Physics Exam  >  Physics Notes  >  Electricity & Magnetism  >  Conductors, Capacitors & Dielectrics

Conductors, Capacitors & Dielectrics | Electricity & Magnetism - Physics PDF Download

Basic Properties of Conductors

  1. Conductors, Capacitors & Dielectrics | Electricity & Magnetism - Physics inside a conductor.
  2. ρ = 0 inside a conductor.
  3. Any net charge resides on the surface.
  4. A conductor is an equipotential.
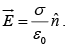
  5. Conductors, Capacitors & Dielectrics | Electricity & Magnetism - Physics is perpendicular to the surface, just outside a conductor.
    Because the field inside a conductor is zero, the boundary condition
    Conductors, Capacitors & Dielectrics | Electricity & Magnetism - Physics requires that the field immediately outside is  Conductors, Capacitors & Dielectrics | Electricity & Magnetism - Physics
    In terms of the potential equation,
    Conductors, Capacitors & Dielectrics | Electricity & Magnetism - Physics

Conductors, Capacitors & Dielectrics | Electricity & Magnetism - Physics

These equations enable us to calculate the surface charge on a conductor if we can determine Conductors, Capacitors & Dielectrics | Electricity & Magnetism - Physics or V.

The force per unit area on the conductor is
Conductors, Capacitors & Dielectrics | Electricity & Magnetism - Physics

This amounts to an outwards electrostatic pressure on the surface, tending to draw the conductor into the field, regardless of the sign of σ. Expressing the pressure in terms of the field just outside the surface, Conductors, Capacitors & Dielectrics | Electricity & Magnetism - Physics

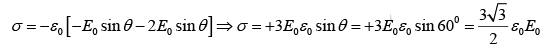
Example 5: A spherical conductor of radius a is placed in a uniform electric field Conductors, Capacitors & Dielectrics | Electricity & Magnetism - Physics The potential at a point P (r,θ) for r >a, is given by  Conductors, Capacitors & Dielectrics | Electricity & Magnetism - Physicswhere r is the distance of P from the center O of the sphere and θ is the angle OP makes with the z-axis. Then the charge density on the sphere at θ = 60° is  
Conductors, Capacitors & Dielectrics | Electricity & Magnetism - Physics

Conductors, Capacitors & Dielectrics | Electricity & Magnetism - PhysicsConductors, Capacitors & Dielectrics | Electricity & Magnetism - Physics

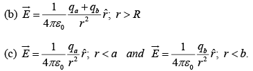
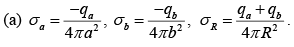
Example 6: Two spherical cavities, of radii a and b, are hollowed out from the interior of a conducting sphere of radius R . At the center of each cavity a point charge is placed, call these charges qa and qb.
(a) Find the surface charges σa, σb andσR.
(b) What is the field outside the conductor?
(c) What is the field within each cavity?
(d) What is the force on qa and qb?
(e) If a third charge qc, were brought near the conductor, which of the above answers would change?
 
Conductors, Capacitors & Dielectrics | Electricity & Magnetism - Physics

Conductors, Capacitors & Dielectrics | Electricity & Magnetism - PhysicsConductors, Capacitors & Dielectrics | Electricity & Magnetism - Physics

(d) Zero
(e) σR will change and hence the electric field outside the conductor will also change.

Capacitors 

  • A capacitor is a device utilized for storing electric charge, with applications ranging from filtering static in radio reception to storing energy in heart defibrillators. Typically, commercial capacitors consist of two conducting parts placed close together but not touching.
  • An insulator is often used between the two plates to provide separation, as discussed further below in the section on dielectrics. 
  • When battery terminals are connected to an initially uncharged capacitor, equal amounts of a positive and negative charge, +Q and –Q, are separated into two plates. While the capacitor remains neutral overall, we describe it as storing a charge Q in this scenario.

Parallel plate capacitor Parallel plate capacitor 

  • The amount of charge Q a capacitor can store depends on two major factors—the voltage applied and the capacitor’s physical characteristics, such as its size.
  • A system consisting of two identical, parallel conducting plates separated by a distance, as depicted in the diagram above, is termed a parallel plate capacitor. 
  • Each electric field line originates from an individual positive charge and terminates at a negative charge, indicating that more field lines correspond to a greater amount of charge. Consequently, the electric field strength is directly proportional to Q.

                                                                                                                                                       E ∝ Q

          we know that the voltage across parallel plates is

                                                                                                                                                      V = Ed.

           Thus, VE. It follows, then, that VQ, and conversely,

                                                                                                                                                         QV

  • The amount of charge stored in a capacitor increases with the applied voltage.
  • Capacitors with different physical characteristics will store varying amounts of charge for the same applied voltage. We define capacitance, denoted as C, such that the charge Q stored in a capacitor is directly proportional to C. The charge stored in a capacitor can be calculated using the equation Q = CV, where Q is the charge, C is the capacitance, and V is the voltage.
  • This equation highlights the two main factors influencing the charge stored: the physical characteristics of the capacitor (C) and the voltage (V). Rearranging the equation, we find that capacitance (C) is the amount of charge stored per volt, expressed as 

                                                                                                                                                         C = Q/V

  • The unit of capacitance is the farad (F), named for Michael Faraday (1791–1867), an English scientist who contributed to the fields of electromagnetism and electrochemistry. Since capacitance is the charge per unit voltage, we see that a farad is a coulomb per volt. 

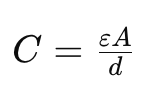
Capacitance of a Parallel Plate Capacitor

  • It can be shown that for a parallel plate capacitor, there are only two factors (A and d) that affect its capacitance C. The capacitance of a parallel plate capacitor in equation form is given by: 

Conductors, Capacitors & Dielectrics | Electricity & Magnetism - Physics

          The constant ε0 is the permittivity of free space; its numerical value in SI units is ε0 = 8.85 × 10−12 F/m. 

Example 1: What is the capacitance of a parallel plate capacitor with metal plates, each of area 1.00 m2, separated by 1.00 mm?Solution: To calculate the capacitance of a parallel plate capacitor, we can use the formula:

Conductors, Capacitors & Dielectrics | Electricity & Magnetism - Physics

�=�0�where: C is the capacitance, εo is the vacuum permittivity (8.85×10−128.85×10-12 F/m), A is the area of each plate (1.00 m²), d is the separation between the plates (1.00 mm = 0.001 m). Plugging in the values, we get:

Conductors, Capacitors & Dielectrics | Electricity & Magnetism - PhysicsDielectrics 

  • It is clear from the mathematical expression of the capacitance of a parallel plate capacitor that to increase the charge-storing capacity of a capacitor, we need to reduce the value of d. But this is not a viable practical solution to reduce the value of d. This can cause a breakdown as the value of voltage will also increase (E=V/d).
  • To address this challenge, a key approach is to insert an insulating material, known as a dielectric, between the plates of a capacitor and minimize the distance, d, between them. Reducing d not only increases the capacitance but also allows many insulators to endure higher electric fields than air without breaking down.
  • For a parallel plate capacitor, with a dielectric, the value of capacitance is given as: Conductors, Capacitors & Dielectrics | Electricity & Magnetism - Physics where k is the dielectric constant. 
  • Values of the dielectric constant κ for various materials are given in the table below. Note that κ for vacuum is exactly 1, and so the above equation is valid in that case, too.

Dielectric Constants of various materials Dielectric Constants of various materials 

  • The dielectric constant for air is very close to 1 so air-filled capacitors act much like those with a vacuum between their plates.
  • The maximum electric field strength above which an insulating material begins to break down and conduct is called its dielectric strength.

How Does a Dielectric Increases Capacitance?  

The increase in capacitance of a capacitor with dielectric can be explained in two ways:

  • On a microscopic level, the increase in capacitance due to a dielectric is attributed to the polarization of the insulator. The ease of polarization is determined by the insulator's dielectric constant, κ
  • For instance, water is polar because one end of its molecule carries a slight positive charge while the other end bears a slight negative charge. This polarity grants water a relatively high dielectric constant of 80. The concept of polarization is best understood through the characteristics of the Coulomb force. 
  • The Coulomb force between the nearest ends of the molecules and the charges on the plates is attractive and robust because of their proximity. This attraction leads to a greater accumulation of charge on the plates compared to a space with opposite charges at a distance d away. 

Polarisation caused due to the presence of dielectric Polarisation caused due to the presence of dielectric 

  • Another approach to understanding how a dielectric enhances capacitance is to examine its impact on the electric field inside the capacitor. 
  • As these lines terminate on charges within the dielectric, fewer lines traverse from one side of the capacitor to the other. 
  • Consequently, the electric field strength is diminished compared to a vacuum between the plates, despite the same charge existing on the plate due to the presence of the dielectric. 
  • Consequently, for the same charge Q, there is a lower voltage V, and since �=��C= Q/V, the capacitance C is increased.

Electric field inside the capacitor with dielectricElectric field inside the capacitor with dielectric

Example 2: Find the capacitance of a parallel plate capacitor having plates of area 5.00 m2 that are separated by 0.100 mm of Teflon.

Solution: To find the capacitance of the parallel plate capacitor with a dielectric, we can use the formula:

Conductors, Capacitors & Dielectrics | Electricity & Magnetism - Physics

where C is the capacitance

ε is the permittivity of Teflon, which is, 2.1×10-11 F/m

A is the area, which is, 5.00 m2

d is the separation between the plates, which is, 0.1 mm=0.0001 m

Plugging the values, we get 

Conductors, Capacitors & Dielectrics | Electricity & Magnetism - Physics

Example 3: A certain parallel plate capacitor has plates of area 4.00 m2, separated by 0.0100 mm of nylon, and stores 0.170 C of charge. What is the applied voltage?

Solution: To find the capacitance of the parallel plate capacitor with a dielectric, we can use the formula:

Conductors, Capacitors & Dielectrics | Electricity & Magnetism - Physics

where C is the capacitance

ε is the permittivity of Nylon, which is, 3.0×10-11 F/m

A is the area, which is, 4.00 m2

d is the separation between the plates, which is, 0.01 mm=0.00001 m

Plugging the values, we get 

Conductors, Capacitors & Dielectrics | Electricity & Magnetism - PhysicsNow we know that, C=Q/V

where, Q= 0.170 C

V=Q/C 

V=(0.170)/(1.2 x 10-5)

V=14,166.67 V

 

The document Conductors, Capacitors & Dielectrics | Electricity & Magnetism - Physics is a part of the Physics Course Electricity & Magnetism.
All you need of Physics at this link: Physics
82 videos|32 docs|22 tests

FAQs on Conductors, Capacitors & Dielectrics - Electricity & Magnetism - Physics

1. How does the capacitance of a parallel plate capacitor depend on the area of the plates and the distance between them?
Ans. The capacitance of a parallel plate capacitor is directly proportional to the area of the plates and inversely proportional to the distance between them. This relationship is given by the formula C = ε₀ * A / d, where C is the capacitance, ε₀ is the permittivity of free space, A is the area of the plates, and d is the distance between the plates.
2. What role does the dielectric material play in increasing the capacitance of a capacitor?
Ans. A dielectric material increases the capacitance of a capacitor by reducing the electric field between the plates. When a dielectric is inserted between the plates of a capacitor, it polarizes in response to the electric field, creating an opposing electric field that reduces the overall field strength. This allows for more charge to be stored on the plates, increasing the capacitance.
3. How does the presence of a conductor affect the capacitance of a capacitor?
Ans. The presence of a conductor does not affect the capacitance of a capacitor. The capacitance of a capacitor depends only on the geometry of the plates and the dielectric material between them. The conductor can influence the charging and discharging of the capacitor but does not directly impact its capacitance.
4. Can the capacitance of a capacitor be negative?
Ans. No, the capacitance of a capacitor cannot be negative. Capacitance is a physical quantity that represents the ability of a system to store charge, and it is always a positive value. Negative capacitance would imply the ability to "anti-store" charge, which is not physically possible.
5. How does the dielectric strength of a material affect the capacitance of a capacitor?
Ans. The dielectric strength of a material determines its ability to withstand high electric fields without breaking down. A higher dielectric strength allows for a greater electric field to be applied across the dielectric, which can increase the capacitance of the capacitor by allowing for a higher charge to be stored on the plates.
Related Searches

Exam

,

Viva Questions

,

Conductors

,

MCQs

,

Previous Year Questions with Solutions

,

Sample Paper

,

pdf

,

practice quizzes

,

Important questions

,

video lectures

,

Conductors

,

ppt

,

Summary

,

Objective type Questions

,

past year papers

,

Extra Questions

,

Capacitors & Dielectrics | Electricity & Magnetism - Physics

,

shortcuts and tricks

,

Semester Notes

,

Capacitors & Dielectrics | Electricity & Magnetism - Physics

,

study material

,

mock tests for examination

,

Free

,

Conductors

,

Capacitors & Dielectrics | Electricity & Magnetism - Physics

;