When the energy state of any system is disturbed, and the disturbances occur at the input, output or both, the system requires some time to move from one state to another. The time required to change from one state to another is called the transient time. The values of current, voltage or output variable during this period are collectively called the transient response.
Depending on the system parameters, the transient response may include oscillations which are either decaying or sustained. The complete time response of a control system is therefore considered as two parts:
The transient-state response describes the behaviour of the system while it is changing from the initial condition to a new equilibrium after a disturbance or an input is applied. The transient response depends on the natural dynamics of the system (its poles) and on initial conditions.
The steady-state analysis concerns the long-time behaviour of the system after all transients have decayed. It deals with the estimation of the magnitude of steady-state error between the input and the output and with the final operating point or oscillation that persists as t → ∞.
Standard input signals are used to test and characterise time-response behaviour. These are mathematical signals commonly used in control engineering.
Note
Transient time: The time taken for the system to move from one state to another.
Transient response: The values of system variables during the transient time.

Transient and Steady State Analysis of Linear Time-Invariant (LTI) Systems
The total response y(t) of an LTI system to a given input can be viewed as the sum of two parts: the natural (homogeneous) response which depends on initial conditions and system poles, and the forced (particular) response which depends on the input. The transient response typically corresponds to the natural response and decays with time for a stable system. The steady-state response is the forced response that remains after transients have decayed. If the steady-state output does not match the input exactly, the difference is the steady-state error.
For analysis of time response, the following input signals are standard. Each signal has a Laplace transform that facilitates analysis in the s-domain.

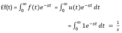
The unit step function is denoted by u(t) and is defined as
u(t) = 0 ; t < 0
u(t) = 1 ; t ≥ 0
Laplace transform:

For a unit step input R(s) = 1/s.
Example: Turning on a light switch at t = 0 changes the light from off (0) to on (1) abruptly; this is modelled by the unit step.

The ramp function begins at the origin and increases (or decreases) linearly with time. If r(t) denotes a ramp, then
r(t) = 0 ; t < 0
r(t) = K t ; t ≥ 0
Where K is the slope. For a unit ramp, K = 1.
Laplace transform:

Example: A vehicle accelerating uniformly from rest (constant acceleration) shows speed increasing roughly linearly with time for short durations; this may be approximated by a ramp.

The parabolic (or quadratic) input is zero for t < 0 and proportional to t^2 for t ≥ 0. For a general parabolic input
r(t) = 0 ; t < 0
r(t) = (K t^2)/2 ; t ≥ 0
For a unit parabolic input K = 1 so r(t) = t^2/2.
Laplace transform:

Example: The distance travelled under constant acceleration (from rest) grows as t^2 and is described by a parabolic function.

The unit impulse function, often written δ(t), is zero for t ≠ 0 and has an infinitesimal width with unit area at t = 0. It is used to characterise instantaneous shocks and the fundamental response of LTI systems.
Mathematically:

The impulse has zero value everywhere except at t = 0 where the amplitude is conventionally infinite but the integral over time equals 1.

Example: A very short electrical spike or mechanical impact is modelled by an impulse input. The impulse response h(t) of a system is the inverse Laplace transform of its transfer function H(s) and fully characterises the LTI system: y(t) = h(t) * r(t) (convolution).
To quantify transient performance, certain time-domain specifications are used. These are most commonly defined for the unit step response.
Consider a standard first-order transfer function G(s) = K / (τ s + 1), where τ is the time constant.
The unit step response is
y(t) = K [1 - e^{-t/τ}] , t ≥ 0
Characteristic relations:
Consider the standard second-order transfer function G(s) = ω_n^2 / (s^2 + 2ζω_n s + ω_n^2), where ω_n is the natural frequency and ζ is the damping ratio.
The underdamped (0 < ζ < 1) unit step response is
y(t) = 1 - (1/√(1 - ζ^2)) e^{-ζ ω_n t} sin(ω_d t + φ)
where ω_d = ω_n √(1 - ζ^2) and φ = cos^-1(ζ).
Characteristic relations:
Steady-state error is determined by the closed-loop transfer function and the type of input. The final value theorem is used to obtain steady-state values when the closed-loop system is stable:
lim_{t→∞} f(t) = lim_{s→0} s F(s), provided the limits exist and poles are in the left-half plane.
For a unity-feedback system with open-loop transfer function G(s), the closed-loop error E(s) is
E(s) = R(s) - Y(s) = R(s) / [1 + G(s)]
Hence steady-state error for a given input R(s) can be found by
e_ss = lim_{t→∞} e(t) = lim_{s→0} s E(s)
The behaviour of steady-state error for standard inputs is characterised by error constants computed from the open-loop transfer function G(s) (for unity-feedback):
System type is the number of pure integrators (poles at origin) in the open-loop transfer function G(s). The steady-state error to standard inputs depends on system type as follows for unity-feedback and unity-magnitude inputs:
For a unity-feedback system with G(s) = K / [s (s + a)],
Compute Kv = lim_{s→0} s G(s) = lim_{s→0} s × K / [s (s + a)] = K / a
Therefore steady-state error to a unit ramp is e_ss = 1 / Kv = a / K.
Consider a first-order system with transfer function G(s) = 1 / (τ s + 1). Find the unit-step response y(t) and the 2% settling time.
Write the output in s-domain:
Y(s) = G(s) × R(s) = [1 / (τ s + 1)] × [1 / s]
Perform inverse Laplace transform to obtain y(t):
y(t) = 1 - e^{-t/τ} , t ≥ 0
Determine settling time (2% criterion):
The exponential term must satisfy e^{-t/τ} ≤ 0.02
Solving for t gives t ≥ τ ln(1/0.02) ≈ 3.912 τ
Use the common approximation Ts ≈ 4 τ for the 2% settling time.
Time-response analysis separates the response of an LTI system into transient and steady-state parts. Standard inputs (step, ramp, parabolic, impulse) and Laplace-transform techniques are central to analysis. Key transient metrics include rise time, peak time, maximum overshoot and settling time; steady-state performance is characterised by steady-state error, system type and error constants (Kp, Kv, Ka). First- and second-order canonical forms provide closed-form expressions that are widely used to design and tune controllers to meet performance specifications.
53 videos|116 docs|40 tests |
| 1. What is time response analysis in the context of electrical engineering? | ![]() |
| 2. What is the purpose of transient analysis in time response analysis? | ![]() |
| 3. What does steady-state analysis involve in time response analysis? | ![]() |
| 4. How are linear time-invariant (LTI) systems relevant in time response analysis? | ![]() |
| 5. What are some commonly used input signals in transient analysis for time response analysis? | ![]() |