Q16: The response h(t) of a linear time invariant system to an impulse δ(t), under initially relaxed condition is h(t) = e−t + e−2t. The response of this system for a unit step input u(t) is (2011)
(a) u(t) + e−t + e−2t
(b) (e−t + e−2t)u(t)
(c) (1.5 − e−t − 0.5e−2t)u(t)
(d) e−tδ(t) + e−2tu(t)
Ans: (c)
Sol: Transafer function of system is impulse response of the system with zero initial conditions.
Transfer function H(s) = L(e−t + e−2t)

Q17: A function y(t) satisfies the following differential equation :
where δ(t) is the delta function. Assuming zero initial condition, and denoting the unit step function by u(t), y(t) can be of the form (2008)
(a) et
(b) e-t
(c) etu(t)
(d) e−t u(t)
Ans: (d)
Sol: Taking (L.T.) on both sides
Y(s)(s + 1) = 1
Taking inverse laplace transform
y(t) = e−tu(t)
Q18: The system shown in figure below
can be reduced to the form
with (2007)
(a) X = c0s + c1, Y = 1/(s2 + a0s + a1), Z = b0s + b1
(b) X = 1, Y = (c0s + c1)/(s2 + a0s + a1), Z = b0s + b1
(c) X = c1s + c0, Y = (b1s + b0)/(s2 + a1s + a0), Z = 1
(d) X = c1s + c0, Y = 1/(s2 + a1s + a), Z = b1s + b0
Ans: (d)
Sol: The block diagram can be redrawn as
Signal flow graph of the block diagram,
There are two forward paths:
These are four individual loops
All the loop touch forward paths
Using Masson's gain formula


Comparing equation (i) and (ii), we get
Hence, Option (D)is correct.
Q19: When subject to a unit step input, the closed loop control system shown in the figure will have a steady state error of (2005)
(a) -1
(b) -0.5
(c) 0
(d) 0.5
Ans: (c)
Sol: Using signal flow graph,
Forward path gains
Individual loop,
Loop touches forward paths, therefore,
Using Mason's gain formula,

Steady state value of error, using final value theoram,

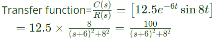
Q20: The unit impulse response of a second order under-damped system starting from rest is given by
c(t) = 12.5e−6tsin8t, t ≥ 0
The steady-state value of the unit step response of the system is equal to (2004)
(a) 0
(b) 0.25
(c) 0.5
(d) 1
Ans: (d)
Sol: Transfer function of a system is the unit impulse response of the system.
when input is unit step, R(s) = 1/s
Steady-state value of response, using final value theorem

Q21: For the block diagram shown in figure, the transfer function C(s)/R(s) is equal to (2004)
(a) 
(b) 
(c) 
(d) 
Ans: (b)
Sol: Method-1: Using block-diagram reduction technique.

So, transfer function
Method-2: Using signal flow graph
Three forward paths, 
The number of individual loap = 0
So graph determinant = Δ = 1
and Δ1 = Δ2 = Δ3 = 1
Applying Mason's gain formula

Q22: For a tachometer, if θ(t) is the rotor displacement in radians, e(t) is the output voltage and Kt is the tachometer constant in V/rad/sec, then the transfer function,
will be (2004)
(a) KtS2
(b) Kt/S
(c) KtS
(d) Kt
Ans: (c)
Sol:
θ(t) = rotor displacement in radians
ω(t) = dθ/dt = angular speed in rad/sec
Output voltage; 
Taking laplace transform on both sides

Q23: The block diagram of a control system is shown in figure. The transfer function G(s) = Y(s)/U(s) of the system is (2003)
(a) 
(b) 
(c) 
(d) 
Ans: (b)
Sol: Integrator are represented as 1/s in s-domain
As per the block diagram, the corresponding signal flow graph is drawn
One forward path P1 = 2/s2
The individual loops are,
L1 and L2 are non-touching loops
L1L2 = 36/s2
The loops touches the forward path Δ1 = 1
The graph determinant is
Applying mason's gain formula,

Q24: A control system with certain excitation is governed by the following mathematical equation

The natural time constant of the response of the system are (2003)
(a) 2 sec and 5 sec
(b) 3 sec and 6 sec
(c) 4 sec and 5 sec
(d) 1/3 sec and 1/6 sec
Ans: (b)
Sol: Natural time constant of the response depends only on poles of the system.

Q25: A control system is defined by the following mathematical relationship

The response of the system as t → ∞ is (2003)
(a) x = 6
(b) x = 2
(c) x = 2.4
(d) x = -2
Ans: (c)
Sol: Taking (LT) on both sides
Responce at t → ∞
Using final value theorem

Q26: The transfer function of the system described by
with u as input and y as output is (2002)
(a) 
(b) 
(c) 
(d) 
Ans: (a)
Sol: 