UPSC Exam  >  UPSC Notes  >  Chemistry Optional Notes for UPSC  >  Woodward-Fieser Rules: Conjugated Carbonyl Compounds

Woodward-Fieser Rules: Conjugated Carbonyl Compounds | Chemistry Optional Notes for UPSC PDF Download

Introduction

  • As we have seen earlier in the chapter of Principle of UV-Vis Spectroscopy, absorption of a particular wavelength of light depends upon the π-electron system of the molecule. The more the conjugation of the π-electron system within the molecule, the higher the wavelength of light it can absorb. 
  • Robert Burns Woodward and Louis Fieser put down a set of rules which allows one to calculate the wavelength of maximum absorption (λmax) for a molecule empirically. These sets of rules to calculate the wavelength of maximum absorption or λmax of a compound in the ultraviolet-visible spectrum, based empirically have been called the Woodward-Fieser rules or Woodward’s-rules.
  • These sets of article aims to guide the student on how to use these rules to calculate the wavelength of maximum absorption or λmax for different systems.

Woodward-Fieser Rules for Calculating the λmax of Conjugated Carbonyl Compounds

Woodward-Fieser rules can be extended to calculate the λmax of α,β-unsaturated carbonyl compounds. There is base value to which the substituent effects can be added and the λmax can be calculated using the formula:
λmax = Base value + Σ Substituent Contributions + Σ Other Contributions
Table 2: Gives the values for the influence of different chromophores in conjugated carbonyl systems as per Woodward-Fieser rules. The usage of these will become more evident in the examples which follow.
Woodward-Fieser Rules: Conjugated Carbonyl Compounds | Chemistry Optional Notes for UPSCWoodward-Fieser Rules: Conjugated Carbonyl Compounds | Chemistry Optional Notes for UPSCWoodward-Fieser Rules: Conjugated Carbonyl Compounds | Chemistry Optional Notes for UPSC

Let us discuss each of the above values and when to apply them in greater detail with examples:

Core Chromophores With Base Values

  • As Woodward and Fieser have listed, α,β-unsaturated carbonyl compounds have a range of influence on the λmax of the molecule depending upon:
  • The type of carbonyl functionality present. For example, α,β-unsaturated aldehyde contribute 210 nm while α,β-unsaturated ketones contribute 215 nm and α,β-unsaturated esters contribute 195 nm.
    Woodward-Fieser Rules: Conjugated Carbonyl Compounds | Chemistry Optional Notes for UPSC
  • If the core is a part of a cyclic ring. For example, cyclopentenone contribution is 202 nm while cyclohexenone is 215 nm.
    Woodward-Fieser Rules: Conjugated Carbonyl Compounds | Chemistry Optional Notes for UPSC
  • If the conjugation is extended to γ,δ-positions to form dienes. For example, in such cases, a simple addition of 30 nm to the base value of the α,β-unsaturated carbonyl compound gives appropriate estimates to the observed influences.
    Woodward-Fieser Rules: Conjugated Carbonyl Compounds | Chemistry Optional Notes for UPSC

Note: In cases of α,β-γ,δ-diene carbonyl compounds like those shown above, the extended conjugation at the α,β-γ,δ-positions is accounted for in the base value of the core chromophore and need not be added separately. If however there is another substituent at the α,β-γ,δ-positions, then you must add an additional + 30 nm for each. Also the bond shown as β-γ is not counted as β substituent but as a part of the core chromophore and need not be added separately.

Substituent Effects

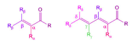
According to Woodward, in case of α,β-unsaturated carbonyl compounds, the location of the substituent is significant in determining the influence on the wavelength of maximum absorption. Substituents can be located on either α,β positions. If the conjugation is extended to γ and δ positions, then substitutions at these position also play a vital role in determining the practical λmax.
Woodward-Fieser Rules: Conjugated Carbonyl Compounds | Chemistry Optional Notes for UPSC

Substituents at α-Position

As we can see the from table 3 below the effect of different substituent when placed on the α-position.
Table 3: Effect of substituents on the α-position of α,β-unsaturated carbonyl compounds
Woodward-Fieser Rules: Conjugated Carbonyl Compounds | Chemistry Optional Notes for UPSC

Substituents at β-Position

As we can see the from table 4 below the effect of different substituent when placed on the β-position.
Table 4: Effect of substituents on the β-position of α,β-unsaturated carbonyl compounds
Woodward-Fieser Rules: Conjugated Carbonyl Compounds | Chemistry Optional Notes for UPSC

Substituents at γ and δ-position

As we can see the from table 5 below the effect of different substituent when placed on the γ or δ position.
Table 5: Effect of substituents on the γ or δ position of α,β-γ,δ-diene carbonyl compound.
Woodward-Fieser Rules: Conjugated Carbonyl Compounds | Chemistry Optional Notes for UPSC

Other Contributors

Exocyclic Double Bonds

In general exocyclic double bonds add an additional + 5 nm to the base value. In order to identify exocyclic double bonds how to use Woodward-Fieser rules to calculate the λmax of conjugated dienes and polyenes. We have explained it extensively there.

Solvent Effects

Since carbonyl functional groups have polarity, solvents play an important role in how the electronics of the structure play out. The rules are simple and straight forward:
Woodward-Fieser Rules: Conjugated Carbonyl Compounds | Chemistry Optional Notes for UPSC

Homoannular Cyclohexadiene

In a special case where you have α,β-γ,δ-diene carbonyl compound and both the double bonds are present within one ring system you get a homoannular or homocyclic cyclohexadiene carbonyl compound. In such a case you must add an additional 35 nm to the system.

 

The document Woodward-Fieser Rules: Conjugated Carbonyl Compounds | Chemistry Optional Notes for UPSC is a part of the UPSC Course Chemistry Optional Notes for UPSC.
All you need of UPSC at this link: UPSC
312 docs

FAQs on Woodward-Fieser Rules: Conjugated Carbonyl Compounds - Chemistry Optional Notes for UPSC

1. What are the Woodward-Fieser rules?
Ans. The Woodward-Fieser rules are a set of guidelines used to predict the wavelength of maximum absorption (λmax) for conjugated carbonyl compounds. These rules are based on the concept that the absorption of light by a molecule depends on the extent of conjugation present in the compound.
2. How do the Woodward-Fieser rules calculate the λmax of conjugated carbonyl compounds?
Ans. The Woodward-Fieser rules assign base values to different core chromophores, which are specific structural features in conjugated carbonyl compounds. By adding the base values of the core chromophores and considering the effect of substituents, the λmax can be estimated using a mathematical formula provided by the rules.
3. What are core chromophores in conjugated carbonyl compounds?
Ans. Core chromophores are specific structural features in conjugated carbonyl compounds that contribute to the absorption of light. Examples of core chromophores include the carbonyl group, double bonds, and aromatic rings. These chromophores serve as the building blocks for determining the λmax using the Woodward-Fieser rules.
4. How do substituents affect the λmax of conjugated carbonyl compounds?
Ans. Substituents can have either electron-donating or electron-withdrawing effects on conjugated carbonyl compounds, which influence their λmax. Electron-donating substituents shift the λmax to longer wavelengths (redshift), while electron-withdrawing substituents shift it to shorter wavelengths (blueshift). The Woodward-Fieser rules consider these substituent effects in the calculation of the λmax.
5. What are the applications of the Woodward-Fieser rules in organic chemistry?
Ans. The Woodward-Fieser rules are widely used in organic chemistry to predict the absorption spectra and λmax of conjugated carbonyl compounds. This information is crucial for determining the electronic properties and reactivity of these compounds. The rules find applications in various fields, including pharmaceutical research, material science, and the synthesis of organic dyes.
Related Searches

video lectures

,

Exam

,

Woodward-Fieser Rules: Conjugated Carbonyl Compounds | Chemistry Optional Notes for UPSC

,

Important questions

,

Semester Notes

,

study material

,

Previous Year Questions with Solutions

,

MCQs

,

past year papers

,

shortcuts and tricks

,

Woodward-Fieser Rules: Conjugated Carbonyl Compounds | Chemistry Optional Notes for UPSC

,

ppt

,

Free

,

Woodward-Fieser Rules: Conjugated Carbonyl Compounds | Chemistry Optional Notes for UPSC

,

Viva Questions

,

mock tests for examination

,

Summary

,

Objective type Questions

,

Sample Paper

,

practice quizzes

,

Extra Questions

,

pdf

;