Electrical Engineering (EE) Exam  >  Electrical Engineering (EE) Notes  >  Control Systems  >  Types of Controllers - Control Systems - Electrical Engineering (EE)

Types of Controllers - Control Systems - Electrical Engineering (EE)

Introduction

A controller is a unit in a control system that generates control signals to reduce the deviation of the actual (measured) value from the desired (reference) value. The method by which the controller produces this control signal is called the control action. The difference between the reference input and the measured output is the error signal, and the controller acts on this error so that the system produces the required output with minimum possible deviation.

  • The controller is responsible for the control action that corrects the process behaviour and yields accurate output.
  • The controller receives an actuating error signal and produces a command signal to the final control element (valve, motor, heater, etc.).
  • A control system aims to reduce the error to zero or to an acceptably small value using an appropriate controller design.
Introduction

Types of Controllers

Controllers are classified according to the way their output varies with the actuating error. The two broad modes of operation are discontinuous and continuous. The principal controller types used in practice result from these modes.

Types of Controllers

Discontinuous (On-Off / Multiposition) Controllers

In the discontinuous mode the controller output can take a finite set of discrete values rather than varying smoothly. Such controllers are simple and robust and are widely used where precision is not critical or where a binary action is sufficient.

  • Two-position (On-Off) controller: The controller output alternates between two values (commonly fully-on and fully-off). The output changes state when the error crosses a threshold.
  • Multiposition controller: The controller has more than two discrete output positions (for example, multiple fixed valve positions), allowing a limited number of discrete control levels.

Two-position (On-Off) Controller - details

  • Also known as an on-off controller. The output usually switches between a minimum (0%) and a maximum (100%) value.
  • The output switches to the maximum value when the error exceeds a positive threshold; it switches to the minimum value when the error goes below a negative threshold.
  • If the threshold for switching on differs from the threshold for switching off, the controller exhibits hysteresis, which helps to prevent rapid cycling. The range between the switching thresholds is sometimes called the dead zone or dead band.
  • Mathematically, if m is controller output, e is error and m1,m2 are maximum and minimum outputs, a simplified description is:
    m = m1 (maximum) when e > +e_th
    m = m2 (minimum) when e < />
  • Typical applications: domestic heaters, thermostats, simple liquid-level control, household refrigerators, some lighting circuits, and many safety/interlock functions.
Two-position (On-Off) Controller - details

Continuous Controllers

In the continuous mode the controller output varies smoothly over a continuous range and is typically a continuous function of the error (or of the error and its derivatives/integrals). Continuous controllers are common where precision, stability and desirable transient characteristics are required.

  • Proportional (P) controller
  • Integral (I) controller
  • Derivative (D) controller

Proportional Controller

A proportional controller produces an output proportional to the current error. This is the simplest linear continuous controller.

  • If m(t) is the controller output and e(t) is the error signal, then
    m(t) = KP e(t) where KP is the proportional gain.
  • In the Laplace domain:
    M(s) = KP E(s) and therefore KP = M(s)/E(s).
  • The proportional action gives a control output for every non-zero error; however, with a pure P controller a steady-state (offset) error generally remains for many plant types - increasing KP reduces the steady error but may degrade stability or increase oscillations.
  • Practical controllers often include a small bias or setpoint feed term so that when e(t)=0 the controller output is not necessarily zero. This can be written as
    m(t) = KP e(t) + m0 where m0 is a constant offset.
  • Proportional action can be configured as direct action (output increases when input increases) or reverse action (output decreases when input increases) depending on the process requirement.

Integral Controller

An integral controller generates an output proportional to the integral (over time) of the error signal. Integral action eliminates steady-state error by accumulating past error until the error is driven to zero.

  • The ideal time-domain relation is
    m(t) = KI ∫₀ᵗ e(τ) dτ + m(0) where KI is the integral gain and m(0) is the controller output at t = 0.
  • The integral controller is slower to respond initially than a proportional controller because the output changes as the integral of the error. It continues to act until the steady error is removed.
  • Integral action is effective in removing steady-state offset but can introduce overshoot and slower transient response if not tuned properly.
Integral Controller

Derivative Controller

A derivative controller produces an output proportional to the rate of change of the error. It predicts the future trend of the error and acts to reduce the rate of change, improving transient response and damping.

  • Time-domain form for ideal derivative action:
    m(t) = KD d e(t) / d t where KD is the derivative gain.
  • In the Laplace domain:
    M(s) = KD s E(s) and therefore M(s) / E(s) = KD s.
  • Derivative action provides improved damping and faster corrective action when the error changes rapidly, thereby reducing overshoot and improving stability margins in many systems.
  • In practice, pure derivative action amplifies high-frequency noise on the measured signal, so derivative terms are implemented with filtering or as part of combined controllers rather than alone.
Derivative Controller

Combined Controllers

Practical control systems usually combine two or three of the basic actions to obtain desirable steady-state and transient behaviour. The common combinations are PI, PD and PID controllers.

Proportional-Integral (PI) Controller

  • A PI controller combines proportional and integral actions. It reduces steady-state error (because of the integral term) while maintaining a faster response provided by the proportional term.
  • Time-domain form:
    m(t) = KP e(t) + KI ∫₀ᵗ e(τ) dτ + m(0)
  • PI controllers are widely used where steady-state error must be eliminated but derivative action is not required - for example, in many flow, level and temperature control loops.
Proportional-Integral (PI) Controller

Proportional-Derivative (PD) Controller

  • A PD controller combines proportional and derivative actions. It improves transient response and stability while providing proportional control of the steady error; however, it does not remove steady-state error completely (no integral term).
  • Time-domain form:
    m(t) = KP e(t) + KD d e(t)/d t + m(0)
  • PD controllers are used where improved damping and faster response are needed but where integral action (which might slow transients) is undesirable.
Proportional-Derivative (PD) Controller

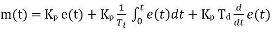
Proportional-Integral-Derivative (PID) Controller

  • A PID controller combines all three actions: proportional, integral and derivative. It is the most general linear controller used in industry and provides a balanced combination of good transient response, acceptable damping and zero steady-state error.
  • Standard time-domain expression:
    m(t) = KP e(t) + KI ∫₀ᵗ e(τ) dτ + KD d e(t) / d t + m(0)
  • In the Laplace domain the PID transfer function (controller output to error) is often written as:
    C(s) = KP + KI/s + KD s
  • PID controllers are highly flexible and are tuned to meet desired transient and steady-state performance. Common tuning methods include empirical techniques such as Ziegler-Nichols, Cohen-Coon and model-based tuning; the choice depends on the process dynamics and performance requirements.
  • Practical PID implementations include filters on the derivative term and anti-windup schemes on the integral term to avoid actuator saturation and large overshoots.
Proportional-Integral-Derivative (PID) Controller

Practical Considerations, Advantages and Limitations

  • Pure P control is simple and fast but usually leaves a steady-state error for many plants.
  • Adding I removes steady-state error but may slow response and cause overshoot if not tuned correctly.
  • Adding D improves transient response and reduces overshoot but amplifies measurement noise; derivative action is typically implemented with filtering.
  • On-off controllers are easy and inexpensive but not suitable for processes requiring continuous control or tight regulation; hysteresis is often used to avoid chattering.
  • Real controllers may be implemented as analogue circuits (op-amps), digital controllers (microcontrollers, PLCs), or as part of distributed control systems (DCS). Digital implementation allows advanced features such as adaptive tuning, anti-windup and input filtering.
  • Tuning a controller means selecting the gains (KP, KI, KD) and any filter/time constants to meet performance specifications such as rise time, settling time, overshoot and steady-state error.

Examples and Typical Applications

  • On-off: domestic thermostats, float switches for liquid level, simple safety interlocks.
  • PI: industrial temperature, flow and level control loops where zero steady-state error is required but derivative action is unnecessary.
  • PD: servo systems and position control where fast, well-damped response is important and steady-state error can be tolerated or is handled elsewhere.
  • PID: general purpose industrial loops (temperature, pressure, speed, position) where both accurate steady-state behaviour and satisfactory transient response are required.

Summary

Controllers convert measured errors into corrective actions. They may be discontinuous (on-off, multiposition) or continuous (P, I, D). Combining P, I and D actions yields PI, PD or PID controllers, which are the backbone of industrial control. Choice of controller and its tuning must balance steady-state accuracy, transient response and robustness to measurement noise and disturbance.

The document Types of Controllers - Control Systems - Electrical Engineering (EE) is a part of the Electrical Engineering (EE) Course Control Systems.
All you need of Electrical Engineering (EE) at this link: Electrical Engineering (EE)
53 videos|116 docs|40 tests

FAQs on Types of Controllers - Control Systems - Electrical Engineering (EE)

1. What are the main types of controllers in control systems?
Ans. The main types of controllers in control systems are Proportional (P), Integral (I), Derivative (D), and their combinations, which include Proportional-Integral (PI), Proportional-Derivative (PD), and Proportional-Integral-Derivative (PID) controllers. Each type serves a specific purpose in adjusting the output of a system based on error values.
2. How do Proportional controllers function?
Ans. Proportional controllers function by providing an output that is directly proportional to the error signal, which is the difference between a desired setpoint and the measured process variable. This helps to reduce the error but may not eliminate it completely, leading to a steady-state error.
3. What role do Integral controllers play in control systems?
Ans. Integral controllers play the role of eliminating the steady-state error that may persist with Proportional controllers. They achieve this by integrating the error over time, thus continuously adjusting the output until the error is reduced to zero, effectively improving long-term accuracy.
4. Can you explain the purpose of Derivative controllers?
Ans. Derivative controllers serve to predict the future behaviour of the error based on its rate of change. By reacting to the speed at which the error is changing, they help to dampen the system response, reducing overshoot and improving stability during dynamic changes.
5. What are Combined Controllers and why are they used?
Ans. Combined Controllers, such as PID controllers, integrate the features of Proportional, Integral, and Derivative controllers. They are used to provide a more comprehensive control strategy that addresses the limitations of individual controllers, allowing for improved performance in terms of stability, responsiveness, and steady-state error reduction.
Related Searches
Semester Notes, Free, Objective type Questions, practice quizzes, Sample Paper, Previous Year Questions with Solutions, Exam, Viva Questions, ppt, mock tests for examination, pdf , MCQs, shortcuts and tricks, video lectures, past year papers, Important questions, Types of Controllers - Control Systems - Electrical Engineering (EE), Types of Controllers - Control Systems - Electrical Engineering (EE), study material, Types of Controllers - Control Systems - Electrical Engineering (EE), Summary, Extra Questions;