CTET & State TET Exam  >  CTET & State TET Notes  >  NCERT Textbooks in Hindi (Class 6 to Class 12)  >  NCERT Solutions: समतल में गति (Motion in a Plane)

समतल में गति (Motion in a Plane) NCERT Solutions | NCERT Textbooks in Hindi (Class 6 to Class 12) - CTET & State TET PDF Download

अभ्यास

प्रश्न.1. निम्नलिखित भौतिक राशियों में से बताइए कि कौन-सी सदिश हैं और कौन-सी अदिश:
आयतन, द्रव्यमान, चाल, त्वरण, घनत्व, मोल संख्या, वेग, कोणीय आवृत्ति, विस्थापन, कोणीय वेग।

  • सदिश राशियाँ: त्वरण, वेग, विस्थापन तथा कोणीय वेग।
  • अदिश राशियाँ: आयतन, द्रव्यमान, चाल, घनत्व, मोल-संख्या तथा कोणीय आवृत्ति।


प्रश्न.2. निम्नांकित सूची में से दो अदिश राशियों को छाँटिए
बल, कोणीय संवेग, कार्य, धारा, रैखिक संवेग, विद्युत क्षेत्र, औसत वेग, चुम्बकीय आघूर्ण, आपेक्षिक वेग।

दो अदिश राशियाँ कार्य तथा धारा हैं।


प्रश्न.3. निम्नलिखित सूची में से एकमात्र सदिश राशि को छाँटिए
ताप, दाब, आवेग, समय, शक्ति, पूरी पथ-लम्बाई, ऊर्जा, गुरुत्वीय विभव, घर्षण गुणांक, आवेश।

दी गई राशियों में एकमात्र सदिश राशि आवेग है।


प्रश्न.4. कारण सहित बताइए कि अदिश तथा सदिश राशियों के साथ क्या निम्नलिखित बीजगणितीय संक्रियाएँ अर्थपूर्ण हैं
(a) दो अदिशों को जोड़ना,
(b) एक ही विमाओं के एक सदिश व एक अदिश को जोड़ना,
(c) एक सदिश को एक अदिश से गुणा करना,
(d) दो अदिशों का गुणन,
(e) दो सदिशों को जोड़ना,
(f) एक सदिश के घटक को उसी सदिश से जोड़ना?

(a) नहीं, दो अदिशों को जोड़ना केवल तभी अर्थपूर्ण हो सकता है, जबकि दोनों एक ही भौतिक राशि को प्रदर्शित करते हों।
(b) नहीं, सदिश को केवल सदिश के साथ तैथा अदिश को केवल अदिश के साथ ही जोड़ा जा सकता है।
(c) अर्थपूर्ण है, एक सदिश को एक अदिश से गुणा करने पर एक नया सदिश प्राप्त होता है, जिसका परिमाण सदिश व अदिश के परिमाण के गुणन के बराबर होता है तथा दिशा अपरिवर्तित रहती है।
(d) अर्थपूर्ण है, दो अदिशों के गुणन से प्राप्त नए अदिश का परिमाण दिए गए अदिशों के परिमाण के । गुणन के बराबर होता है।
(e) नहीं, केवल तभी अर्थपूर्ण होगा जबकि दोनों एक ही भौतिक राशि को प्रदर्शित करते हों।
(f) चूँकि किसी सदिश का घटक एक सदिश होता है जो मूल सदिश के समान भौतिक राशि को निरूपित करता है (जैसे-बल का घटक भी एक बल ही होता है); अत: दोनों को जोड़ना अर्थपूर्ण है।


प्रश्न.5. निम्नलिखित में से प्रत्येक कथन को ध्यानपूर्वक पढिए और कारण सहित बताइए कि यह सत्य है या असत्य
(a) किसी सदिश का परिमाण सदैव एक अदिश होता है।
(b) किसी सदिश का प्रत्येक घटक सदैव अदिश होता है।
(c) किसी कण द्वारा चली गई पथ की कुल लम्बाई सदैव विस्थापन सदिश के परिमाण के बराबर होती है।
(d) किसी कण की औसत चाल (पथ तय करने में लगे समय द्वारा विभाजित कुल पथ-लम्बाई) समय के समान-अन्तराल में कण के औसत वेग के परिमाण से अधिक या उसके बराबर होती है।
(e) उन तीन सदिशों का योग जो एक समतल में नहीं हैं, कभी भी शून्य सदिश नहीं होता।

(a) सत्य, किसी भी भौतिक राशि का परिमाण एक धनात्मक संख्या है, जिसमें दिशा नहीं होती; अतः यह एक अदिश राशि है।
(b) असत्य, किसी सदिश का प्रत्येक घटक एक सदिश राशि होता है।
(c) असत्य, उदाहरण के लिए यदि कोई व्यक्ति R त्रिज्या के वृत्त की परिधि पर चलते हुए एक चक्कर पूर्ण करता है तो उसके द्वारा तय किए गए पथ की लम्बाई 2π R होगी जबकि विस्थापन का परिमाण शून्य होगा।
(d) सत्य, क्योंकि औसत चाल पूर्ण पथ की लम्बाई पर तथा औसत वेग कुल विस्थापन पर निर्भर करता है। जबकि पूर्ण पथ की लम्बाई सदैव ही विस्थापन के परिमाण से अधिक अथवा बराबर होती है।
(e) सत्य, शून्य सदिश प्राप्त करने के लिए तीसरा सदिश पहले दो सदिशों के परिणामी के विपरीत दिशा में तथा परिमाण में उसके बराबर होना चाहिए। यह इस दशा में सम्भव नहीं है, चूँकि तीनों सदिश एक समतल में नहीं हैं।


प्रश्न.6. निम्नलिखित असमिकाओं की ज्यामिति या किसी अन्य विधि द्वारा स्थापना कीजिए
समतल में गति (Motion in a Plane) NCERT Solutions | NCERT Textbooks in Hindi (Class 6 to Class 12) - CTET & State TET
इनमें समिका (समता) का चिन्ह कब लागू होता है?

समतल में गति (Motion in a Plane) NCERT Solutions | NCERT Textbooks in Hindi (Class 6 to Class 12) - CTET & State TET 
समतल में गति (Motion in a Plane) NCERT Solutions | NCERT Textbooks in Hindi (Class 6 to Class 12) - CTET & State TET 


प्रश्न.7.  दिया है a + b + c + d = 0, नीचे दिए गए कथनों में से कौन-सा सही है:
(a) a, b, c तथा d में से प्रत्येक शून्य सदिश है।
(b) (a + c) का परिमाण (b + d) के परिमाण के बराबर है।
(c) a का परिमाण b, c तथा d के परिमाणों के योग से कभी-भी अधिक नहीं हो सकता।
(d) यदि  a तथा  d  संरेखीय नहीं हैं तो b + c अवश्य ही a तथा  d के समतल में होगा और यह a तथा  d के अनुदिश होगा यदि वे संरेखीय हैं।

(a) यह कथन गलत है।
स्पष्टीकरण: a, b, c तथा d का योग शून्य है, जिससे यह परिणाम प्राप्त नहीं होता है कि प्रत्येक शून्य सदिश है।
(b) यह कथन सही है।
(c) यह कथन सत्य है।
स्पष्टीकरण: a का परिमाण b, c तथा d के परिमाणों के योग से कभी-भी अधिक नहीं हो सकता।
∴ a + b + c + d = 0
∴ |a| = |b + c + d|
परन्तु |b + c + d| ≤ |b| + |c| + |d|
∴ |a| ≤ |b| + |c| + |d|
(d) यह कथन सत्य है।
स्पष्टीकरण:
∴ a + b + c + d = 0
∴ a + c = (b + d)
∴ b + d = (a + c)
यदि a + d संरेखीय नहीं हैं तो a + d, a  व d के समतल में होगा; अत:  
∴ b + d  = -(a + d) भी  a+ d के समतल में होगा। यदि a व d संरेखीय है तो - (a + d) भी a व d के साथ संरेखीय होगा; अतः b + c भी a व d अतः b + c के अनुदिश होगा।


प्रश्न.8. तीन लड़कियाँ 200 in त्रिज्या वाली वृत्तीय बर्फीली सतह पर स्केटिंग कर रही हैं। वे सतह के किनारे के बिन्दु P से स्केटिंग शुरू करती हैं तथा P के व्यासीय विपरीत बिन्दु Q पर विभिन्न पथों से होकर पहुँचती हैं, जैसा कि संलग्न चित्र 4.20 में दिखाया गया है। प्रत्येक लड़की के विस्थापन सदिश का परिमाण कितना है? किस लड़की के लिए यह वास्तव में स्केट किए गए पथ की लम्बाई के बराबर है?
समतल में गति (Motion in a Plane) NCERT Solutions | NCERT Textbooks in Hindi (Class 6 to Class 12) - CTET & State TET

दिया है: वृत्तीय पथ की त्रिज्या (R) = 200 m

∵ प्रत्येक लड़की का विस्थापन सदिश =  = समतल में गति (Motion in a Plane) NCERT Solutions | NCERT Textbooks in Hindi (Class 6 to Class 12) - CTET & State TET

∴ विस्थापन सदिश का परिमाण = व्यास PQ की लम्बाई

= 2R = 2 x 200m

= 400 m

∵ लड़की B द्वारा तय पथ (PQ) की लम्बाई = 2R = 400m

∴ लड़की B के लिए विस्थापन संदिश का परिमाण वास्तव में स्केट चित्र 4.20 किए गए पथ की लम्बाई के बराबर है।


प्रश्न.9. कोई साइकिल सवार किसी वृत्तीय पार्क के केन्द्र से चलना शुरू करता है तथा पार्क के किनारे P पर पहुँचता है। पुनः वह पार्क की परिधि के अनुदिश साइकिल चलाता हुआ QO के रास्ते (जैसा कि चित्र 4.21 में दिखाया गया है) केन्द्र पर वापस आ जाता है। पार्क की त्रिज्या 1 km है। यदि पूरे चक्कर में 10 मिनट लगते हों तो साइकिल सवार का (a) कुल विस्थापन, (b) औसत वेग तथा (c) औसत चाल क्या होगी?
समतल में गति (Motion in a Plane) NCERT Solutions | NCERT Textbooks in Hindi (Class 6 to Class 12) - CTET & State TET

(a) दिया है : वृत्तीय पार्क की त्रिज्या = 1km

चूंकि साइकिल सवार केन्द्र० से चलकर पुनः केन्द्र0 पर ही पहुँच जाता है, अतः कुल विस्थापन = 0

समतल में गति (Motion in a Plane) NCERT Solutions | NCERT Textbooks in Hindi (Class 6 to Class 12) - CTET & State TET


प्रश्न.10. किसी खुले मैदान में कोई मोटर चालक एक ऐसा रास्ता अपनाता है जो प्रत्येक 500m के बाद उसके बाईं ओर 60° के कोण पर मुड़ जाता है। किसी दिए मोड़ से शुरू होकर मोटर चालक का तीसरे, छठे व आठवें मोड़ पर विस्थापन बताइए। प्रत्येक स्थिति में मोटर चालक द्वारा इन मोड़ों पर तय की गई कुल पध-लम्बाई के साथ विस्थापन के परिमाण की तुलना कीजिए।

मोटर चालक द्वारा अपनाया गया मार्ग एक समषट्भुज ABCDEF आकार का होगा।

(a) माना कि मोटर चालक शीर्ष A से चलना प्रारम्भ करता है।

तो वह शीर्ष D पर तीसरा मोड़ लेगा। प्रश्नानुसार,

AB = BC = CD = DE = EF = FA = 500 m

∴ तीसरे मोड़ पर विस्थापन ,

= AD = 2x AB (समषट्भुज के गुण से)

= 2 x 500 m = 1000 m = 1km

जबकि कुल पथ की लम्बाई

= AB + BC + CD

= (500 + 500 + 500) m

= 1500 m = 1.5 km

∴ विस्थापन : पथ-लम्बाई = 1 km : 1.5 km = 2 : 3

समतल में गति (Motion in a Plane) NCERT Solutions | NCERT Textbooks in Hindi (Class 6 to Class 12) - CTET & State TET

(b) मोटर चालक छठा मोड़ शीर्ष A पर लेगा अर्थात् इस क्षण मोटर चालक अपने प्रारम्भिक बिन्दु पर पहुँच चुका होगा।

∴ विस्थापन = शून्य।

जबकि कुल पथ-लम्बाई = AB + BC + CD + DE. + EF + FA

= 6 x AB = 6 x 500m

= 3000 m = 3 km

विस्थापन : पथ-लम्बाई = 0 : 3km = 0

(c) मोटर चालक आठवाँ मोड़ शीर्ष C पर लेगा।

समतल में गति (Motion in a Plane) NCERT Solutions | NCERT Textbooks in Hindi (Class 6 to Class 12) - CTET & State TET


प्रश्न.11. कोई यात्री किसी नए शहर में आया है और वह स्टेशन से किसी सीधी सड़क पर स्थित किसी होटल तक जो 10 km दूर है, जाना चाहता है। कोई बेईमान टैक्सी चालक 23 km के चक्करदार रास्ते से उसे ले जाता है और 28 min में होटल में पहुँचता है।
(a) टैक्सी की औसत चाल, और
(b) औसत वेग का परिमाण क्या होगा? क्या वे बराबर हैं।

दिया है: टैक्सी द्वारा तय कुल दूरी = 23 km,

लगा समय = 28 min

टैक्सी का विस्थापन = स्टेशन से होटल तक सरल रेखीय दूरी

= 10km

समतल में गति (Motion in a Plane) NCERT Solutions | NCERT Textbooks in Hindi (Class 6 to Class 12) - CTET & State TET


प्रश्न.12. वर्षा का पानी 30 ms-1 की चाल से ऊर्ध्वाधर नीचे गिर रहा है। कोई महिला उत्तर सेदक्षिण की ओर 10 ms-1 की चाल से साइकिल चला रही है। उसे अपना छाता किस दिशा में रखना चाहिए?

समतल में गति (Motion in a Plane) NCERT Solutions | NCERT Textbooks in Hindi (Class 6 to Class 12) - CTET & State TET

समतल में गति (Motion in a Plane) NCERT Solutions | NCERT Textbooks in Hindi (Class 6 to Class 12) - CTET & State TET


प्रश्न.13. कोई व्यक्ति स्थिर जल में 4.0 km/h की चाल से तैर सकता है। उसे 1.0 km चौड़ी नदी को पार करने में कितना समय लगेगा? यदि नदी 3.0 km/h की स्थिर चाल से बह रही हो और वह नदी के बहाव के लम्ब तैर रहा हो। जब वह नदी के दूसरे किनारे पहुँचता है तो वह नदी के बहाव की ओर कितनी दूर पहुँचेगा?

∵ तैराक नदी के लम्ब दिशा में तैर रहा है; अतः तैराक का अपना वेग नदी के लम्ब दिशा में कार्य करेगा जब इस दिशा में नदी के अपने वेग का कोई प्रभाव नहीं होगा।

अतः नदी के लम्ब दिशा में नेट वेग = तैराक का अपना वेग

समतल में गति (Motion in a Plane) NCERT Solutions | NCERT Textbooks in Hindi (Class 6 to Class 12) - CTET & State TET

समतल में गति (Motion in a Plane) NCERT Solutions | NCERT Textbooks in Hindi (Class 6 to Class 12) - CTET & State TET


प्रश्न.14. किसी बन्दरगाह में 72 km/h की चाल से हवा चल रही है और बन्दरगाह में खड़ी किसी नौका के ऊपर लगा झण्डा N-E दिशा में लहरा रहा है। यदि वह नौका उत्तर की ओर 51 km/h की चाल से गति करना प्रारम्भ कर दे तो नौको पर लगा झण्डा किस दिशा में लहराएगा?

समतल में गति (Motion in a Plane) NCERT Solutions | NCERT Textbooks in Hindi (Class 6 to Class 12) - CTET & State TET

समतल में गति (Motion in a Plane) NCERT Solutions | NCERT Textbooks in Hindi (Class 6 to Class 12) - CTET & State TET


प्रश्न.15. किसी लम्बे हॉल की छत 25 m ऊँची है। वह अधिकतम क्षैतिज दूरी कितनी होगी जिसमें 40 ms-1 की चाल से फेंकी गई कोई गेंद छत से टकराए बिना गुजर जाए?

यहाँ प्रक्षेप्य वेग u = 40 मी/से, महत्तम ऊँचाई HM = 25 मी

समतल में गति (Motion in a Plane) NCERT Solutions | NCERT Textbooks in Hindi (Class 6 to Class 12) - CTET & State TET



प्रश्न.16. क्रिकेट का कोई खिलाड़ी किसी गेंद को 100 m की अधिकतम क्षैतिज दूरी तक फेंक सकता है। वह खिलाड़ी उसी गेंद को जमीन से ऊपर कितनी ऊँचाई तक फेंक सकता है?

यहाँ अधिकतम क्षैतिज परास Rmax = 100 मी

समतल में गति (Motion in a Plane) NCERT Solutions | NCERT Textbooks in Hindi (Class 6 to Class 12) - CTET & State TET

समतल में गति (Motion in a Plane) NCERT Solutions | NCERT Textbooks in Hindi (Class 6 to Class 12) - CTET & State TET


प्रश्न.17. 80 cm लम्बे धागे के एक सिरे पर एक पत्थर बाँधा गया है और इसे किसी एकसमान चाल के साथ किसी क्षैतिज वृत्त में घुमाया जाता है। यदि पत्थर 25 s में 14 चक्कर लगाता है तो पत्थर के त्वरण का परिमाण और उसकी दिशा क्या होगी?

पत्थर द्वारा अपनाए गए वृत्तीय मार्ग की त्रिज्या R = 80 cm = 0.8 m

समतल में गति (Motion in a Plane) NCERT Solutions | NCERT Textbooks in Hindi (Class 6 to Class 12) - CTET & State TET


प्रश्न.18. कोई वायुयान 900 kmh-1 की एकसमान चाल से उड़ रहा है और 1.00 km त्रिज्या का कोई क्षैतिज लूप बनाता है। इसके अभिकेन्द्र त्वरण की गुरुत्वीय त्वरण के साथ तुलना कीजिए।

समतल में गति (Motion in a Plane) NCERT Solutions | NCERT Textbooks in Hindi (Class 6 to Class 12) - CTET & State TET 


प्रश्न.19. नीचे दिए गए कथनों को ध्यानपूर्वक पढिए और कारण सहित बताइए कि वे सत्य हैं या असत्य
(a) वृत्तीय गति में किसी कण का नेट त्वरण हमेशा वृत्त की त्रिज्या के अनुदिश केन्द्र की ओर होता है।
(b) किसी बिन्दु पर किसी कण का वेग सदिश सदैव उस बिन्दु पर कण के पथ की स्पर्श रेखा के अनुदिश होता है।
(c) किसी कण को एकसमान वृत्तीय गति में एक चक्र में लिया गया औसत त्वरण सदिश एक शून्य सदिश होता है।

(a) असत्य है क्योंकि यह कथन केवल एकसमान वृत्तीय गति के लिए सत्य है।
(b) सत्य है क्योंकि यदि कण की गति में त्वरण, वेग के अनुदिश है तो कण सरल रेखीय पथ पर गति करता है और यदि गति में त्वरण किसी अन्य दिशा में है तो कण वक्र पथ पर गति करता है तथा वेग की दिशा पथ के स्पर्श रेखीय रहती है।
(c) सत्य है क्योंकि एक अर्द्धचक्र में त्वरण; दूसरे अर्द्धचक्र में त्वरण के ठीक बराबर व विपरीत होता है।


प्रश्न.20. किसी कण की स्थिति सदिश निम्नलिखित है
समतल में गति (Motion in a Plane) NCERT Solutions | NCERT Textbooks in Hindi (Class 6 to Class 12) - CTET & State TET

समय t सेकण्ड में है तथा सभी गुणकों के मात्रक इस प्रकार से हैं कि  r में मीटर में व्यक्त हो जाए।
(a) कण का v  तथा a निकालिए,
(b) t = 2.0s पर कण के वेग का परिमाण तथा दिशा कितनी होगी?

समतल में गति (Motion in a Plane) NCERT Solutions | NCERT Textbooks in Hindi (Class 6 to Class 12) - CTET & State TET 


प्रश्न 21. कोई कण t = 0 क्षण पर मूलबिन्दु से समतल में गति (Motion in a Plane) NCERT Solutions | NCERT Textbooks in Hindi (Class 6 to Class 12) - CTET & State TET के वेग से चलना प्रारम्भ करता है तथा x-y समतल में एकसमान त्वरण समतल में गति (Motion in a Plane) NCERT Solutions | NCERT Textbooks in Hindi (Class 6 to Class 12) - CTET & State TET से गति करता है।
(a) किस क्षण कण का x-निर्देशांक 16 m होगा? इसी समय इसका y-निर्देशांक कितना होगा?
(b) इसी क्षण किसी कण की चाल कितनी होगी?

समतल में गति (Motion in a Plane) NCERT Solutions | NCERT Textbooks in Hindi (Class 6 to Class 12) - CTET & State TET 


प्रश्न.22.समतल में गति (Motion in a Plane) NCERT Solutions | NCERT Textbooks in Hindi (Class 6 to Class 12) - CTET & State TET क्रमशः x-व y-अक्षों के अनुदिश एकांक सदिश हैं। सदिशों समतल में गति (Motion in a Plane) NCERT Solutions | NCERT Textbooks in Hindi (Class 6 to Class 12) - CTET & State TETका परिमाण तथा दिशा क्या होगा? सदिश समतल में गति (Motion in a Plane) NCERT Solutions | NCERT Textbooks in Hindi (Class 6 to Class 12) - CTET & State TET व समतल में गति (Motion in a Plane) NCERT Solutions | NCERT Textbooks in Hindi (Class 6 to Class 12) - CTET & State TET की दिशाओं के अनुदिश घटक निकालिए (आप ग्राफी विधि का उपयोग कर सकते हैं)।

समतल में गति (Motion in a Plane) NCERT Solutions | NCERT Textbooks in Hindi (Class 6 to Class 12) - CTET & State TETतथा समतल में गति (Motion in a Plane) NCERT Solutions | NCERT Textbooks in Hindi (Class 6 to Class 12) - CTET & State TETपरस्पर लम्ब एकांक सदिश हैं; अर्थात् इनके बीच का कोण θ = 90° है।

समतल में गति (Motion in a Plane) NCERT Solutions | NCERT Textbooks in Hindi (Class 6 to Class 12) - CTET & State TET

समतल में गति (Motion in a Plane) NCERT Solutions | NCERT Textbooks in Hindi (Class 6 to Class 12) - CTET & State TET


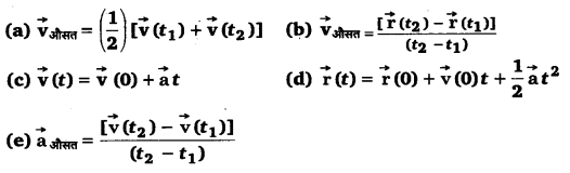
प्रश्न.23. किसी दिकस्थान पर एक स्वेच्छ गति के लिए निम्नलिखित सम्बन्धों में से कौन-सा सत्य है?
समतल में गति (Motion in a Plane) NCERT Solutions | NCERT Textbooks in Hindi (Class 6 to Class 12) - CTET & State TET
यहाँ औसत की आशय समयान्तराल tव t1 से सम्बन्धित भौतिक राशि के औसत मेन से है।

(a) असत्य,
(b) सत्य,
(c) असत्य,
(d) असत्य,
(e) सत्य।


प्रश्न.24. निम्नलिखित में से प्रत्येक कथन को ध्यानपूर्वक पढिए तथा कारण एवं उदाहरण सहित बताइए कि क्या यह सत्य है या असत्य:
अदिश वह राशि है जो
(a) किसी प्रक्रिया में संरक्षित रहती है,
(b) कभी ऋणात्मक नहीं होती,
(c) विमाहीन होती है,
(d) किसी स्थान पर एक बिन्दु से दूसरे बिन्दु के बीच नहीं बदलती,
(e) उन सभी दर्शकों के लिए एक ही मान रखती है चाहे अक्षों से उनके अभिविन्यास भिन्न-भिन्न क्यों न हों?

(a) असत्य है, क्योंकि किसी अदिश का किसी प्रक्रिया में संरक्षित रहना आवश्यक नहीं है। उदाहरण के लिए, ऊपर की ओर फेंके गए पिण्ड की गतिज ऊर्जा (अदिश राशि) पूरी यात्रा में बदलती रहती है।
(b) असत्य है, क्योंकि अदिश राशि ऋणात्मक, शून्य या धनात्मक कुछ भी मान ग्रहण कर सकती है; जैसे किसी वस्तु का ताप एक अदिश राशि है, जो धनात्मक, शून्य या ऋणात्मक कुछ भी हो सकता है।
(c) असत्य है, उदाहरण के लिए, किसी वस्तु का द्रव्यमान अदिश राशि है परन्तु इसकी विमा (M1) है।
(d) असत्य है, उदाहरण के लिए ताप एक अदिश राशि है, किसी छड़ में ऊष्मा के एकविमीय प्रवाह में, प्रवाह की दिशा में ताप बदलता जाता है।
(e) सत्य है, क्योंकि अदिश राशि में दिशा नहीं होती; अतः यह प्रत्येक विन्यास में स्थित दर्शक के लिए समान मान रखती है। उदाहरण के लिए, किसी वस्तु के द्रव्यमान का मान प्रत्येक दर्शक के लिए समान होगा।


प्रश्न.25. कोई वायुयान पृथ्वी से 3400 m की ऊँचाई पर उड़ रहा है। यदि पृथ्वी पर किसी अवलोकन बिन्दु पर वायुयान की 10.0 s की दूरी की स्थितियाँ 30° का कोण बनाती हैं तो वायुयान की चाल क्या होगी?

माना 10s के अन्तराल पर वायुयान की दो स्थितियाँ क्रमशः P तथा Q हैं जबकि 0 प्रेक्षण बिन्दु है।

समतल में गति (Motion in a Plane) NCERT Solutions | NCERT Textbooks in Hindi (Class 6 to Class 12) - CTET & State TET

The document समतल में गति (Motion in a Plane) NCERT Solutions | NCERT Textbooks in Hindi (Class 6 to Class 12) - CTET & State TET is a part of the CTET & State TET Course NCERT Textbooks in Hindi (Class 6 to Class 12).
All you need of CTET & State TET at this link: CTET & State TET
967 docs|393 tests
Related Searches

Free

,

Important questions

,

Viva Questions

,

MCQs

,

ppt

,

Semester Notes

,

practice quizzes

,

समतल में गति (Motion in a Plane) NCERT Solutions | NCERT Textbooks in Hindi (Class 6 to Class 12) - CTET & State TET

,

pdf

,

समतल में गति (Motion in a Plane) NCERT Solutions | NCERT Textbooks in Hindi (Class 6 to Class 12) - CTET & State TET

,

Extra Questions

,

video lectures

,

Exam

,

Previous Year Questions with Solutions

,

past year papers

,

study material

,

Sample Paper

,

समतल में गति (Motion in a Plane) NCERT Solutions | NCERT Textbooks in Hindi (Class 6 to Class 12) - CTET & State TET

,

mock tests for examination

,

shortcuts and tricks

,

Summary

,

Objective type Questions

;