JEE Exam  >  JEE Notes  >  Physics for JEE Main & Advanced  >  JEE Advanced Previous Year Questions (2018 - 2024): Rotational Motion

JEE Advanced Previous Year Questions (2018 - 2024): Rotational Motion | Physics for JEE Main & Advanced PDF Download

2024

Q1: A disc of mass M and radius R is free to rotate about its vertical axis as shown in the figure. A battery operated motor of negligible mass is fixed to this disc at a point on its circumference. Another disc of the same mass M and radius R/2 is fixed to the motor's thin shaft. Initially, both the discs are at rest. The motor is switched on so that the smaller disc rotates at a uniform angular speed ω. If the angular speed at which the large disc rotates is ω/n, then the value of n is ________.    [JEE Advanced 2024 Paper 1]
JEE Advanced Previous Year Questions (2018 - 2024): Rotational Motion | Physics for JEE Main & AdvancedAns:
12
JEE Advanced Previous Year Questions (2018 - 2024): Rotational Motion | Physics for JEE Main & AdvancedOn applying conservation of angular momentum about axis of larger disc.
12 ⋅ M (R2) 2 ⋅ ω - M (ω' R) ⋅ R - MR²2 ⋅ ω' = 0
ω8 = 3ω'2
⇒ ω' = ω12
Hence, n = 12

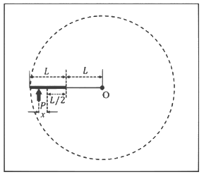
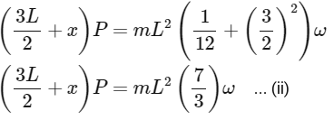
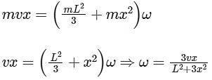
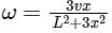
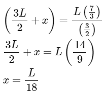
Q2: A thin uniform rod of length L and certain mass is kept on a frictionless horizontal table with a massless string of length L fixed to one end (top view is shown in the figure). The other end of the string is pivoted to a point O. If a horizontal impulse P is imparted to the rod at a distance x = L/n from the mid-point of the rod (see figure), then the rod and string revolve together around the point O, with the rod remaining aligned with the string. In such a case, the value of n is ________.   [JEE Advanced 2024 Paper 1]
JEE Advanced Previous Year Questions (2018 - 2024): Rotational Motion | Physics for JEE Main & AdvancedAns:
18
∫F dt = Δ momentum
= m (Vcm - 0)
P = m (ω rcm)

= mω (L + L2)

P = mω (3L2)     ... (i)

∫τ dt = Δ angular momentum
∫ r × F dt = ΔL
r × ∫ F dt = I (ω - 0), and I is the moment of inertia about the axis of rotation.
(L + L2 + x) × P = (Icm + m d²) ω
= JEE Advanced Previous Year Questions (2018 - 2024): Rotational Motion | Physics for JEE Main & Advanced
JEE Advanced Previous Year Questions (2018 - 2024): Rotational Motion | Physics for JEE Main & Advanced
Divide eq.-(i) & (ii)
JEE Advanced Previous Year Questions (2018 - 2024): Rotational Motion | Physics for JEE Main & Advanced

2023

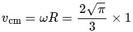
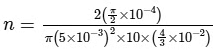
Q1: A thin circular coin of mass 5gm and radius  4/3 cm is initially in a horizontal xy-plane. The coin is tossed vertically up ( +z direction) by applying an impulse of  √π/2 × 10−2 N-s at a distance  2/3 cm from its center. The coin spins about its diameter and moves along the +z direction. By the time the coin reaches back to its initial position, it completes n rotations. The value of n is ________.
[Given: The acceleration due to gravity   g = 10 m s−2 ]        [JEE Advanced 2023 Paper 2]

JEE Advanced Previous Year Questions (2018 - 2024): Rotational Motion | Physics for JEE Main & Advanced

Ans: 30
A coin with a radius of mr = 4/3 × 10−2m and a mass of  m = 5 × 10−3kg is thrown upwards. An impulse of linN s Jlin = √π/2 × 10−2N s is applied perpendicularly to the plane of the coin. This impulse is delivered at a distance of d = r/2 from the center of the coin.
Initially at rest, the coin experiences a change in linear momentum due to the applied linear impulse, leading to the equation :
JEE Advanced Previous Year Questions (2018 - 2024): Rotational Motion | Physics for JEE Main & Advanced
where m is the mass of the coin, vcm is its center of mass velocity after the impulse, and Jlin is the magnitude of the linear impulse.
After the impulse, the center of mass of the coin ascends with an initial velocity vcm. Under the influence of gravity, the coin returns to its original position in a time duration expressed by :
JEE Advanced Previous Year Questions (2018 - 2024): Rotational Motion | Physics for JEE Main & Advanced
where g is the acceleration due to gravity, Jlin is the linear impulse applied, and m is the mass of the coin.
The coin undergoes rotation about its axis, and the angular impulse exerted on it around its center is described by the equation :
JEE Advanced Previous Year Questions (2018 - 2024): Rotational Motion | Physics for JEE Main & Advanced
where Jang is the angular impulse, d is the distance from the center at which the linear impulse Jlin is applied, and r is the radius of the coin.
The angular impulse leads to a change in the angular momentum of the coin about a horizontal axis passing through its center. This relationship is given by :
JEE Advanced Previous Year Questions (2018 - 2024): Rotational Motion | Physics for JEE Main & Advanced
where Icm is the moment of inertia of the coin about its center of mass, ω is the angular velocity after the impulse, and Lang is the angular momentum resulting from the angular impulse Jang.
The angular speed of the coin, denoted as ω, is determined by the equation :
JEE Advanced Previous Year Questions (2018 - 2024): Rotational Motion | Physics for JEE Main & Advanced
where r is the radius of the coin, Jlin is the linear impulse applied, m is the mass of the coin, and Icm is its moment of inertia about the center of mass.
After tossing, the angular speed of the coin remains constant because there is no external torque. The number of rotations \( n \) completed by the coin during the time \( t \) is calculated as :
JEE Advanced Previous Year Questions (2018 - 2024): Rotational Motion | Physics for JEE Main & Advanced
Substituting the given values, it becomes :

JEE Advanced Previous Year Questions (2018 - 2024): Rotational Motion | Physics for JEE Main & Advanced
= 30
where θ is the total angular displacement, ω is the angular speed of the coin, Jlin is the linear impulse, m is the mass of the coin, g is the acceleration due to gravity, and r is the radius of the coin. 

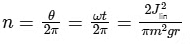
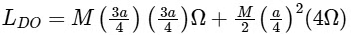
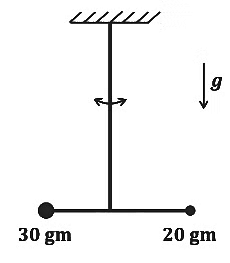
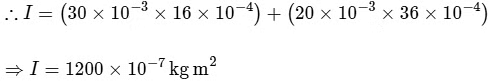
Q2: Two point-like objects of masses  20 gm and  30 gm are fixed at the two ends of a rigid massless rod of length  10 cm. This system is suspended vertically from a rigid ceiling using a thin wire attached to its center of mass, as shown in the figure. The resulting torsional pendulum undergoes small oscillations. The torsional constant of the wire is    1.2×10−8 N m rad−1. The angular frequency of the oscillations in   n × 10−3 rad s−1. The value of n is _________ .         
[JEE Advanced 2023 Paper 1]

JEE Advanced Previous Year Questions (2018 - 2024): Rotational Motion | Physics for JEE Main & AdvancedAns: 10
m= 30gm
m2 = 20 gm

JEE Advanced Previous Year Questions (2018 - 2024): Rotational Motion | Physics for JEE Main & Advanced

Moment of inertia about the axis of rotation is

JEE Advanced Previous Year Questions (2018 - 2024): Rotational Motion | Physics for JEE Main & Advanced
Clearly r1 = 4 cm
r= 6 cm
JEE Advanced Previous Year Questions (2018 - 2024): Rotational Motion | Physics for JEE Main & Advanced

If the system is rotated by small angle ' θ ', the restoring torque is JEE Advanced Previous Year Questions (2018 - 2024): Rotational Motion | Physics for JEE Main & Advanced

And JEE Advanced Previous Year Questions (2018 - 2024): Rotational Motion | Physics for JEE Main & Advanced

JEE Advanced Previous Year Questions (2018 - 2024): Rotational Motion | Physics for JEE Main & Advanced

Q3: A bar of mass  M = 1.00 kg and length  L = 0.20 m is lying on a horizontal frictionless surface. One end of the bar is pivoted at a point about which it is free to rotate. A small mass  m = 0.10 kg is moving on the same horizontal surface with   5.00 m s−1 speed on a path perpendicular to the bar. It hits the bar at a distance L/2 from the pivoted end and returns back on the same path with speed v. After this elastic collision, the bar rotates with an angular velocity ω.
Which of the following statement is correct?
(a) ω = 6.98 rad s−1 and   v = 4.30 m s−1
(b) ω = 3.75 rad s−1 and   v = 4.30 m s−1
(c) ω = 3.75 rad s−1 and   v = 10.0 m s−1
(d) ω = 6.80 rad s−1 and   v = 4.10 m s−1          [JEE Advanced 2023 Paper 1]

Ans: (a)
A bar, having a mass of M = 1 kg and a length of L = 0.2 m, is hinged at a point P. A particle with a mass of m = 0.1 kg moves in a direction perpendicular to the bar at a velocity of u = 5 m/s. This particle collides elastically with the bar at a point that is L/2 (0.1 m) away from the pivot point P. As a result of this collision, the bar begins to rotate with an angular velocity ω, and the particle recoils with a new velocity v. JEE Advanced Previous Year Questions (2018 - 2024): Rotational Motion | Physics for JEE Main & Advanced

We can analyze the bar and the particle as a combined system. Initially, before the impact occurs, the system's angular momentum around the pivot point P is in a clockwise direction. The magnitude of this initial angular momentum can be expressed as
JEE Advanced Previous Year Questions (2018 - 2024): Rotational Motion | Physics for JEE Main & Advanced
Following the collision, the angular momentum of the system about the pivot point P changes. This final angular momentum can be represented as
JEE Advanced Previous Year Questions (2018 - 2024): Rotational Motion | Physics for JEE Main & Advanced
Here, Ibar, the moment of inertia of the bar, is given by 1/3ML2, and the term −1/2mvL accounts for the particle's contribution post-collision.
During the collision, the angular momentum of the system around the pivot point P is conserved. This means Li = Lf. Applying this principle, we derive the following relationship :
JEE Advanced Previous Year Questions (2018 - 2024): Rotational Motion | Physics for JEE Main & Advanced
This equation represents the conservation of angular momentum in the system, correlating the initial and final states of the bar and the particle.
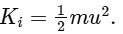
The kinetic energy of the system is conserved in an elastic collision. The kinetic energy of the system before the collision is
JEE Advanced Previous Year Questions (2018 - 2024): Rotational Motion | Physics for JEE Main & Advanced
In an elastic collision, the total kinetic energy of the system is preserved. Prior to the collision, the kinetic energy of the system can be quantified as
JEE Advanced Previous Year Questions (2018 - 2024): Rotational Motion | Physics for JEE Main & Advanced
This equation denotes the initial kinetic energy, primarily attributed to the particle's motion.
After the collision takes place, the kinetic energy of the system can be expressed as :
JEE Advanced Previous Year Questions (2018 - 2024): Rotational Motion | Physics for JEE Main & Advanced
Here, the first term represents the kinetic energy due to the particle's velocity post-collision, and the second term represents the rotational kinetic energy of the bar.
By applying the principle of conservation of kinetic energy, which states Ki = Kf, we obtain the following relation :
JEE Advanced Previous Year Questions (2018 - 2024): Rotational Motion | Physics for JEE Main & Advanced
This equation links the initial and final kinetic energies of the system, comprising the particle and the rotating bar.
By resolving equations (i) and (ii), we determine that the velocity ω of the particle post-collision is 4.3 m/s and the angular velocity ω of the bar is 6.98 rad/s. 

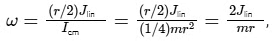
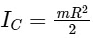
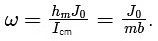
Q4: An annular disk of mass M, inner radius a and outer radius b is placed on a horizontal surface with coefficient of frictionμ, as shown in the figure. At some time, an impulse  JEE Advanced Previous Year Questions (2018 - 2024): Rotational Motion | Physics for JEE Main & Advancedis applied at a height  above the center of the disk. If ℎ = ℎm then the disk rolls without slipping along the x-axis. Which of the following statement(s) is(are) correct? 

JEE Advanced Previous Year Questions (2018 - 2024): Rotational Motion | Physics for JEE Main & Advanced

(a) For μ ≠ 0 and a → 0, ℎm = b/2.
(b) For μ ≠ 0 and a → b, ℎm = b.
(c) For ℎ = ℎm, the initial angular velocity does not depend on the inner radius a.
(d) For μ = 0 and ℎ=0, the wheel always slides without rolling. [JEE Advanced 2023 Paper 2]
Ans:
(a), (b), (c) & (d)
The moment of inertia Icm of an annular disc, with an inner radius a, an outer radius b, and a mass m, about an axis perpendicular to the disc and passing through its center C, is given by :
JEE Advanced Previous Year Questions (2018 - 2024): Rotational Motion | Physics for JEE Main & Advanced
where a2 and b2 are the squares of the inner and outer radii, respectively. 

JEE Advanced Previous Year Questions (2018 - 2024): Rotational Motion | Physics for JEE Main & Advanced

The linear impulse J0 alters the linear momentum of the disc. Right after the impulse is applied, the linear momentum can be represented as :
JEE Advanced Previous Year Questions (2018 - 2024): Rotational Motion | Physics for JEE Main & Advanced
where m is the mass of the disc and vcm is the velocity of the center of mass resulting from the impulse.
The angular impulse about the center of mass C of the disc is applied in a clockwise direction, with its magnitude being J0,ang= ℎJ0. This impulse changes the angular momentum of the disc about point C, expressed as
JEE Advanced Previous Year Questions (2018 - 2024): Rotational Motion | Physics for JEE Main & Advanced
where Icm is the moment of inertia of the disc about its center of mass, ω is the angular velocity resulting from the angular impulse, J0 is the linear impulse, and  is a factor relating the angular impulse to the linear impulse
For the disc to roll without slipping, given that the friction coefficient μ is non-zero, the condition is vcm = ωb. By substituting the expressions for vcm and ω and solving, we obtain the following relationship for the minimum value of  (denoted as m) :
JEE Advanced Previous Year Questions (2018 - 2024): Rotational Motion | Physics for JEE Main & Advanced
where Icm is the moment of inertia of the disc about its center of mass, m is the mass of the disc, a is the inner radius, and b is the outer radius of the disc.
By substituting a = 0 into the formula, we find that m = b/2. This implies that a solid disc will roll without slipping if the impulse is applied midway along the upper half of the disc.
Similarly, substituting a = b yields m = b. This indicates that a ring (an annular disc with equal inner and outer radii) will roll without slipping when the horizontal impulse is applied at the very top of the ring.
For the condition where ℎ = ℎm, the initial angular velocity ω is given by :
JEE Advanced Previous Year Questions (2018 - 2024): Rotational Motion | Physics for JEE Main & Advanced
This expression for the angular velocity is independent of the inner radius a of the disc.
When a wheel is placed on a smooth surface with no friction (μ = 0) and an impulse is applied directly at its center (ℎ = 0), there is no torque generated to initiate rotation. Consequently, under these conditions, if an impulse is delivered to the center of a wheel on a frictionless surface, the wheel will invariably slide and not roll. 

2022


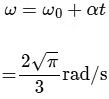
Q1: At time t = 0, a disk of radius  1 m starts to roll without slipping on a horizontal plane with an angular acceleration of α = 2/3rads−2. A small stone is stuck to the disk. At t = 0, it is at the contact point of the disk and the plane. Later, at time t = √πs, the stone detaches itself and flies off tangentially from the disk. The maximum height (in m ) reached by the stone measured from the plane is 1/2 + x/10. The value of x is ____________ , [Take   g =10 m s−2.]    [JEE Advanced 2022 Paper 1 ]
Ans:
0.48 to 0.56
The angle rotated by disc in t = √πs is

JEE Advanced Previous Year Questions (2018 - 2024): Rotational Motion | Physics for JEE Main & Advanced

and the angular velocity of disc is

JEE Advanced Previous Year Questions (2018 - 2024): Rotational Motion | Physics for JEE Main & Advanced

and JEE Advanced Previous Year Questions (2018 - 2024): Rotational Motion | Physics for JEE Main & Advanced

= JEE Advanced Previous Year Questions (2018 - 2024): Rotational Motion | Physics for JEE Main & Advanced

So, at the moment it detaches the situation is

JEE Advanced Previous Year Questions (2018 - 2024): Rotational Motion | Physics for JEE Main & Advanced

JEE Advanced Previous Year Questions (2018 - 2024): Rotational Motion | Physics for JEE Main & Advanced

JEE Advanced Previous Year Questions (2018 - 2024): Rotational Motion | Physics for JEE Main & Advanced

So, height from ground will be

JEE Advanced Previous Year Questions (2018 - 2024): Rotational Motion | Physics for JEE Main & Advanced

Q2: A flat surface of a thin uniform disk A of radius R is glued to a horizontal table. Another thin uniform disk B of mass M and with the same radius R rolls without slipping on the circumference of A, as shown in the figure. A flat surface of B also lies on the plane of the table. The center of mass of B has fixed angular speed ω about the vertical axis passing through the center of A. The angular momentum of B is nMωR2 with respect to the center of A
Which of the following is the value of n ?             [JEE Advanced 2022 Paper 2]

JEE Advanced Previous Year Questions (2018 - 2024): Rotational Motion | Physics for JEE Main & Advanced(a) 2
(b) 5
(c) 7/2
(d) 9/2
Ans:
(b)
Angular momentum of B with respect to center of A
JEE Advanced Previous Year Questions (2018 - 2024): Rotational Motion | Physics for JEE Main & Advanced
Comparing the magnitude with nMωR2
n = 2

Q2: A solid sphere of mass   1 kg and radius   1 m rolls without slipping on a fixed inclined plane with an angle of inclination θ = 30 from the horizontal. Two forces of magnitude   1 N each, parallel to the incline, act on the sphere, both at distance  r = 0.5 m from the center of the sphere, as shown in the figure. The acceleration of the sphere down the plane is _________ ms−2.( Take g = 10ms−2)
[JEE Advanced 2022 Paper 1]

JEE Advanced Previous Year Questions (2018 - 2024): Rotational Motion | Physics for JEE Main & Advanced

Ans: 2.80 to 2.92

JEE Advanced Previous Year Questions (2018 - 2024): Rotational Motion | Physics for JEE Main & Advanced

Taking torque about contact point.

JEE Advanced Previous Year Questions (2018 - 2024): Rotational Motion | Physics for JEE Main & Advanced

taking ⊗ is positive

JEE Advanced Previous Year Questions (2018 - 2024): Rotational Motion | Physics for JEE Main & Advanced
So, JEE Advanced Previous Year Questions (2018 - 2024): Rotational Motion | Physics for JEE Main & Advanced
acm = 2.86 m/s2

2021


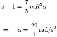
Q1: A thin rod of mass M and length a is free to rotate in horizontal plane about a fixed vertical axis passing through point O. A thin circular disc of mass M and of radius a/4 is pivoted on this rod with its center at a distance a/4 from the free end so that it can rotate freely about its vertical axis, as shown in the figure. Assume that both the rod and the disc have uniform density and they remain horizontal during the motion. An outside stationary observer finds the rod rotating with an angular velocity Ω and the disc rotating about its vertical axis with angular velocity 4Ω. The total angular momentum of the system about the point O is JEE Advanced Previous Year Questions (2018 - 2024): Rotational Motion | Physics for JEE Main & Advanced The value of n is ___________. 
[JEE Advanced 2021 Paper 1 ]

JEE Advanced Previous Year Questions (2018 - 2024): Rotational Motion | Physics for JEE Main & Advanced

Ans: 49JEE Advanced Previous Year Questions (2018 - 2024): Rotational Motion | Physics for JEE Main & Advanced

Angular momentum of disc about O is

JEE Advanced Previous Year Questions (2018 - 2024): Rotational Motion | Physics for JEE Main & Advanced

Angular momentum of rod about O is
JEE Advanced Previous Year Questions (2018 - 2024): Rotational Motion | Physics for JEE Main & Advanced

So, JEE Advanced Previous Year Questions (2018 - 2024): Rotational Motion | Physics for JEE Main & Advanced
So, n = 49

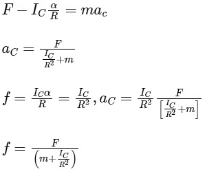
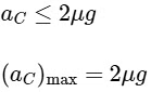
Q2: A horizontal force F is applied at the center of mass of a cylindrical object of mass m and radius R, perpendicular to its axis as shown in the figure. The coefficient of friction between the object and the ground is μ. The center of mass of the object has an acceleration a. The acceleration due to gravity is g. Given that the object rolls without slipping, which of the following statement(s) is(are) correct?
JEE Advanced Previous Year Questions (2018 - 2024): Rotational Motion | Physics for JEE Main & Advanced(a) For the same F, the value of a does not depend on whether the cylinder is solid or hollow(b) For a solid cylinder, the maximum possible value of a is 2μg
(c) The magnitude of the frictional force on the object due to the ground is always μmg
(d) For a thin-walled hollow cylinder, a = F/2m [JEE Advanced 2021 Paper 1]
Ans: 
(b) & (d)

JEE Advanced Previous Year Questions (2018 - 2024): Rotational Motion | Physics for JEE Main & Advanced

 f = mac
fR = ICα
aC  αR = 0
JEE Advanced Previous Year Questions (2018 - 2024): Rotational Motion | Physics for JEE Main & Advanced

Thin walled hollow cylinder,

JEE Advanced Previous Year Questions (2018 - 2024): Rotational Motion | Physics for JEE Main & Advanced

For solid cylinder, JEE Advanced Previous Year Questions (2018 - 2024): Rotational Motion | Physics for JEE Main & Advanced

JEE Advanced Previous Year Questions (2018 - 2024): Rotational Motion | Physics for JEE Main & Advanced

2020

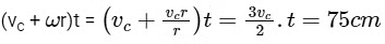
Q1: A small roller of diameter 20 cm has an axle of diameter 10 cm (see figure below on the left). It is on a horizontal floor and a meter scale is positioned horizontally on its axle with one edge of the scale on top of the axle (see figure on the right). The scale is now pushed slowly on the axle so that it moves without slipping on the axle, and the roller starts rolling without slipping. After the roller has moved 50 cm, the position of the scale will look like (figures are schematic and not drawn to scale)     [JEE Advanced 2020 Paper 1] 

JEE Advanced Previous Year Questions (2018 - 2024): Rotational Motion | Physics for JEE Main & Advanced

(a) JEE Advanced Previous Year Questions (2018 - 2024): Rotational Motion | Physics for JEE Main & Advanced
(b) JEE Advanced Previous Year Questions (2018 - 2024): Rotational Motion | Physics for JEE Main & Advanced
(c) JEE Advanced Previous Year Questions (2018 - 2024): Rotational Motion | Physics for JEE Main & Advanced
(d) JEE Advanced Previous Year Questions (2018 - 2024): Rotational Motion | Physics for JEE Main & Advanced
Ans: (c)
For no slipping at ground,
vc = ωR
(where, r is the radius of roller)
 Velocity of scale = (vc + ωr) (where, r is the radius of axle)
Given, vc . t = 50 cm
 Distance moved by scale = JEE Advanced Previous Year Questions (2018 - 2024): Rotational Motion | Physics for JEE Main & Advanced
Therefore, relative displacement (with respect to centre of roller) is (75 − 50) cm = 25 cm.

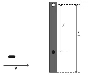
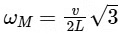
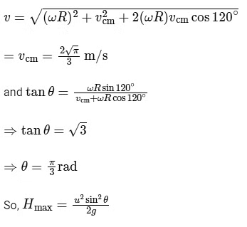
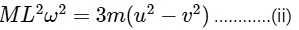
Q2: A rod of mass m and length L, pivoted at one of its ends, is hanging vertically. A bullet of the same mass moving at speed v strikes the rod horizontally at a distance x from its pivoted end and gets embedded in it. The combined system now rotates with angular speed ω about the pivot. The maximum angular speed ωM is achieved for x = xM. Then 

JEE Advanced Previous Year Questions (2018 - 2024): Rotational Motion | Physics for JEE Main & Advanced

(a) JEE Advanced Previous Year Questions (2018 - 2024): Rotational Motion | Physics for JEE Main & Advanced
(b) JEE Advanced Previous Year Questions (2018 - 2024): Rotational Motion | Physics for JEE Main & Advanced
(c) JEE Advanced Previous Year Questions (2018 - 2024): Rotational Motion | Physics for JEE Main & Advanced
(d) JEE Advanced Previous Year Questions (2018 - 2024): Rotational Motion | Physics for JEE Main & Advanced [JEE Advanced 2020 Paper 2]
Ans: 
(a), (b) & (d)
According to conservation of angular momentum about suspension point,
JEE Advanced Previous Year Questions (2018 - 2024): Rotational Motion | Physics for JEE Main & Advanced
For maximum,JEE Advanced Previous Year Questions (2018 - 2024): Rotational Motion | Physics for JEE Main & Advanced

2019

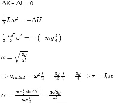
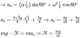
Q1: A thin and uniform rod of mass M and length L is held vertical on a floor with large friction. The rod is released from rest so that it falls by rotating about its contact-point with the floor without slipping. Which of the following statement(s) is/are correct, when the rod makes an angle 60 with vertical? [g is the acceleration due to gravity]
(a) The angular acceleration of the rod will be 2g / L
(b) The normal reaction force from the floor on the rod will be Mg / 16
(c) The radial acceleration of the rod's center of mass will be 3g / 4
(d) The angular speed of the rod will be JEE Advanced Previous Year Questions (2018 - 2024): Rotational Motion | Physics for JEE Main & Advanced. [JEE Advanced 2019 Paper 2]
Ans:
(b), (c) & (d)
JEE Advanced Previous Year Questions (2018 - 2024): Rotational Motion | Physics for JEE Main & Advanced

JEE Advanced Previous Year Questions (2018 - 2024): Rotational Motion | Physics for JEE Main & Advanced

JEE Advanced Previous Year Questions (2018 - 2024): Rotational Motion | Physics for JEE Main & Advanced

2018


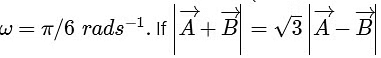
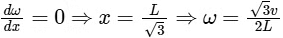
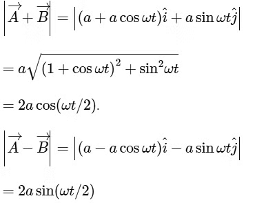
Q1: Two vectors  JEE Advanced Previous Year Questions (2018 - 2024): Rotational Motion | Physics for JEE Main & Advanced and  JEE Advanced Previous Year Questions (2018 - 2024): Rotational Motion | Physics for JEE Main & Advanced are defined as  JEE Advanced Previous Year Questions (2018 - 2024): Rotational Motion | Physics for JEE Main & Advanced, where a is a constant and  JEE Advanced Previous Year Questions (2018 - 2024): Rotational Motion | Physics for JEE Main & Advanced at time t = τ for the first time, the value of τ in second, is ______________.       [JEE Advanced 2018 Paper 1]
Ans: 2

The vector JEE Advanced Previous Year Questions (2018 - 2024): Rotational Motion | Physics for JEE Main & Advanced has a magnitude a and its direction is fixed. The vector  JEE Advanced Previous Year Questions (2018 - 2024): Rotational Motion | Physics for JEE Main & Advanced rotates with an angular speed ω =π / 6 rad/s in a circle of radius a. The magnitude of the sum and the difference of these vectors are given by 

JEE Advanced Previous Year Questions (2018 - 2024): Rotational Motion | Physics for JEE Main & Advanced

JEE Advanced Previous Year Questions (2018 - 2024): Rotational Motion | Physics for JEE Main & Advanced

Hence,
JEE Advanced Previous Year Questions (2018 - 2024): Rotational Motion | Physics for JEE Main & Advanced
which gives t = τ = (2/ω)(π/6)
= 2 s. 

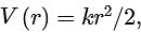
Q2: The potential energy of a particle of mass m at a distance r from a fixed point O is given by JEE Advanced Previous Year Questions (2018 - 2024): Rotational Motion | Physics for JEE Main & Advanced, where k is a positive constant of appropriate dimensions. This particle is moving in a circular orbit of radius r about the point O. If v is the speed of the particle and L is the magnitude of its angular momentum about O, which of the following statements is (are) true? 
(a) JEE Advanced Previous Year Questions (2018 - 2024): Rotational Motion | Physics for JEE Main & Advanced
(b) JEE Advanced Previous Year Questions (2018 - 2024): Rotational Motion | Physics for JEE Main & Advanced
(c) JEE Advanced Previous Year Questions (2018 - 2024): Rotational Motion | Physics for JEE Main & Advanced
(d) JEE Advanced Previous Year Questions (2018 - 2024): Rotational Motion | Physics for JEE Main & Advanced
Ans:
(b) & (c)
JEE Advanced Previous Year Questions (2018 - 2024): Rotational Motion | Physics for JEE Main & Advanced
where k is positive constant, r is radius of circular orbit, V(r) is potential, v is speed of particle, L is angular momentum.

JEE Advanced Previous Year Questions (2018 - 2024): Rotational Motion | Physics for JEE Main & Advanced (towards centre)

JEE Advanced Previous Year Questions (2018 - 2024): Rotational Motion | Physics for JEE Main & Advanced

Kr = mv2 / R (Centripetal force)
JEE Advanced Previous Year Questions (2018 - 2024): Rotational Motion | Physics for JEE Main & Advanced
Hence, option (B) is correct.Also, we know L = mvR
Substitute the value of v, we get
JEE Advanced Previous Year Questions (2018 - 2024): Rotational Motion | Physics for JEE Main & Advanced
Hence, option (C) is correct 

The document JEE Advanced Previous Year Questions (2018 - 2024): Rotational Motion | Physics for JEE Main & Advanced is a part of the JEE Course Physics for JEE Main & Advanced.
All you need of JEE at this link: JEE
268 videos|756 docs|171 tests

FAQs on JEE Advanced Previous Year Questions (2018 - 2024): Rotational Motion - Physics for JEE Main & Advanced

1. What is the significance of rotational motion in JEE Advanced exams?
Ans.Rotational motion is a crucial topic in JEE Advanced as it forms the basis for understanding various physical phenomena. Questions related to angular velocity, moment of inertia, and torque are frequently asked, and mastering this topic is essential for solving complex problems in mechanics.
2. How can I prepare effectively for rotational motion questions in JEE Advanced?
Ans.To prepare effectively, focus on understanding core concepts such as the laws of motion for rotating bodies, conservation of angular momentum, and the relationship between linear and angular quantities. Practice previous years' questions and sample papers to familiarize yourself with the types of problems you may encounter.
3. What are some common types of questions asked in rotational motion for JEE Advanced?
Ans.Common types of questions include calculating the moment of inertia for various shapes, analyzing rotating systems using Newton's laws, and solving problems involving rolling motion. Additionally, questions may involve the application of the conservation of angular momentum in different scenarios.
4. Can you provide a real-life application of rotational motion concepts in JEE?
Ans.A real-life application of rotational motion concepts is in understanding how a spinning top or gyroscope maintains its orientation. This principle is crucial in navigation systems and stabilizing technology in various vehicles, reflecting the practical significance of rotational motion in physics.
5. Are there any specific formulas I should memorize for rotational motion in JEE Advanced?
Ans.Yes, important formulas include the moment of inertia (I = Σmr²), torque (τ = r × F), angular momentum (L = Iω), and the relationship between linear and angular quantities (v = rω). Familiarizing yourself with these formulas and their applications will be beneficial for solving problems efficiently.
Related Searches

Viva Questions

,

Extra Questions

,

study material

,

JEE Advanced Previous Year Questions (2018 - 2024): Rotational Motion | Physics for JEE Main & Advanced

,

Exam

,

mock tests for examination

,

ppt

,

past year papers

,

Sample Paper

,

MCQs

,

Important questions

,

practice quizzes

,

pdf

,

Objective type Questions

,

JEE Advanced Previous Year Questions (2018 - 2024): Rotational Motion | Physics for JEE Main & Advanced

,

Summary

,

Previous Year Questions with Solutions

,

Semester Notes

,

video lectures

,

JEE Advanced Previous Year Questions (2018 - 2024): Rotational Motion | Physics for JEE Main & Advanced

,

Free

,

shortcuts and tricks

;