Q1: Consider the state-space description of an LTI system with matrices
For the input, sin(ωt), ω > 0, the value of ω for which the steady-state output of the system will be zero, is ___ (Round off to the nearest integer). (2023)
(a) 0
(b) 1
(c) 2
(d) 3
Ans: (c)
Sol: We have, transfer function
From eqn. (1), we get

Now, condition for output is zero,
−ω2 + 4 = 0
⇒ ω = 2rad/sec.
Q2: The state space representation of a first-order system is given as
where, x is the state variable, u is the control input and y is the controlled output. Let u = −Kx be the control law, where K is the controller gain. To place a closed-loop pole at -2, the value of K is _________. (2021)
(a) 1
(b) 2
(c) 4
(d) 6
Ans: (a)
Sol:
Characteristic equation,
∴ 

Q3: Consider a state-variable model of a system
where y is the output, and r is the input. The damping ratio ξ and the undamped natural frequency ωn (rad/sec) of the system are given by (2019)
(a) 
(b) 
(c) 
(d) 
Ans: (a)
Sol: Characteristic equation is,

Q4: Consider the system described by the following state space representation
If u(t) is a unit step input and
the value of output y(t) at t = 1 sec (rounded off to three decimal places) is_________ (SET-2 (2017))
(a) 1.284
(b) 1.862
(c) 2.366
(d) 0.655
Ans: (a)
Sol: 
Q5: The transfer function of the system Y(s)/U(s) whose state-space equations are given below is: (SET-1(2017))

(a) 
(b) 
(c) 
(d) 
Ans: (d)
Sol:
Transfer function = C[sI − A]−1 B + D


Q6: Consider a linear time invariant system
with initial condition x(0) at t = 0. Suppose α and β are eigenvectors of (2 x 2) matrix A corresponding to distinct eigenvalues λ1 and λ2 respectively. Then the response x(t) of the system due to initial condition x(0) = α is (SET-2 (2016))
(a) 
(b) 
(c) 
(d) 
Ans: (a)
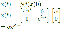
Sol: 
Eigen values are λ1 and λ2
we can write,
Response due to initial conditions,

Q7: In the signal flow diagram given in the figure, u1 and u2 are possible inputs whereas y1 and y2 are possible outputs. When would the SISO system derived from this diagram be controllable and observable? (SET-1(2015))
(a) When u1 is the only input and y1 is the only output
(b) When u2 is the only input and y1 is the only output
(c) When u1 is the only input and y2 is the only output
(d) When u2 is the only input and y2 is the only output
Ans: (b)
Sol: Equations from the flow diagram, 
Considering the SISO cases:[/latex]





Q8: Consider the system described by following state space equations
If u is unit step input, then the steady state error of the system is (SET-3(2014))
(a) 0
(b) 1/2
(c) 2/3
(d) 1
Ans: (a)
Sol:
Transfer function of the given system is given by

Given, input = unit step
∴ Final Value
∴ Error = Final value - Initial value
ess = 0
Q9: The second order dynamic system
has the matrices P, Q and R as follows :
The system has the following controllability and observability properties: (SET-2 (2014))
(a) Controllable and observable
(b) Not controllable but observable
(c) Controllable but not observable
(d) Not controllable and not observable
Ans: (c)
Sol:
For controllability,
Also, for observability,
∴ System is controllable but not observable.
Q10: The state transition matrix for the system
is (SET-2(2014))
(a)
(b)
(c)
(d)
Ans: (c)
Sol:
State transition matric is given by,

∴ State transition matrix 
Q11: The state variable formulation of a system is given as



The system is (2013)
(a) controllable but not observable
(b) not controllable but observable
(c) both controllable and observable
(d) both not controllable and not observable
Ans: (a)
Sol:
The system is controllable.
The system is not observable.
Q12: The state variable formulation of a system is given as



The response y(t) to the unit step input is (2013)
(a) 
(b) 
(c) e−2t−e−t
(d) 1−e−t
Ans: (a)
Sol: 


Q13: The state variable description of an LTI system is given by

where y is the output and u is the input. The system is controllable for (2012)
(a) 
(b) 
(c) 
(d) 
Ans: (d)
Sol:
For stable system to be controllable, the metric Qc must be non singular.

Q14: The system
is (2010)
(a) Stable and controllable
(b) Stable but uncontrollable
(c) Unstable but controllable
(d) Unstable and uncontrollable
Ans: (c)
Sol:
Transfer function = C[sI − A]−1 B
So, denominator of equation (i) gives pole of the system.
(s+1)(s−2) = 0
s = −1 and 2
One pole lies in RHS of s-plane. Hence, system is unstable.
For controllability, Qc is defined as
Hence the system is controllable.
Q15: A system is described by the following state and output equations
when u(t) is the input and y(t) is the output
The state-transition matrix of the above system is (2009)
(a)
(b)
(c)
(d)
Ans: (b)
Sol:
State transition matrix
