Short Answers
Q.1. When we place a gas cylinder on a van and the van moves, does the kinetic energy of the molecules increase? Does the temperature increase?
No, kinetic energy of the molecules does not increase. This is because velocity of the molecules does not increase with respect to the walls of the gas cylinder, when the cylinder is kept in a vehicle moving with a uniform motion. However, if the vehicle is accelerated or decelerated, then there will be a change in the gas's kinetic energy and there will be a rise in the temperature.
Q.2. While gas from a cooking gas cylinder is used, the pressure does not fall appreciably till the last few minutes. Why?
Inside a cooking gas cylinder, the gas is kept in the liquid state using high pressure. Boiling point of a liquid depends on the pressure above its surface. Higher the pressure above the liquid, higher will be its boiling point.
When the gas oven is switched on, the vapour pressure inside the cylinder decreases. To compensate this fall in pressure, more liquid undergoes phase transition (vapourisation) to build up the earlier pressure. In this way, more and more gas evaporates from the liquified state at constant pressure.
Q.3. Do you expect the gas in a cooking gas cylinder to obey the ideal gas equation?
No, the gas won't obey ideal gas equation due to the following reasons:
1. In a cooking gas cylinder, the gas is kept at high pressure and at room temperature. Real gases behave ideally only at low pressure and high temperature.
2. Cooking gas is kept in liquid state inside the cylinder becaue liquid state does not obey the ideal gas equation.
Q.4. Can we define the temperature of (a) vacuum, (b) a single molecule?
(a) Temperature is defined as the average kinetic energy of he partciles. In a vacuum, devoid of any electromagnetic fields and molecules or entities, the temperature cannot be defined as there are no molecules or atoms or entities.
(b) No, we cannot define temperature of a single molecule. Since temperature is defined as the average kinetic energy of the particles, it is defined only statistically for a large collection of molecules.
Q.5. Comment on the following statement: the temperature of all the molecules in a sample of a gas is the same.
Yes, at equilibrium all the molecules in a sample of gas have the same temperature. This is because temperature is defined as the average kinetic energy for all the molecules in a system. Since all the molecules have the same average, temperature will be the same for all the molecules.
Q.6. Consider a gas of neutrons. Do you expect it to behave much better as an ideal gas as compared to hydrogen gas at the same pressure and temperature?
Yes, according to the postulates of kinetic theory, a gas of neutrons will be a better ideal gas than hydrogen. The reasons are given below:
1. As per the Kinetic theory, neutrons do not interact with each othe. Molecules of an ideal gas should also not interact with each other. On the other hand, hydrogen molecules interact with each other owing to the presence of charges in them.
2. Neutrons are smaller than hydrogen. This fulfils another kinetic theory postulate that gas molecules should be points and should have negligible size.
Q.7. A gas is kept in a rigid cubical container. If a load of 10 kg is put on the top of the container, does the pressure increase?
No, the pressure on gas won't increase because of this. The pressure will not be transferred to the gas, but to the container and to the ground.
Q.8. If it were possible for a gas in a container to reach the temperature 0 K, its pressure would be zero. Would the molecules not collide with the walls? Would they not transfer momentum to the walls?
Since the pressure would be zero, the molecules would not collide with the walls and would not transfer momentum to the walls. This is because pressure of a gas is formed due to the molecule's collision with the walls of the container.
Q.9. It is said that the assumptions of kinetic theory are good for gases having low densities. Suppose a container is so evacuated that only one molecule is left in it. Which of the assumptions of kinetic theory will not be valid for such a situation? Can we assign a temperature to this gas?
Two postulates of kinetic theory will not be valid in this case. These are given below:
1. All gases are made up of molecules moving randomly in all directions
2. When a gas is left for a sufficient time, it comes to a steady state. The density and the distribution of molecules with different velocities are independent of position, direction and time.
Q.10. A gas is kept in an enclosure. The pressure of the gas is reduced by pumping out some gas. Will the temperature of the gas decrease by Charles's low?
If the gas is ideal, there will be no temperature change. Moreover, Charles's law relates volume with temperature not pressure with temperature, so the cause behind the phenomena cannot be explained by Charles's law.
Q.11. Explain why cooking is faster in a pressure cooker.
In a pressure cooker, the vapour pressure over the water surface is more than the atmospheric pressure. This means boiling point of the water will be higher in the pressure cooker than in the open. This will let the cereals and food to be cooked in higher temperature than at 100°C,. Thus, cooking process gets faster.
Q.12. If the molecules were not allowed to collide among themselves, would you expect more evaporation or less evaporation?
If the molecules are not allowed to collide with each other, they will have long mean free paths and hence, evaporation will be faster. In vacuum, the external pressure will be very low. So, the liquid will boil and evaporate at very low temperature.
Q.13. Is it possible to boil water at room temperature, say 30°C? If we touch a flask containing water boiling at this temperature, will it be hot?
Yes, it is possible to boil water at 30°C by reducing the external pressure. A liquid boils when its vapour pressure equals external pressure. By lowering the external pressure, it is possible to boil the liquid at low temperatures.
No, the flask containing water boiling at 30°C will not be hot.
Q.14. When you come out of a river after a dip, you feel cold. Explain.
After a dip in the river, the water that sticks to our body gets evaporated. We know that evaporation takes place faster for higher temperatures. Thus, the molecules that have the highest kinetic energy leave faster and that is how heat is given away from our body.
As a result of it, temperature of our body falls down due to loss of heat and we feel cold.
Multiple Choice Questions
Question for HC Verma Questions and Solutions: Chapter 24: Kinetic Theory of Gases- 1
Try yourself:Which of the following parameters is the same for molecules of all gases at a given temperature?
Explanation
Temperature is defined as the average kinetic energy of the molecules in a gas sample. Average is same for all the molecules of the sample. So, kinetic energy is the same for all.
Hence, correct answer is d.
Report a problem
Question for HC Verma Questions and Solutions: Chapter 24: Kinetic Theory of Gases- 1
Try yourself:A gas behaves more closely as an ideal gas at
Explanation
At low pressure, the concentration of gas molecules is very low. Hence, the kinetic assumption that the size of the molecules can be neglected compared to the volume of the container applies.
At high temperature, molecules move very fast. So, they tend to collide elastically and forces of interaction between the molecules minimise. This is the required idea condition.
Report a problem
Question for HC Verma Questions and Solutions: Chapter 24: Kinetic Theory of Gases- 1
Try yourself:The pressure of an ideal gas is written as P = 2E/3V. Here E refers to
Explanation
According to the kinetic theory, molecules show straight line in motion (translational). So, the kinetic energy is essentially transitional.
Report a problem
Question for HC Verma Questions and Solutions: Chapter 24: Kinetic Theory of Gases- 1
Try yourself:The energy of a given sample of an ideal gas depends only on its
Explanation
Temperature of a gas is directly proportional to its kinetic energy. Thus, energy of an ideal gas depends only on its temperature.
Report a problem
Question for HC Verma Questions and Solutions: Chapter 24: Kinetic Theory of Gases- 1
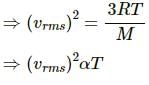
Try yourself:Which of the following gases has maximum rms speed at a given temperature?
Explanation
The rms speed of a gas is given by
Since hydrogen has the lowest Mo compared to other molecules, it will have the highest rms speed.
Report a problem
Question for HC Verma Questions and Solutions: Chapter 24: Kinetic Theory of Gases- 1
Try yourself:Figure shows graphs of pressure vs density for an ideal gas at two temperatures T1 and T2.
Explanation
The straight line T1 has greater slope than T2. This means
ratio is greater for T1 than T2. Now, rms velocity of a gas is given by
This means rms velocity of gas with T1 molecules is greater than T2 molecules. Again, gas with higher temperature has higher rms velocity.
So, T1 > T2.
Report a problem
Question for HC Verma Questions and Solutions: Chapter 24: Kinetic Theory of Gases- 1
Try yourself:The mean square speed of the molecules of a gas at absolute temperature T is proportional to
Explanation
Root mean squared velocity is given by 

Report a problem
Question for HC Verma Questions and Solutions: Chapter 24: Kinetic Theory of Gases- 1
Try yourself:Suppose a container is evacuated to leave just one molecule of a gas in it. Let va and vrms represent the average speed and the rms speed of the gas.
Explanation
Speed is constant and same for a single molecule. Thus, rms speed will be equal to its average speed.
Report a problem
Question for HC Verma Questions and Solutions: Chapter 24: Kinetic Theory of Gases- 1
Try yourself:The rms speed of oxygen at room temperature is about 500 m/s. The rms speed of hydrogen at the same temperature is about
Explanation
Given,
Molecular mass of hydrogen, MH = 2
Molecular mass of oxygen, Mo = 32
RMS speed is given by,

Now,

Report a problem
Question for HC Verma Questions and Solutions: Chapter 24: Kinetic Theory of Gases- 1
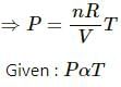
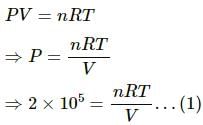
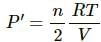
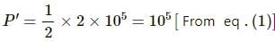
Try yourself:The pressure of a gas kept in an isothermal container is 200 kPa. If half the gas is removed from it, the pressure will be
Explanation
Report a problem
Question for HC Verma Questions and Solutions: Chapter 24: Kinetic Theory of Gases- 1
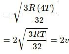
Try yourself:The rms speed of oxygen molecules in a gas is v. If the temperature is doubled and the oxygen molecules dissociate into oxygen atoms, the rms speed will become
Explanation
Report a problem
Question for HC Verma Questions and Solutions: Chapter 24: Kinetic Theory of Gases- 1
Try yourself:The quantity pV/kT represents
Explanation
Here,

Report a problem
Question for HC Verma Questions and Solutions: Chapter 24: Kinetic Theory of Gases- 1
Try yourself:The process on an ideal gas, shown in figure, is
Explanation
According to the graph, P is directly proportional to T.
Applying the equation of state, we get
PV = nRT

This means nR/V is a constant . So, V is also a constant.
Constant V implies the process is isochoric.
Report a problem
Question for HC Verma Questions and Solutions: Chapter 24: Kinetic Theory of Gases- 1
Try yourself:There is some liquid in a closed bottle. The amount of liquid is continuously decreasing. The vapour in the remaining part
Explanation
As the liquid is decreasing, the liquid is vapourised. We know that vapourisation cannot occur in saturated air and there cannot be any liquid with no vapour at all. So, the vapour in the remaining part is unsaturated.
Report a problem
Question for HC Verma Questions and Solutions: Chapter 24: Kinetic Theory of Gases- 1
Try yourself:There is some liquid in a closed bottle. The amount of liquid remains constant as time passes. The vapour in the remaining part
Explanation
Since the amount of liquid is constant, there is no vapourisation of the liquid inside the bottle. Also, since there cannot be a liquid with no vapours at all and vapourisation cannot take place in the remaining saturated part, the remaining part must be saturated with the vapours of the liquid.
Report a problem
Question for HC Verma Questions and Solutions: Chapter 24: Kinetic Theory of Gases- 1
Try yourself:Vapour is injected at a uniform rate in a closed vessel which was initially evacuated. The pressure in the vessel
Explanation
As the vapour is injected, the pressure of the chamber increases. But when the pressure becomes equal to the saturated vapour pressure, it condenses. So, if more vapour is injected beyond the saturated vapour pressure, the vapour will condense and thus the vapour pressure will be constant.
Report a problem
Question for HC Verma Questions and Solutions: Chapter 24: Kinetic Theory of Gases- 1
Try yourself:A vessel A has volume V and a vessel B has volume 2V. Both contain some water which has a constant volume. The pressure in the space above water is pa for vessel A and pb for vessel B.
Explanation
The maximum pressure attainable above the water will be saturated vapour pressure at that temperature. Since saturated vapour pressure does not depend upon volume, both the vessels will have same pressure.
Report a problem
*Multiple options can be correct
Question for HC Verma Questions and Solutions: Chapter 24: Kinetic Theory of Gases- 1
Try yourself:Consider a collision between an oxygen molecule and a hydrogen molecule in a mixture of oxygen and hydrogen kept at room temperature. Which of the following are possible?
Explanation
According to Kinetic theory, postulates collision between molecules are elastic. This means that kinetic energy after any collision is conserved because while one one gains kinetic energy, another loses it. Both options, (c) and (d) consider the conservation of kinetic energy in the collision.
Question for HC Verma Questions and Solutions: Chapter 24: Kinetic Theory of Gases- 1
Try yourself:Consider a mixture of oxygen and hydrogen kept at room temperature. As compared to a hydrogen molecule an oxygen molecule hits the wall
Explanation
The average speed of molecules is given by 
We observe that greater the mass, lesser is the average speed of the molecule. Since an oxygen molecule is heavier than a hydrogen molecule, the oxygen molecule will hit the wall with smaller average speed.
Report a problem
Question for HC Verma Questions and Solutions: Chapter 24: Kinetic Theory of Gases- 1
Try yourself:Which of the following quantities is zero on an average for the molecules of an ideal gas in equilibrium?
Explanation
The molecules move in all possible directions in an ideal gas at equilibrium. Since momentum is a vector quantity for every direction of motion of the molecules, there exists an opposite direction of motion of the other. Hence, the average momentum is zero for an ideal gas at equilibrium.
Report a problem
Question for HC Verma Questions and Solutions: Chapter 24: Kinetic Theory of Gases- 1
Try yourself:Keeping the number of moles, volume and temperature the same, which of the following are the same for all ideal gases?
Explanation
Pressure of an ideal gas is given by PV = 1/3mnu2.
We know that pressure depends on volume, number of molecules and root mean square velocity. Also, root mean square velocity depends on the temperature of the gas. Since the number of molecules, volume and temperature are constant, pressure of the gas will not change.
Report a problem
Question for HC Verma Questions and Solutions: Chapter 24: Kinetic Theory of Gases- 1
Try yourself:The average momentum of a molecule in a sample of an ideal gas depends on
Explanation
Average momentum of a gas sample is zero, so it does not depend upon any of these parameters.
Report a problem
*Multiple options can be correct
Question for HC Verma Questions and Solutions: Chapter 24: Kinetic Theory of Gases- 1
Try yourself:Which of the following quantities is the same for all ideal gases at the same temperature?
Explanation
Kinetic energy per mole of an ideal gas is directly proportional to T. So, it will be the same for all ideal gases.
Number of molecules in 1 mole of an ideal is the same for all ideal gases because ideal gases obey Avogadro's law. Thus, (a) and (c) are correct answers.
Question for HC Verma Questions and Solutions: Chapter 24: Kinetic Theory of Gases- 1
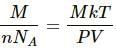
Try yourself:Consider the quantity
of an ideal gas where M is the mass of the gas. It depends on the
Explanation
Report a problem