q.6. Number of carbon atom in compound D is
Integer Answer Type Questions for JEE: Aldehydes, Ketones & Carboxylic Acids | Chapter-wise Tests for JEE Main & Advanced

Ans. 3
Integer Answer Type Questions for JEE: Aldehydes, Ketones & Carboxylic Acids | Chapter-wise Tests for JEE Main & Advanced
Integer Answer Type Questions for JEE: Aldehydes, Ketones & Carboxylic Acids | Chapter-wise Tests for JEE Main & Advanced


Q.7. How many carbon–carbon double bonds are present in the end product ‘Z’
Integer Answer Type Questions for JEE: Aldehydes, Ketones & Carboxylic Acids | Chapter-wise Tests for JEE Main & Advanced

Ans. 1
Integer Answer Type Questions for JEE: Aldehydes, Ketones & Carboxylic Acids | Chapter-wise Tests for JEE Main & Advanced


Q.8. What would be the value of ∧CH3 COOH in Scm2 eq–1 in a solution of pH = 2, if ∧ for CH3COOH is 400 Scm2 eq-1.

Ans. 4
Integer Answer Type Questions for JEE: Aldehydes, Ketones & Carboxylic Acids | Chapter-wise Tests for JEE Main & Advanced


Q.9. Number of organic compounds out of the following which can show positive iodoform test is acetaldehyde, Methanal, Butanone, Acetone, Glyoxal, pentan-2one.

Ans. 4
Compound containing Integer Answer Type Questions for JEE: Aldehydes, Ketones & Carboxylic Acids | Chapter-wise Tests for JEE Main & Advanced undergo iodoform
Integer Answer Type Questions for JEE: Aldehydes, Ketones & Carboxylic Acids | Chapter-wise Tests for JEE Main & Advanced


Q.10. Consider the following sequence of reaction:
Integer Answer Type Questions for JEE: Aldehydes, Ketones & Carboxylic Acids | Chapter-wise Tests for JEE Main & Advanced
What is the sum of stereoisomer of (X) and (Y).

Ans. 4
Integer Answer Type Questions for JEE: Aldehydes, Ketones & Carboxylic Acids | Chapter-wise Tests for JEE Main & Advanced
(X) → Two enantiomers
(Y) → Two geometric isomers.

The document Integer Answer Type Questions for JEE: Aldehydes, Ketones & Carboxylic Acids | Chapter-wise Tests for JEE Main & Advanced is a part of the JEE Course Chapter-wise Tests for JEE Main & Advanced.
All you need of JEE at this link: JEE
481 docs|964 tests
Related Searches

Ketones & Carboxylic Acids | Chapter-wise Tests for JEE Main & Advanced

,

MCQs

,

study material

,

Free

,

mock tests for examination

,

Viva Questions

,

Important questions

,

Ketones & Carboxylic Acids | Chapter-wise Tests for JEE Main & Advanced

,

Extra Questions

,

Integer Answer Type Questions for JEE: Aldehydes

,

shortcuts and tricks

,

past year papers

,

Integer Answer Type Questions for JEE: Aldehydes

,

pdf

,

Ketones & Carboxylic Acids | Chapter-wise Tests for JEE Main & Advanced

,

ppt

,

Exam

,

Integer Answer Type Questions for JEE: Aldehydes

,

Summary

,

Previous Year Questions with Solutions

,

practice quizzes

,

Semester Notes

,

Objective type Questions

,

Sample Paper

,

video lectures

;