JEE Exam  >  JEE Notes  >  Physics for JEE Main & Advanced  >  JEE Advanced Previous Year Questions (2018 - 2024): Current Electricity

JEE Advanced Previous Year Questions (2018 - 2024): Current Electricity | Physics for JEE Main & Advanced PDF Download

2024

No Question in JEE Advanced Exam from Chapter Current Electricity in Year 2023 !

2023

No Question in JEE Advanced Exam from Chapter Current Electricity in Year 2023 !

2022

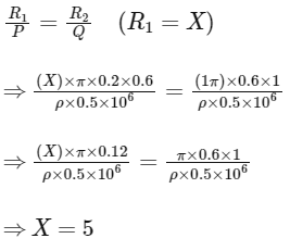
Q1: Two resistances R1 = XΩ and R2 = 1Ω are connected to a wire AB of uniform resistivity, as shown in the figure. The radius of the wire varies linearly along its axis from   0.2 mm at A to   1 mm at B. A galvanometer (G) connected to the center of the wire,   50 cm from each end along its axis, shows zero deflection when A and B are connected to a battery. The value of X is ____________. [JEE Advanced 2022 Paper 2]

JEE Advanced Previous Year Questions (2018 - 2024): Current Electricity | Physics for JEE Main & Advanced

JEE Advanced Previous Year Questions (2018 - 2024): Current Electricity | Physics for JEE Main & AdvancedView Answer  JEE Advanced Previous Year Questions (2018 - 2024): Current Electricity | Physics for JEE Main & Advanced

Ans: 5
Solution: According to the given condition wire is having different cross-section at two junction. (Frustum shaped conductor)

JEE Advanced Previous Year Questions (2018 - 2024): Current Electricity | Physics for JEE Main & Advanced

JEE Advanced Previous Year Questions (2018 - 2024): Current Electricity | Physics for JEE Main & Advanced

For the shown conductor in the diagram.

JEE Advanced Previous Year Questions (2018 - 2024): Current Electricity | Physics for JEE Main & Advanced

JEE Advanced Previous Year Questions (2018 - 2024): Current Electricity | Physics for JEE Main & Advanced

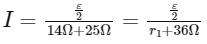
Hence, Resistance of left  50 cm wire

JEE Advanced Previous Year Questions (2018 - 2024): Current Electricity | Physics for JEE Main & Advanced

Resistance of Right  50 cm wire

JEE Advanced Previous Year Questions (2018 - 2024): Current Electricity | Physics for JEE Main & Advanced

For wheatstone balanced condition,

JEE Advanced Previous Year Questions (2018 - 2024): Current Electricity | Physics for JEE Main & Advanced

Q2:  In the following circuit JEE Advanced Previous Year Questions (2018 - 2024): Current Electricity | Physics for JEE Main & Advanced. The charge stored in C3 is ____________ μC.          [JEE Advanced 2022 Paper 1]
JEE Advanced Previous Year Questions (2018 - 2024): Current Electricity | Physics for JEE Main & Advanced

Q3: The figure shows a circuit having eight resistances of  each, labelled R1 to R8, and two ideal batteries with voltages  ε1=12 V and  ε2=6 V.  

JEE Advanced Previous Year Questions (2018 - 2024): Current Electricity | Physics for JEE Main & Advanced

Which of the following statement(s) is(are) correct?
(a) The magnitude of current flowing through R1 is 7.2 A.
(b) The magnitude of current flowing through R2 is 1.2 A.
(c) The magnitude of current flowing through R3 is 4.8 A.
(d) The magnitude of current flowing through R5 is 2.4 A. [JEE Advanced 2022 Paper 1]

JEE Advanced Previous Year Questions (2018 - 2024): Current Electricity | Physics for JEE Main & AdvancedView Answer  JEE Advanced Previous Year Questions (2018 - 2024): Current Electricity | Physics for JEE Main & Advanced
Ans:(a), (b), (c) & (d)

Solution:JEE Advanced Previous Year Questions (2018 - 2024): Current Electricity | Physics for JEE Main & Advanced

Point A and B are at same potential so they can be merged/folded.

JEE Advanced Previous Year Questions (2018 - 2024): Current Electricity | Physics for JEE Main & Advanced

For loop 1

JEE Advanced Previous Year Questions (2018 - 2024): Current Electricity | Physics for JEE Main & Advanced

For loop 2

JEE Advanced Previous Year Questions (2018 - 2024): Current Electricity | Physics for JEE Main & Advanced

JEE Advanced Previous Year Questions (2018 - 2024): Current Electricity | Physics for JEE Main & Advanced

= 1.2 A

Current in R= 24/5 = 4.8A

Current in R4 = 12/5 = 2.4A

2021

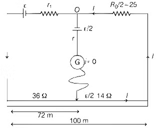
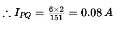
Q1: In order to measure the internal resistance r1 of a cell of emf E, a meter bridge of wire resistance R0 = 50Ω, a resistance R0/2, another cell of emf E/2 (internal resistance r) and a galvanometer G are used in a circuit, as shown in the figure. If the null point is found at l = 72 cm, then the value of r1 = __________ Ω. [JEE Advanced 2021 Paper 2]JEE Advanced Previous Year Questions (2018 - 2024): Current Electricity | Physics for JEE Main & Advanced

JEE Advanced Previous Year Questions (2018 - 2024): Current Electricity | Physics for JEE Main & AdvancedView Answer  JEE Advanced Previous Year Questions (2018 - 2024): Current Electricity | Physics for JEE Main & Advanced

Ans: 3

Solution: 

JEE Advanced Previous Year Questions (2018 - 2024): Current Electricity | Physics for JEE Main & AdvancedResistance of potential wire, R0 = 50Ω

Resistance of 100 m wire = 50Ω

So, resistance of 72 cm wire = 50 / 100 × 72 = 36Ω

Current, JEE Advanced Previous Year Questions (2018 - 2024): Current Electricity | Physics for JEE Main & Advanced

JEE Advanced Previous Year Questions (2018 - 2024): Current Electricity | Physics for JEE Main & Advanced

2020

Q1: In the balanced condition, the values of the resistances of the four arms of a Wheatstone bridge are shown in the figure below. The resistance R3 has temperature coefficient 0.0004C-1. If the temperature of R3 is increased by 100C, the voltage developed between S and T will be ________ volt.               [JEE Advanced 2020 Paper 2]

JEE Advanced Previous Year Questions (2018 - 2024): Current Electricity | Physics for JEE Main & Advanced

JEE Advanced Previous Year Questions (2018 - 2024): Current Electricity | Physics for JEE Main & AdvancedView Answer  JEE Advanced Previous Year Questions (2018 - 2024): Current Electricity | Physics for JEE Main & Advanced

Ans: 0.27 

Solution:JEE Advanced Previous Year Questions (2018 - 2024): Current Electricity | Physics for JEE Main & Advanced

Now,

JEE Advanced Previous Year Questions (2018 - 2024): Current Electricity | Physics for JEE Main & Advanced

JEE Advanced Previous Year Questions (2018 - 2024): Current Electricity | Physics for JEE Main & Advanced

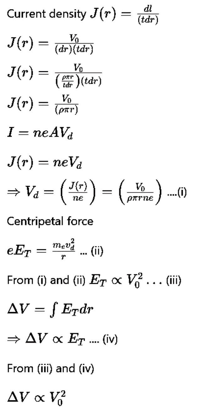
Q2: Shown in the figure is a semicircular metallic strip that has thickness t and resistivity ρ. Its inner radius is R1 and outer radius is R2. If a voltage V0 is applied between its two ends, a current I flows in it. In addition, it is observed that a transverse voltage ΔV develops between its inner and outer surfaces due to purely kinetic effects of moving electrons (ignore any role of the magnetic field due to the current). Then (figure is schematic and not drawn to scale)    [JEE Advanced 2020 Paper 1]

JEE Advanced Previous Year Questions (2018 - 2024): Current Electricity | Physics for JEE Main & Advanced

(a) JEE Advanced Previous Year Questions (2018 - 2024): Current Electricity | Physics for JEE Main & Advanced
(b) the outer surface is at a higher voltage than the inner surface
(c) the outer surface is at a lower voltage than the inner surface
(d) JEE Advanced Previous Year Questions (2018 - 2024): Current Electricity | Physics for JEE Main & Advanced

JEE Advanced Previous Year Questions (2018 - 2024): Current Electricity | Physics for JEE Main & AdvancedView Answer  JEE Advanced Previous Year Questions (2018 - 2024): Current Electricity | Physics for JEE Main & Advanced

Ans: (a), (c) & (d)

Solution: JEE Advanced Previous Year Questions (2018 - 2024): Current Electricity | Physics for JEE Main & Advanced

All the elements are in parallel.

JEE Advanced Previous Year Questions (2018 - 2024): Current Electricity | Physics for JEE Main & Advanced

So, Option (a) is correct.

JEE Advanced Previous Year Questions (2018 - 2024): Current Electricity | Physics for JEE Main & Advanced

Electrons are revolving in a circular path so there is a centripetal force on the electron, which provide a transverse electric field.
The direction of transverse electric field is radially out side hence inner surface is at higher potential.
So, option (C) is correct.

JEE Advanced Previous Year Questions (2018 - 2024): Current Electricity | Physics for JEE Main & AdvancedJEE Advanced Previous Year Questions (2018 - 2024): Current Electricity | Physics for JEE Main & Advanced

JEE Advanced Previous Year Questions (2018 - 2024): Current Electricity | Physics for JEE Main & Advanced

2019

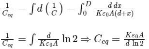
Q1: A parallel plate capacitor of capacitance C has spacing d between two plates having area A. The region between the plates is filled with N dielectric layers, parallel to its plates, each with thickness, JEE Advanced Previous Year Questions (2018 - 2024): Current Electricity | Physics for JEE Main & Advanced. The dielectric constant of the mth layer is JEE Advanced Previous Year Questions (2018 - 2024): Current Electricity | Physics for JEE Main & Advanced. For a very large N(>103), the capacitance C is JEE Advanced Previous Year Questions (2018 - 2024): Current Electricity | Physics for JEE Main & Advanced.

The value of α will be______
[∈0 is the permittivity of free space.] [JEE Advanced 2019 Paper 1]

JEE Advanced Previous Year Questions (2018 - 2024): Current Electricity | Physics for JEE Main & AdvancedView Answer  JEE Advanced Previous Year Questions (2018 - 2024): Current Electricity | Physics for JEE Main & Advanced

Ans: 1
Solution:JEE Advanced Previous Year Questions (2018 - 2024): Current Electricity | Physics for JEE Main & AdvancedParallel plate capacitor,

JEE Advanced Previous Year Questions (2018 - 2024): Current Electricity | Physics for JEE Main & Advanced

Integration on both sides, we get

JEE Advanced Previous Year Questions (2018 - 2024): Current Electricity | Physics for JEE Main & Advanced

Therefore, α = 1.

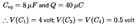
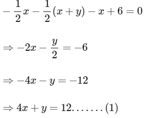
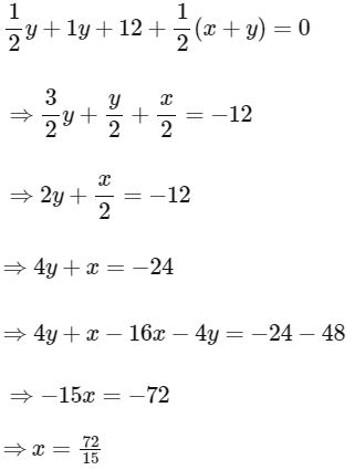
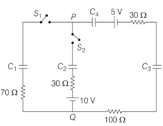
Q2: In the circuit shown, initially there is no charge on the capacitors and keys S1 and S2 are open. The values of the capacitors are C1 = 10μF, C2 = 30μF and C3 = C4 = 80μF. 

JEE Advanced Previous Year Questions (2018 - 2024): Current Electricity | Physics for JEE Main & Advanced

Which of the statement(s) is/are correct?
(a) The key S1 is kept closed for long time such that capacitors are fully charged. Now, key S2 is closed, at this time, the instantaneous current across 30Ω resistor (between points P and Q) will be 0.2 A (round off to 1st decimal place).
(b) If key S1 is kept closed for long time such that capacitors are fully charged, the voltage across the capacitor C1 will be 4V.
(c) At time t = 0, the key S1 is closed, the instantaneous current in the closed circuit will be 25 mA.
(d) If key S1 is kept closed for long time such that the capacitors are fully charged, the voltage difference between points P and Q will be 10 V. [JEE Advanced 2019 Paper 1]
JEE Advanced Previous Year Questions (2018 - 2024): Current Electricity | Physics for JEE Main & AdvancedView Answer  JEE Advanced Previous Year Questions (2018 - 2024): Current Electricity | Physics for JEE Main & Advanced
Ans: (b) & (c)
Solution: Just after closing of switch charge on any capacitor is zero.
∴  Replace all capacitors by conducting wires.

JEE Advanced Previous Year Questions (2018 - 2024): Current Electricity | Physics for JEE Main & Advanced

Current flow in the circuit,
JEE Advanced Previous Year Questions (2018 - 2024): Current Electricity | Physics for JEE Main & Advanced

At steady state for S1 closed is

JEE Advanced Previous Year Questions (2018 - 2024): Current Electricity | Physics for JEE Main & Advanced

At steady state potential difference between 'P' and 'Q' is 4 volt.

Now when switch Sis closed (Then equivalent circuit)

JEE Advanced Previous Year Questions (2018 - 2024): Current Electricity | Physics for JEE Main & Advanced

The document JEE Advanced Previous Year Questions (2018 - 2024): Current Electricity | Physics for JEE Main & Advanced is a part of the JEE Course Physics for JEE Main & Advanced.
All you need of JEE at this link: JEE
268 videos|740 docs|171 tests

FAQs on JEE Advanced Previous Year Questions (2018 - 2024): Current Electricity - Physics for JEE Main & Advanced

1. What is the principle behind Kirchhoff's laws in current electricity?
Ans.Kirchhoff's laws consist of two principles: the junction rule and the loop rule. The junction rule states that the total current entering a junction must equal the total current leaving the junction, reflecting the conservation of charge. The loop rule states that the sum of the potential differences (voltage) around any closed loop in a circuit must equal zero, which is based on the conservation of energy.
2. How do you calculate equivalent resistance in series and parallel circuits?
Ans.In a series circuit, the equivalent resistance (R_eq) is the sum of all resistances: R_eq = R1 + R2 + R3 + ... In a parallel circuit, the equivalent resistance is found using the formula: 1/R_eq = 1/R1 + 1/R2 + 1/R3 + ..., meaning the inverse of the total resistance is equal to the sum of the inverses of each individual resistance.
3. What is Ohm's Law and how is it applied in circuit calculations?
Ans.Ohm's Law states that the current (I) flowing through a conductor between two points is directly proportional to the voltage (V) across the two points and inversely proportional to the resistance (R) of the conductor. It is expressed as V = IR, and is used to calculate either voltage, current, or resistance in a circuit when the other two quantities are known.
4. What are the factors affecting the resistance of a conductor?
Ans.The resistance of a conductor is affected by several factors: the material of the conductor (different materials have different resistivities), the length of the conductor (longer conductors have higher resistance), the cross-sectional area (thicker conductors have lower resistance), and the temperature (most conductors have increased resistance at higher temperatures).
5. How can the concept of electric power be defined and calculated in a circuit?
Ans.Electric power (P) is defined as the rate at which electrical energy is transferred by an electric circuit. It can be calculated using the formula P = VI, where V is the voltage and I is the current. Additionally, power can also be expressed in terms of resistance using P = I^2R or P = V^2/R, depending on which quantities are known.
Related Searches

past year papers

,

Semester Notes

,

Exam

,

video lectures

,

study material

,

practice quizzes

,

JEE Advanced Previous Year Questions (2018 - 2024): Current Electricity | Physics for JEE Main & Advanced

,

Objective type Questions

,

Previous Year Questions with Solutions

,

Free

,

shortcuts and tricks

,

JEE Advanced Previous Year Questions (2018 - 2024): Current Electricity | Physics for JEE Main & Advanced

,

Viva Questions

,

JEE Advanced Previous Year Questions (2018 - 2024): Current Electricity | Physics for JEE Main & Advanced

,

pdf

,

mock tests for examination

,

Summary

,

Important questions

,

MCQs

,

ppt

,

Extra Questions

,

Sample Paper

;