UPSC Exam  >  UPSC Notes  >  Anthropology Optional for UPSC  >  Consanguineous & Non Consanguineous Mating

Consanguineous & Non Consanguineous Mating | Anthropology Optional for UPSC PDF Download

Consanguinity

Definition of Consanguineous Marriages

  • The term consanguineous is originated from the Latin word ‘consanguineous’ meaning ‘of the same blood’. It is defined as the biological relationship of individuals characterized by the sharing of common ancestors. Therefore, we can say that two individuals are consanguineous if they have at least one common ancestor. In simple words, consanguineous marriage is those marriages that take place between closely related individuals. We are all human beings to some extent, consanguineous as we are descended from a common ancestor. The consanguineous marriage is practiced in different societies at different degrees.
  • The custom of consanguineous marriages in India could be traced back to several centuries (Rao et al., 1975). In some societies, consanguineous marriages have been encouraged, for example, in Egyptians and Incas favoured unions of brothers and sisters of the reigning dynasty to maintain ‘royal blood’ in the family. In India, consanguineous marriages are practiced by different communities. However, reasons for practicing such marriages are varied from one community to the other. It is generally associated with the strengthening of family ties and socio-economic purposes. Moreover, it is also practiced to maintain the purity of blood in the royal family members.

Types of Consanguineous Marriages

  • Consanguineous marriages are of different types, which can be categorised based on biological relationships. Such relationships can be expressed in terms of degrees. Marriage between an individual with parents (mother or father) or with full sibs (brother or sister) is called first-degree relationship. Such type of biological relationship such as father with daughter, mother with son, and sister with brother is generally considered as incest taboo by most of the societies.
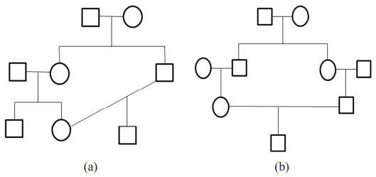
  • The biological relationship between an individual and his or her sib’s offspring is called second-degree relationship. It is represented by uncle-niece marriage (Figure a). Such a relationship could be in between brother with brother’s daughter, brother with sister’s daughter, sister with sister’s son, and sister with brother’s son. The other form of consanguineous marriage is between the first cousins, and it forms the third degree of biological relationship (Figure b). It is followed by different levels of relationships such as fourth degree (second cousin, Figure c), fifth-degree, and so on.
    Consanguineous & Non Consanguineous Mating | Anthropology Optional for UPSC

Consanguineous & Non Consanguineous Mating | Anthropology Optional for UPSC

In case of third-degree relationship i.e. first-cousin marriage, there are four possible types of marriages of a person such as to father’s brother’s daughter (FBD), to father’s sister’s daughter (FSD), to mother’s brother’s daughter (MBD) and to mother’s sister daughter (MSD). The FSD and MBD are called cross-cousin marriages whereas the FBD and MSD are known as parallel cousin marriages (Bittles, 2002).

Inbreeding

Definition

  • The term inbreeding is defined as the production of offspring as a result of a mating between closely related individuals. Closely related individuals are those individuals who are having common biological ancestors. Therefore, the progeny of consanguineous parents is, by definition, inbred. Inbreeding is the genetical outcome of consanguineous marriage. In most societies, marriage regulates mating pattern, and consanguineous marriage leads to inbreeding. Inbreeding increases the degree of homozygosity to the offspring and also the expression of recessive traits.

Inbreeding Coefficient

  • The genetic relationship of individuals can be measured or quantified by using standardized mathematical formulae. In general, the genetic relationships can be measured by two basic measures, such as the coefficient of relationship (r) and coefficient of inbreeding (F). The term ‘coefficient of relationship’ was introduced by Sewall Wright in 1922. It measures the degree of consanguinity between two individuals. In other words, it is the proportion of genes identical by descent, which is shared by two individuals. It is calculated by using the following formula:
    Consanguineous & Non Consanguineous Mating | Anthropology Optional for UPSC
  • Where n is the number of steps apart between two individuals through their common ancestor. For example, the coefficient of relationship (r) of two individuals (A and B) who are related as first cousins can be calculated as follows:
    Consanguineous & Non Consanguineous Mating | Anthropology Optional for UPSC
  • Since the total number of steps (n) from A to the other person B through their common ancestors is 4 as both A and B share two common grandparents.
    Consanguineous & Non Consanguineous Mating | Anthropology Optional for UPSC
  • The coefficient of inbreeding (F) is defined as the proportion of gene at which an individual of consanguineous mating is homozygous by descent. Generally, it is calculated by using the following formula:
    Consanguineous & Non Consanguineous Mating | Anthropology Optional for UPSC
  • Where ∑ is the sum of all paths in the relationships through common ancestor; n is the number of individuals in the relationship path connecting the parents of the individual; FA is the inbreeding coefficient of ancestors. Generally, the coefficient of inbreeding (F) is half of the coefficient of relationship (r). For example, the coefficient of relationship of incestuous relationship (such as in between father-daughter, mother-son, or brother-sister) shares half of their genetic materials (r=0.5).
  • Therefore, any siblings of such incestuous parents would be homozygous at 1/4 of gene loci (F=0.25). In the case of uncle-niece marriage, both the parents share 1/4 of their genetic components, and hence, the coefficient of relationship (r) is 0.25. On the other hand, the coefficient of inbreeding in their progeny will be half of the coefficient of relationship (r) i.e., F=0.125. Measure of relationship of individuals in terms of consanguinity that is coefficient of relationship and coefficient of inbreeding of different levels of degrees are shown in table.
    Relationship of individuals in terms of Consanguinity

    Consanguineous & Non Consanguineous Mating | Anthropology Optional for UPSC

Biological Consequences of Inbreeding

  • Inbreeding is associated with both favourable and unfavourable biological consequences. Studies have reported that consanguineous mating have reduced the rate of intrauterine mortality and also lowered the rates of incompatibility between the mother and foetus. Studies have also shown positive correlation between fertility and consanguineous mating. On the other hand, consanguineous mating also has many adverse health outcomes. Inbreeding has increased the rate of homogeneity among the population, which results in the expression of various deleterious recessive traits.
  • There are numerous examples of recessive traits expressed among the offspring of consanguineously married parents. Some of the common examples of recessive traits expressed among the newborn babies of consanguineous parents are hydrocephalus, albinism, six fingered dwarfism, tay-sachs, alkaptonuria, cleft lip, and cystic fibrosis. The burden of genetic disorders increase particularly among those societies where consanguineous marriages are culturally accepted. In general, it is a consensus that the progeny of consanguineous parents has a higher rate of postnatal mortality and morbidity. Different studies have also demonstrated a significant positive association between consanguinity and early mortality (Fareed et al.,2017).
  • Inbred offspring have a higher chance of carrying double dose of a gene inherited from the consanguineously married couple. Carrying of such double dose increases the frequency of recessive trait, which required two copies of allele to express, in the population. Closely related individuals have a higher chance of carrying the same allele than less closely related individuals. Consanguineous children are more frequently homozygous for various alleles than the children of non-consanguineous parents. Children of consanguineously married parents experience several genetic disorders. Consanguinity has social significance in some of the population. However, it has some side effects on the individual as particular and the population as a whole from genetic points of view.

Theoretical Consequences

Short-term and Long-Term effects

  • Effects of inbreeding in a population as a result of continuous practice of consanguineous marriages can be of short term effect, or it can be long term effect. In the short-term effect, inbreeding increases frequency of homozygosity in the population, and simultaneously, decreases in heterozygosity. Presence of homozygous genotypes enables the expression of recessive traits that were dominated by the dominant allele. Expression of such recessive traits, if deleterious in character, then inbreeding will result in decreasing fitness level.
  • Moreover, inbreeding will also increase in both genetic and phenotypic variability within a population. However, the frequency of recessive homozygous trait will be decreased when the above population continued to practice consanguineous marriage over a period of generations at a constant rate. For example, if the homozygous genotype is deleterious then it will cause premature death before attaining reproductive age. Therefore, the expression of deleterious traits might be lost from the population due to the process of selection. Hence, continuous inbreeding in a population over a long period of generations reduces the frequency of deleterious alleles as a result of long-term effects.

Genetic load

  • Genetic load is defined as the measure of the extent to which the average fitness of a population is decreased. In other words, genetic load measures the rate of damage caused by the presence of certain deleterious genes in the population. According to Crow (1958), genetic load is the relative decrease in the average fitness of a population if all individuals in that population had the genotype that has the maximum fitness. It also measures the total number of disadvantageous genes present in a particular population. The genetic load may be caused by different factors that are based on the types of load that decrease the average fitness of the population.
  • Some of the important types of load includes mutational load (caused by the presence of deleterious mutation in the population); segregation load (caused by the segregation of homozygotes over the heterozygote); recombination load (caused by breakup of favourable gene through recombination); drift load (it is caused by increasing unfavourable allele frequency in small population); and migration load (caused by adaptation to new environment by immigrants).
  • The deleterious or disadvantage gene reduces the fitness level of the population by causing morbidity, mortality, and sterility. It could happen in two ways, such as may be in heterozygote condition (when the deleterious gene is dominant in character) and in homozygous condition (when the deleterious gene is recessive in character).

Studies on Inbreeding Effects in India

  • In India, various studies have been conducted to understand the effects of inbreeding on consanguineous offspring. Studies have reported that there is a significant decrease in anthropometric variables (birth weight, length, head circumference) and gestational period of newborn babies of the consanguineously married couple than non-consanguineous union (Badruddoza, 1998). The mean birth weight, length, head circumference, and gestational period of the babies born to consanguineous couples were significantly lower than nonconsanguineous offspring.
  • Congenital birth defects have also been diagnosed among the inbred offspring. Inbreeding increases the mortality rate and serious congenital disabilities, particularly among the incestuous progeny. In most of the consanguineous marriages, the women were reported to be very young and hence become mothers at a very young age group. It results in gynaecological immaturity and affected both mother and children. Inbreeding may also lead to decline in reproductive and survival rates as a result of increase in expression of rare homozygous recessive traits.
  • Such a condition is known as inbreeding depression. It is also evident that there is increase in numbers of miscarriages or stillbirths among inbred mothers (Bittles, 2001). Studies have also reported that postnatal mortality and infant mortality (early first year) is common among the offspring of consanguineously married couples than the mortality in nonconsanguineous union (Hussain et al. 2001). It could be possibly due to the expression of deleterious recessive genetic traits. Moreover, the infant mortality rate is reported to be highest among the consanguineous offspring, particularly in developing countries.
  • Cognitive impairment is another typical example of child morbidity among the consanguineous offspring (Fareed and Afzal, 2014). Moreover, such consanguineous children are also found to have low IQ levels, and intellectual and development disability (IDDs) while comparing with non-consanguineous children (Durkin et al., 1998). Some of the effects and autosomal recessive disorders commonly observed among the consanguineous offspring are shown in the following table.
    Table: Studies on biological consequences of Inbreeding in India
    Consanguineous & Non Consanguineous Mating | Anthropology Optional for UPSCConsanguineous & Non Consanguineous Mating | Anthropology Optional for UPSCConsanguineous & Non Consanguineous Mating | Anthropology Optional for UPSCConsanguineous & Non Consanguineous Mating | Anthropology Optional for UPSC
  • Sometimes, it is difficult to understand the influence of inbreeding on fertility and mortality since they are also dependent on non-genetic factors, such as maternal age and birth interval. There are several non-genetic variables that influence it. The prevalence rates of genetic disorders among the progeny of consanguineous parents in India are
    unrepresentative of the actual affected cases because there is paucity of state-level data for all the types of genetic disorders, particularly from rural populations
  •  Moreover, there is paucity of literature on the possible effect of consanguinity on adult-onset of diseases in India. There are some preliminary literature reporting increased risk of breast cancer and premature coronary heart diseases are more prevalent among the inbred adults. In brief, inbreeding has become one of the strong predictors of the onset of different genetic disorders in both infant and adult populations.
The document Consanguineous & Non Consanguineous Mating | Anthropology Optional for UPSC is a part of the UPSC Course Anthropology Optional for UPSC.
All you need of UPSC at this link: UPSC
209 videos|299 docs
Related Searches

Free

,

study material

,

Previous Year Questions with Solutions

,

Objective type Questions

,

Semester Notes

,

past year papers

,

Important questions

,

Consanguineous & Non Consanguineous Mating | Anthropology Optional for UPSC

,

Consanguineous & Non Consanguineous Mating | Anthropology Optional for UPSC

,

practice quizzes

,

Extra Questions

,

pdf

,

Viva Questions

,

Summary

,

MCQs

,

shortcuts and tricks

,

video lectures

,

Consanguineous & Non Consanguineous Mating | Anthropology Optional for UPSC

,

ppt

,

Sample Paper

,

Exam

,

mock tests for examination

;