JEE Exam  >  JEE Notes  >  Chapter-wise Tests for JEE Main & Advanced  >  JEE Advanced (One or More Correct Option): Definite Integrals & Application of Integrals

JEE Advanced (One or More Correct Option): Definite Integrals & Application of Integrals | Chapter-wise Tests for JEE Main & Advanced PDF Download

Q.1. Area enclosed between the curves
| y | = 1 – x2 and x2 + y2 = 1 is
(a) enclosed area is symmetric with respect to coordinate axis
(b) π –8/3 sq. unit
(c) 2π –8/3 sq. unit
(d) enclosed area is symmetric about y = 2 line

Correct Answer is option (a, b)
Graph
JEE Advanced (One or More Correct Option): Definite Integrals & Application of Integrals | Chapter-wise Tests for JEE Main & Advanced
JEE Advanced (One or More Correct Option): Definite Integrals & Application of Integrals | Chapter-wise Tests for JEE Main & Advanced


Q.2. Area enclosed between the curves y2 = x and x2 = y is equal to -
(a) JEE Advanced (One or More Correct Option): Definite Integrals & Application of Integrals | Chapter-wise Tests for JEE Main & Advanced
(b) 1/3
(c) area of region {(x, y) : x2 ≤y ≤ |x|}
(d) 2/3

Correct Answer is option (a, b, c)
JEE Advanced (One or More Correct Option): Definite Integrals & Application of Integrals | Chapter-wise Tests for JEE Main & Advanced 


Q.3. The area bounded by curves y = x3 ; y = (x)1/3
(a) lies in first quadrant
(b) lies is third quadrant

(c) is equal to + 1 unit2 
(d) is equal to 4 unit
2

Correct Answer is option (a, b, c)
y = x3, y = x1/3 is mirror image about y = x line
JEE Advanced (One or More Correct Option): Definite Integrals & Application of Integrals | Chapter-wise Tests for JEE Main & Advanced
JEE Advanced (One or More Correct Option): Definite Integrals & Application of Integrals | Chapter-wise Tests for JEE Main & Advanced


Q.4. Area bounded by y = x – x2 and line y = mx is equal to 9/2. Then possible values of ‘m’ are
(a) – 4 
(b) – 2
(c) 2 
(d) 4

Correct Answer is option (b, d)
JEE Advanced (One or More Correct Option): Definite Integrals & Application of Integrals | Chapter-wise Tests for JEE Main & Advanced


Q.5. Let JEE Advanced (One or More Correct Option): Definite Integrals & Application of Integrals | Chapter-wise Tests for JEE Main & Advanced  If the ratio in which x-axis divides the area bounded by x-axis and the curve y = (x –1) (x – 2) (x – 3) in two parts is a/b then -
(a) a = |A1|
(b) b = |A2|
(c) a = A1 
(d) b = A2

Correct Answer is option (a, b, c)
Since y > 0 for x ∈ (1, 2) & y < 0 for x ∈ (2, 3)
JEE Advanced (One or More Correct Option): Definite Integrals & Application of Integrals | Chapter-wise Tests for JEE Main & Advanced

So A1 > 0 A2 < 0 ⇒So a = A1 = |A1| & b = |A2|


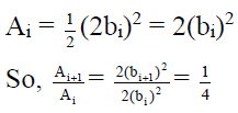
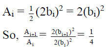
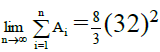
Q.6. If Ai is the area bounded by |x –ai| + |y| = bi, i ∈ N, where ai+1 = ai + 3/2band bi+1 = bi/2, a1 = 0, b1= 32, then:
(a) A3 = 128
(b)A3 = 256
(c) JEE Advanced (One or More Correct Option): Definite Integrals & Application of Integrals | Chapter-wise Tests for JEE Main & Advanced

(d) JEE Advanced (One or More Correct Option): Definite Integrals & Application of Integrals | Chapter-wise Tests for JEE Main & Advanced

Correct Answer is option (a, c)
a1 = 0, b1 = 32, a2 = a1 + 3/2b1 = 48, b2 = b1/2 = 16
a3 = 48 + 3/2 x 16 = 72, b3 = 16/2 = 8
JEE Advanced (One or More Correct Option): Definite Integrals & Application of Integrals | Chapter-wise Tests for JEE Main & Advanced
So the three loops from i = 1 to i = 3 are alike

Now area of ith loop (square) =1/2(diagonal)2

JEE Advanced (One or More Correct Option): Definite Integrals & Application of Integrals | Chapter-wise Tests for JEE Main & Advanced
So the area form a G.P. series
So, the sum of the G.P. upto infinite terms
JEE Advanced (One or More Correct Option): Definite Integrals & Application of Integrals | Chapter-wise Tests for JEE Main & Advanced


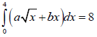
Q.7. The curve y = a√x +bx passes through the point (1,2)and the area enclosed by the curve, the x-axis and the line x = 4 is 8 sq. units. Then
(a) a + 2b = 1
(b) 2a + b = 1
(c) a = -1, b = 3

(d) a = 3, b = -1

Correct Answer is option (a, d)
a + b = 2 and JEE Advanced (One or More Correct Option): Definite Integrals & Application of Integrals | Chapter-wise Tests for JEE Main & Advanced implies 2a + 3b = 3. 

Solving a = 3 and b = -1


Q.8. A complex number z satisfies the equation | z2 - 9 | + | z2 |= 41 then the true statements, among the following are
(a) |z +3|+| z-3|=10
(b) |z +3|+| z-3|=8
(c) Maximum value |z| is 5
(d) Maximum value |z| is 6

Correct Answer is option (a, c)
|z2 - 9|+| z2| =41 ⇒ |z +3|+| z-3|=10


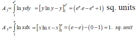
Q.9. If A1, A2, A3 be the area of the regions as shown in figure given below, then which of the following options is/are true?
JEE Advanced (One or More Correct Option): Definite Integrals & Application of Integrals | Chapter-wise Tests for JEE Main & Advanced(a) A2 = (ee - 2) SQ. unit
(b) A2: A3 = (ee - 2) SQ. unit 
(c) A- A2 = (ee - 2) SQ. unit
(d) A2 > A1 > A3 

Correct Answer is option (a, b, c)
JEE Advanced (One or More Correct Option): Definite Integrals & Application of Integrals | Chapter-wise Tests for JEE Main & Advanced
So,
JEE Advanced (One or More Correct Option): Definite Integrals & Application of Integrals | Chapter-wise Tests for JEE Main & Advanced
JEE Advanced (One or More Correct Option): Definite Integrals & Application of Integrals | Chapter-wise Tests for JEE Main & Advanced
Clearly
A1 > A2 > A3


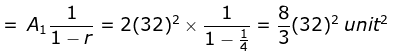
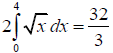
Q.10. Area bounded by curve y2 = x and x = 4 is divided into 4 equal parts by the lines x = a and y = b then.
(a) Area of each part = 8/3
(b) b = 0
(c) a= √2
(d) a = (16)1/3

Correct Answer is option (a, b, c)
Total area =  JEE Advanced (One or More Correct Option): Definite Integrals & Application of Integrals | Chapter-wise Tests for JEE Main & Advanced
JEE Advanced (One or More Correct Option): Definite Integrals & Application of Integrals | Chapter-wise Tests for JEE Main & Advanced
Area of each part = 8/3
JEE Advanced (One or More Correct Option): Definite Integrals & Application of Integrals | Chapter-wise Tests for JEE Main & Advanced

The document JEE Advanced (One or More Correct Option): Definite Integrals & Application of Integrals | Chapter-wise Tests for JEE Main & Advanced is a part of the JEE Course Chapter-wise Tests for JEE Main & Advanced.
All you need of JEE at this link: JEE
446 docs|929 tests
Related Searches

ppt

,

MCQs

,

Free

,

shortcuts and tricks

,

Extra Questions

,

practice quizzes

,

Semester Notes

,

study material

,

mock tests for examination

,

JEE Advanced (One or More Correct Option): Definite Integrals & Application of Integrals | Chapter-wise Tests for JEE Main & Advanced

,

Sample Paper

,

Exam

,

JEE Advanced (One or More Correct Option): Definite Integrals & Application of Integrals | Chapter-wise Tests for JEE Main & Advanced

,

JEE Advanced (One or More Correct Option): Definite Integrals & Application of Integrals | Chapter-wise Tests for JEE Main & Advanced

,

video lectures

,

past year papers

,

Objective type Questions

,

Summary

,

Important questions

,

Viva Questions

,

pdf

,

Previous Year Questions with Solutions

;