UPSC Exam  >  UPSC Notes  >  Chemistry Optional Notes for UPSC  >  Norrish-Type I and Type II reactions

Norrish-Type I and Type II reactions | Chemistry Optional Notes for UPSC PDF Download

Introduction

A Norrish reaction, named after Ronald George Wreyford Norrish, is a photochemical reaction taking place with ketones and aldehydes. Such reactions are subdivided into Norrish type I reactions and Norrish type II reactions. While of limited synthetic utility these reactions are important in the photo-oxidation of polymers such as polyolefins, polyesters, certain polycarbonates and polyketones.

Type I

The Norrish type I reaction is the photochemical cleavage or homolysis of aldehydes and ketones into two free radical intermediates (α-scission). The carbonyl group accepts a photon and is excited to a photochemical singlet state. Through intersystem crossing the triplet state can be obtained. On cleavage of the α-carbon bond from either state, two radical fragments are obtained. The size and nature of these fragments depends upon the stability of the generated radicals; for instance, the cleavage of 2-butanone largely yields ethyl radicals in favor of less stable methyl radicals.
Norrish-Type I and Type II reactions | Chemistry Optional Notes for UPSC

Several secondary reaction modes are open to these fragments depending on the exact molecular structure.

  • The fragments can simply recombine to the original carbonyl compound, with racemisation at the α-carbon.
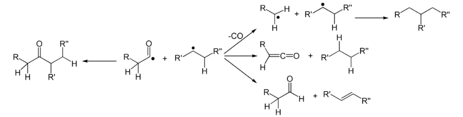
  • The acyl radical can lose a molecule of carbon monoxide, forming a new carbon radical at the other α-carbon, followed by formation of a new carbon–carbon bond between the radicals. The ultimate effect is simple extraction of the carbonyl unit from the carbon chain. The rate and yield of this product depends upon the bond-dissociation energy of the ketone's α substituents. Typically the more α substituted a ketone is, the more likely the reaction will yield products in this way.
  • The abstraction of an α-proton from the carbonyl fragment may form a ketene and an alkane.
  • The abstraction of a β-proton from the alkyl fragment may form an aldehyde and an alkene.
  • Norrish-Type I and Type II reactions | Chemistry Optional Notes for UPSCThe synthetic utility of this reaction type is limited, for instance it often is a side reaction in the Paternò–Büchi reaction. One organic synthesis based on this reaction is that of bicyclohexylidene.

Type II

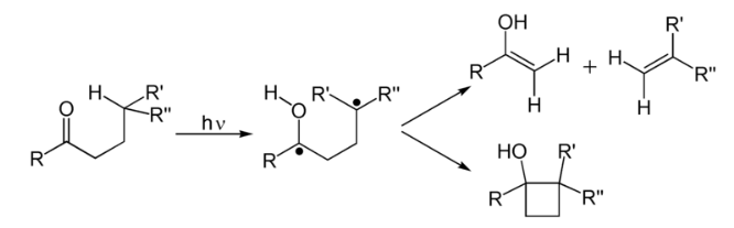
  • A Norrish type II reaction is the photochemical intramolecular abstraction of a γ-hydrogen (a hydrogen atom three carbon positions removed from the carbonyl group) by the excited carbonyl compound to produce a 1,4-biradical as a primary photoproduct.[8] Norrish first reported the reaction in 1937.
    Norrish-Type I and Type II reactions | Chemistry Optional Notes for UPSC
  • Secondary reactions that occur are fragmentation (β-scission) to form an alkene and an enol (which will rapidly tautomerise to a carbonyl), or intramolecular recombination of the two radicals to a substituted cyclobutane (the Norrish–Yang reaction).

Scope

  • The Norrish reaction has been studied in relation to environmental chemistry with respect to the photolysis of the aldehyde heptanal, a prominent compound in Earth's atmosphere. Photolysis of heptanal in conditions resembling atmospheric conditions results in the formation of 1-pentene and acetaldehyde in 62% chemical yield together with cyclic alcohols (cyclobutanols and cyclopentanols) both from a Norrish type II channel and around 10% yield of hexanal from a Norrish type I channel (the initially formed n-hexyl radical attacked by oxygen).
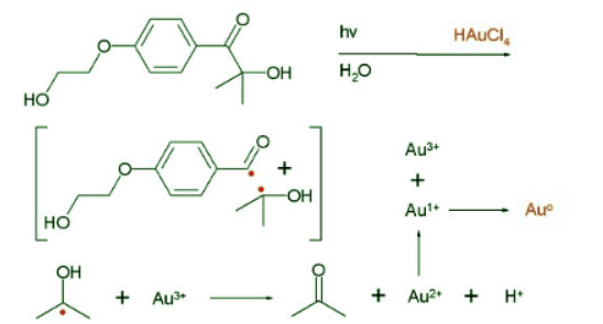
  • In one study the photolysis of an acyloin derivative in water in presence of hydrogen tetrachloroaurate (HAuCl4) generated nanogold particles with 10 nanometer diameter. The species believed to responsible for reducing Au3+ to Au0[13] is the Norrish generated ketyl radical.
    Norrish-Type I and Type II reactions | Chemistry Optional Notes for UPSC
  • Leo Paquette's 1982 synthesis of dodecahedrane involves three separate Norrish-type reactions in its approximately 29-step sequence.
  • An example of a synthetically useful Norrish type II reaction can be found early in the total synthesis of the biologically active cardenolide ouabagenin by Phil Baran and coworkers. The optimized conditions minimize side reactions, such as the competing Norrish type I pathway, and furnish the desired intermediate in good yield on a multi-gram scale.

Norrish-Type I and Type II reactions | Chemistry Optional Notes for UPSC 

The document Norrish-Type I and Type II reactions | Chemistry Optional Notes for UPSC is a part of the UPSC Course Chemistry Optional Notes for UPSC.
All you need of UPSC at this link: UPSC
312 docs

FAQs on Norrish-Type I and Type II reactions - Chemistry Optional Notes for UPSC

1. What are Norrish-Type I and Type II reactions?
Ans. Norrish-Type I and Type II reactions are photochemical reactions that occur when a molecule absorbs light energy. In Norrish-Type I reactions, the excited molecule undergoes bond cleavage to form two radicals. In Norrish-Type II reactions, the excited molecule transfers energy to another molecule, leading to bond cleavage and the formation of radicals.
2. How do Norrish-Type I and Type II reactions differ?
Ans. Norrish-Type I reactions involve direct bond cleavage of the excited molecule, leading to the formation of two radicals. On the other hand, Norrish-Type II reactions involve energy transfer from the excited molecule to another molecule, which then undergoes bond cleavage to form radicals.
3. What is the scope of Norrish-Type I and Type II reactions?
Ans. Norrish-Type I and Type II reactions are important in various fields such as organic chemistry, photochemistry, and polymer chemistry. These reactions play a crucial role in the synthesis of complex organic molecules, the study of reaction mechanisms, and the understanding of photodegradation processes.
4. How do Norrish-Type I and Type II reactions contribute to organic synthesis?
Ans. Norrish-Type I and Type II reactions are widely utilized in organic synthesis. They provide a pathway for the formation of radicals, which can participate in various reactions to generate new organic compounds. These reactions enable the construction of complex molecular structures and the introduction of functional groups in a controlled manner.
5. What are some examples of Norrish-Type I and Type II reactions?
Ans. Examples of Norrish-Type I reactions include the Norrish-Yang reaction, where ketones or aldehydes undergo bond cleavage upon photoexcitation, and the Norrish-II reaction, where esters or lactones undergo similar bond cleavage. Examples of Norrish-Type II reactions include the Norrish-Trommsdorff effect, where the excited molecule transfers energy to an adjacent molecule, leading to bond cleavage.
Related Searches

ppt

,

shortcuts and tricks

,

Previous Year Questions with Solutions

,

Extra Questions

,

Norrish-Type I and Type II reactions | Chemistry Optional Notes for UPSC

,

past year papers

,

Sample Paper

,

Free

,

Objective type Questions

,

Exam

,

Important questions

,

Summary

,

mock tests for examination

,

Norrish-Type I and Type II reactions | Chemistry Optional Notes for UPSC

,

practice quizzes

,

Norrish-Type I and Type II reactions | Chemistry Optional Notes for UPSC

,

pdf

,

Viva Questions

,

MCQs

,

study material

,

video lectures

,

Semester Notes

;