JEE Exam  >  JEE Notes  >  Mathematics (Maths) for JEE Main & Advanced  >  JEE Advanced Previous Year Questions (2018 - 2024): Sequences and Series

JEE Advanced Previous Year Questions (2018 - 2024): Sequences and Series | Mathematics (Maths) for JEE Main & Advanced PDF Download

2023

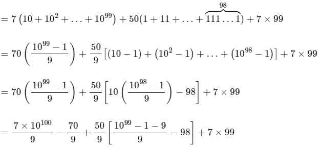
Q1: Let JEE Advanced Previous Year Questions (2018 - 2024): Sequences and Series | Mathematics (Maths) for JEE Main & Advanced denote the (r + 2) digit number where the first and the last digits are 7 and the remaining r digits are 5 . Consider the sum  JEE Advanced Previous Year Questions (2018 - 2024): Sequences and Series | Mathematics (Maths) for JEE Main & Advanced, where m and n are natural numbers less than 3000 , then the value of m + n is:                [JEE Advanced 2023 Paper 1]
Ans: 
1219
JEE Advanced Previous Year Questions (2018 - 2024): Sequences and Series | Mathematics (Maths) for JEE Main & Advanced

JEE Advanced Previous Year Questions (2018 - 2024): Sequences and Series | Mathematics (Maths) for JEE Main & Advanced

JEE Advanced Previous Year Questions (2018 - 2024): Sequences and Series | Mathematics (Maths) for JEE Main & Advanced

2022

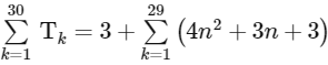
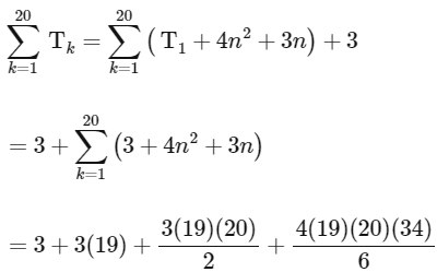
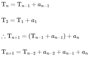
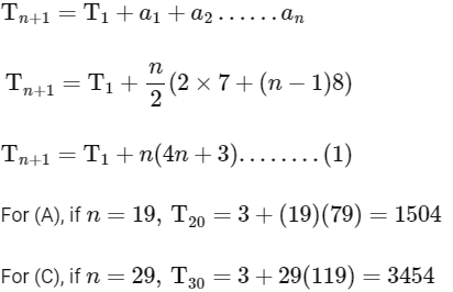
Q1: Let a1, a2, a3,… be an arithmetic progression with a1 = 7 and common difference 8. Let T1, T2, T3,… be such that T1 = 3 and Tn+1 − Tn = an for n ≥ 1. Then, which of the following is/are TRUE ? 
(a) T20 = 1604
(b) JEE Advanced Previous Year Questions (2018 - 2024): Sequences and Series | Mathematics (Maths) for JEE Main & Advanced
(c) T30 = 3454
(d) JEE Advanced Previous Year Questions (2018 - 2024): Sequences and Series | Mathematics (Maths) for JEE Main & Advanced                   [JEE Advanced 2022 Paper 1]
Ans:
(b) & (c)
Here an = 7 + (n - 1)8 and T1 = 3, a1 = 7, d = 8
Also, Tn+1 = Tn + an

JEE Advanced Previous Year Questions (2018 - 2024): Sequences and Series | Mathematics (Maths) for JEE Main & Advanced

So,

JEE Advanced Previous Year Questions (2018 - 2024): Sequences and Series | Mathematics (Maths) for JEE Main & Advanced

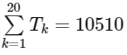
For (B),

JEE Advanced Previous Year Questions (2018 - 2024): Sequences and Series | Mathematics (Maths) for JEE Main & Advanced

= 3 + 10507
=  10510
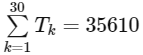
Similarly, for (D)

JEE Advanced Previous Year Questions (2018 - 2024): Sequences and Series | Mathematics (Maths) for JEE Main & Advanced

= 35615

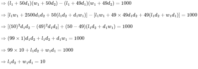
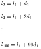
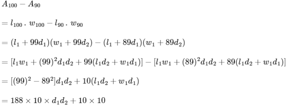
Q2: Let l1, l2,…,l100 be consecutive terms of an arithmetic progression with common difference d1, and let w1, w2,…,w100 be consecutive terms of another arithmetic progression with common difference d2, where d1d= 10. For each i =1, 2,…,100, let Ri be a rectangle with length li, width wi and area Ai. If A51 − A50 = 1000, then the value of A100 − A90 is __________.           [JEE Advanced 2022 Paper 1]
Ans:
18900
Given,
l1, l2,…,l100 are in A.P with common difference d1.
So from property of A.P we can say,
JEE Advanced Previous Year Questions (2018 - 2024): Sequences and Series | Mathematics (Maths) for JEE Main & Advanced

Also given,
w1, w2,…,w100 are in A.P with common difference d2. 
∴ From the property of A.P we can say,

JEE Advanced Previous Year Questions (2018 - 2024): Sequences and Series | Mathematics (Maths) for JEE Main & Advanced

Now, also given,
d1d= 10
and Ri is a rectangle whose length is li and width is wi and area Ai.
We know, area of rectangle 

JEE Advanced Previous Year Questions (2018 - 2024): Sequences and Series | Mathematics (Maths) for JEE Main & Advanced

Given,
A51 − A50 = 1000
JEE Advanced Previous Year Questions (2018 - 2024): Sequences and Series | Mathematics (Maths) for JEE Main & Advanced

Now, 

JEE Advanced Previous Year Questions (2018 - 2024): Sequences and Series | Mathematics (Maths) for JEE Main & Advanced

= 1800 x 10 x 10 + 100
= 18800 + 100
= 18900

2020

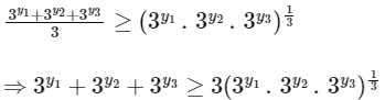
Q1: Let m be the minimum possible value of JEE Advanced Previous Year Questions (2018 - 2024): Sequences and Series | Mathematics (Maths) for JEE Main & Advanced, where y1, y2, y3 are real numbers for which y1+ y2 + y3 = 9. Let M be the maximum possible value of JEE Advanced Previous Year Questions (2018 - 2024): Sequences and Series | Mathematics (Maths) for JEE Main & Advanced, where x1 , x2, x3 are positive real numbers for which x1 + x2 + x3 = 9. Then the value of JEE Advanced Previous Year Questions (2018 - 2024): Sequences and Series | Mathematics (Maths) for JEE Main & Advanced is _________     [JEE Advanced 2020 Paper 1]
Ans: 
8
For real numbers y1, y2, y3, the quantities 3y13y2 and 3y3 are positive real numbers, so according to the AM-GM inequality, we have 

JEE Advanced Previous Year Questions (2018 - 2024): Sequences and Series | Mathematics (Maths) for JEE Main & Advanced

On applying logarithm with base '3', we get

JEE Advanced Previous Year Questions (2018 - 2024): Sequences and Series | Mathematics (Maths) for JEE Main & Advanced

= 1 + 3
= 4
∴ m = 4
Now, for positive real numbers x1, x2 and x3 according to AM-GM inequality, we have

JEE Advanced Previous Year Questions (2018 - 2024): Sequences and Series | Mathematics (Maths) for JEE Main & Advanced

On applying logarithm with base '3', we get

JEE Advanced Previous Year Questions (2018 - 2024): Sequences and Series | Mathematics (Maths) for JEE Main & Advanced

∴ M = 3
Now, JEE Advanced Previous Year Questions (2018 - 2024): Sequences and Series | Mathematics (Maths) for JEE Main & Advanced
= JEE Advanced Previous Year Questions (2018 - 2024): Sequences and Series | Mathematics (Maths) for JEE Main & Advanced
= 6 + 2
= 8

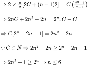
Q2: Let a1, a2, a3, .... be a sequence of positive integers in arithmetic progression with common difference 2. Also, let b1, b2, b3, .... be a sequence of positive integers in geometric progression with common ratio 2. If a1 = b1 = c, then the number of all possible values of c, for which the equality 2(a1 + a2 + ... + an) = b1 + b2 + ... + bn holds for some positive integer n, is ____                [JEE Advanced 2020 Paper 1]
Ans: 1
Given arithmetic progression of positive integers terms a1, a2, a3, ..... having common difference '2' and geometric progression of positive integers terms b1, b2, b3, .... having common ratio '2' with a1 = b1 = c, such that:
2(a1 + a2 + a3 + ... + an) = b1 + b2 + b3 + ... + bn 

JEE Advanced Previous Year Questions (2018 - 2024): Sequences and Series | Mathematics (Maths) for JEE Main & Advanced

and, also C > 0  n > 2
 The possible values of n are 3, 4, 5, 6 

JEE Advanced Previous Year Questions (2018 - 2024): Sequences and Series | Mathematics (Maths) for JEE Main & Advanced
 The required value of C = 12 for n = 3
so number of possible value of C is 1 

2019

Q1: Let AP(a; d) denote the set of all the terms of an infinite arithmetic progression with first term a and common difference d > 0. If JEE Advanced Previous Year Questions (2018 - 2024): Sequences and Series | Mathematics (Maths) for JEE Main & Advanced = AP(a ; d), then a + d equals ________      [JEE Advanced 2019 Paper 1]
Ans: 157
Given that, AP(a ; d) denote the set of all the terms of an infinite arithmetic progression with first term 'a' and common difference d > 0.
Now, let mth term of first progression

JEE Advanced Previous Year Questions (2018 - 2024): Sequences and Series | Mathematics (Maths) for JEE Main & Advanced

and nth term of progression

JEE Advanced Previous Year Questions (2018 - 2024): Sequences and Series | Mathematics (Maths) for JEE Main & Advanced

and rth term of third progression

JEE Advanced Previous Year Questions (2018 - 2024): Sequences and Series | Mathematics (Maths) for JEE Main & Advanced are equal.
Then,  3m - 2 = 5n - 3 = 7r - 4
Now, for JEE Advanced Previous Year Questions (2018 - 2024): Sequences and Series | Mathematics (Maths) for JEE Main & Advanced
the common terms of first and second progressions, JEE Advanced Previous Year Questions (2018 - 2024): Sequences and Series | Mathematics (Maths) for JEE Main & Advanced
 n = 2, 5, 11, ...
and the common terms of second and the third progressions, 

JEE Advanced Previous Year Questions (2018 - 2024): Sequences and Series | Mathematics (Maths) for JEE Main & Advanced

Now, the first common term of first, second and third progressions (when n = 11), so
a = 2 + (11 - 1)5 = 52
and d = LCM (3, 5, 7) = 105
So, JEE Advanced Previous Year Questions (2018 - 2024): Sequences and Series | Mathematics (Maths) for JEE Main & Advanced = AP(52; 105)
So, a = 52 and d = 105
 a + d = 157.00 

2018

Q1: Let X be the set consisting of the first 2018 terms of the arithmetic progression 1, 6, 11, ...., and Y be the set consisting of the first 2018 terms of the arithmetic progression 9, 16, 23, .... . Then, the number of elements in the set X ∪ Y is _____.             [JEE Advanced 2018 Paper 1]
Ans: 3748
Here, X = {1, 6, 11, ....., 10086}
[ an = a + (n  1)d]
and Y = {9, 16, 23, ..., 14128}
 Y = {16, 51, 86, ...}
tn of X  Y is less than or equal to 10086
 tn = 16 + (n  1) 35  10086
 n  288.7
 n = 288
 n(X  Y) = n(X) + n(Y)  n(X  Y)
 n(X  Y) = 2018 + 2018  288 
= 3748 

The document JEE Advanced Previous Year Questions (2018 - 2024): Sequences and Series | Mathematics (Maths) for JEE Main & Advanced is a part of the JEE Course Mathematics (Maths) for JEE Main & Advanced.
All you need of JEE at this link: JEE
177 videos|590 docs|160 tests

FAQs on JEE Advanced Previous Year Questions (2018 - 2024): Sequences and Series - Mathematics (Maths) for JEE Main & Advanced

1. What are the important topics in Sequences and Series for JEE Advanced?
Ans. Important topics in Sequences and Series for JEE Advanced include arithmetic progressions, geometric progressions, harmonic progressions, convergence and divergence of series, and the application of the Binomial theorem. Students should also focus on special series like the sum of squares and cubes, and the properties of infinite series.
2. How can I improve my problem-solving skills in Sequences and Series for JEE?
Ans. To improve problem-solving skills in Sequences and Series, practice a variety of problems from previous years' JEE papers and reference books. Understand the fundamental concepts thoroughly, use visualization techniques, and work on timed practice to enhance speed and accuracy. Joining study groups for discussion can also be beneficial.
3. Are there any specific types of problems that frequently appear in Sequences and Series in JEE Advanced?
Ans. Yes, JEE Advanced often features problems involving the application of formulas for sums of series, convergence tests for infinite series, and manipulating sequences. Additionally, problems that require deriving or proving specific properties of sequences or series are common, so students should be well-prepared for these types.
4. What is the best way to revise Sequences and Series before the JEE Advanced exam?
Ans. The best way to revise Sequences and Series is to create a concise summary of key formulas and theorems, followed by practicing previous years' questions systematically. Focus on understanding the derivations and applications of the formulas. Additionally, taking mock tests can help in assessing your preparation level and managing time.
5. How can I relate Sequences and Series to other topics in Mathematics for JEE Advanced?
Ans. Sequences and Series often relate to topics like Calculus, where limits and derivatives of series are explored, and Algebra, particularly in understanding polynomial roots and behavior. Concepts from combinatorics and probability can also intersect with series, especially in problems involving expected values and distributions. Understanding these connections can enhance overall problem-solving ability.
Related Searches

shortcuts and tricks

,

ppt

,

Previous Year Questions with Solutions

,

JEE Advanced Previous Year Questions (2018 - 2024): Sequences and Series | Mathematics (Maths) for JEE Main & Advanced

,

past year papers

,

mock tests for examination

,

Summary

,

Free

,

Exam

,

JEE Advanced Previous Year Questions (2018 - 2024): Sequences and Series | Mathematics (Maths) for JEE Main & Advanced

,

video lectures

,

Semester Notes

,

Extra Questions

,

study material

,

MCQs

,

pdf

,

JEE Advanced Previous Year Questions (2018 - 2024): Sequences and Series | Mathematics (Maths) for JEE Main & Advanced

,

Important questions

,

Sample Paper

,

Objective type Questions

,

practice quizzes

,

Viva Questions

;