Class 3 Exam  >  Class 3 Notes  >  GK Olympiad for Class 3  >  GK Olympiad Model Test Paper -2

GK Olympiad Model Test Paper -2 | GK Olympiad for Class 3 PDF Download

Note: The questions provided in this document are similar to the questions that were asked in the actual Olympiad exam. So, we recommend you study these for your Olympiad preparation

General Awareness

Q1: Which of the following animals is NOT extinct?
(a) Dodo
(b) Mammoth
(c) Platypus
(d) Saber toothed cat

GK Olympiad Model Test Paper -2 | GK Olympiad for Class 3View Answer  GK Olympiad Model Test Paper -2 | GK Olympiad for Class 3

Ans: (c)

  • Platypus is the only animal listed that is still alive today, making it the correct answer.
  • The other options, such as the Dodo, Mammoth, and Saber toothed cat, are all extinct species.
  • Understanding extinction is important; it means that no living members of that species exist anymore.
  • In contrast, the Platypus is a unique egg-laying mammal found in Australia, showcasing the diversity of life that still exists.

Q2: Which festival is known as the ‘Feast of Sacrifice’?
(a) Eid ul-Fitr
(b) Eid al-Adha
(c) Muharram
(d) Diwali

GK Olympiad Model Test Paper -2 | GK Olympiad for Class 3View Answer  GK Olympiad Model Test Paper -2 | GK Olympiad for Class 3

Ans: (b)

  • Eid al-Adha is referred to as the ‘Feast of Sacrifice’ because it commemorates the willingness of Prophet Ibrahim to sacrifice his son as an act of obedience to God.
  • This festival is celebrated by Muslims around the world and involves the ritual sacrifice of an animal, usually a sheep, goat, or cow.
  • It occurs during the Islamic month of Dhu al-Hijjah, coinciding with the Hajj pilgrimage.
  • In contrast, Eid ul-Fitr celebrates the end of Ramadan, while Muharram marks the Islamic New Year.

Q3: Who among the following specializes in the study of animals?
(a) Astronomer
(b) Florist
(c) Zoologist
(d) Librarian

GK Olympiad Model Test Paper -2 | GK Olympiad for Class 3View Answer  GK Olympiad Model Test Paper -2 | GK Olympiad for Class 3

Ans: (c)

  • Zoologist is the correct answer as they focus on the study of animals, including their behavior, physiology, and classification.
  • Astronomers study celestial bodies, while florists work with plants and flowers.
  • Librarians manage collections of books and information, which is unrelated to animal studies.
  • Thus, the role of a zoologist is crucial for understanding the animal kingdom.

Q4: Select the statement that is NOT correct.
(a) Pine, fir and deodar are conifers.
(b) Fleshy stem of cactus stores water in it.
(c) Mangroves grow in marshy areas.
(d) All of these statements are correct.

GK Olympiad Model Test Paper -2 | GK Olympiad for Class 3View Answer  GK Olympiad Model Test Paper -2 | GK Olympiad for Class 3

Ans: (d)

  • All the statements provided are true. Pine, fir, and deodar are indeed types of conifers, which are trees that produce cones.
  • Cacti have fleshy stems that are designed to store water, allowing them to survive in dry environments.
  • Mangroves are specialized trees that thrive in marshy coastal areas, providing important ecological benefits.
  • Since all the statements are accurate, the option indicating that none of them are incorrect is the right choice.

Q5: X is found in various areas of our body and plays a crucial role in enabling us to move and lift things. X refers to __________.
(a) Brain
(b) Muscle
(c) Heart
(d) Leg

GK Olympiad Model Test Paper -2 | GK Olympiad for Class 3View Answer  GK Olympiad Model Test Paper -2 | GK Olympiad for Class 3

Ans: (b)

  • Muscles are essential for movement; they contract and relax to allow us to perform actions like walking, lifting, and running.
  • They are present throughout the body, including arms, legs, and even the face.
  • While the brain controls movement, it is the muscles that actually execute the physical actions.
  • Therefore, the correct answer is Muscle, as it directly relates to our ability to move and lift objects.

Q6: Which of the following is NOT considered a medicinal plant?
(a) Tulsi
(b) Neem
(c) Garlic
(d) None of these

GK Olympiad Model Test Paper -2 | GK Olympiad for Class 3View Answer  GK Olympiad Model Test Paper -2 | GK Olympiad for Class 3

Ans: (d)

  • All the options listed (Tulsi, Neem, and Garlic) are known for their medicinal properties.
  • Garlic is often used for its health benefits, including heart health and immune support.
  • Since all the options are medicinal plants, the correct answer is None of these.
  • This means that there is no option among the given choices that is not a medicinal plant.

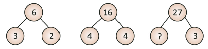
Q7: Find the missing number in the given number pattern below.
GK Olympiad Model Test Paper -2 | GK Olympiad for Class 3

(a) 6 
(b) 8 
(c) 9 
(d) 10

GK Olympiad Model Test Paper -2 | GK Olympiad for Class 3View Answer  GK Olympiad Model Test Paper -2 | GK Olympiad for Class 3

Ans: (c)
The number in the upper circle is the product of the numbers in the lower two circles.
3 × 2 = 6
4 × 4 = 16
So, 9 × 3 = 27

Q8: Vande Mataram, the National Song of India, was composed by Bankim Chandra Chatterjee. In which book did it first appear?
(a) Anandmath
(b) The Discovery of India
(c) Gitanjali
(d) The Home and the World

GK Olympiad Model Test Paper -2 | GK Olympiad for Class 3View Answer  GK Olympiad Model Test Paper -2 | GK Olympiad for Class 3

Ans: (a)

  • Vande Mataram is a significant song in Indian history, recognized as the National Song.
  • It was written by Bankim Chandra Chatterjee, a prominent figure in Indian literature.
  • The song first appeared in the book Anandmath, which is a novel that reflects the spirit of the Indian independence movement.
  • The other options, while notable works, do not contain the song.

Q9: In Mahabharat, Yudhishthir was the eldest Pandava. How many Pandavas were there?
 (a) 5
 (b) 10
 (c) 50
 (d) 100

GK Olympiad Model Test Paper -2 | GK Olympiad for Class 3View Answer  GK Olympiad Model Test Paper -2 | GK Olympiad for Class 3

Ans: (a)
The five Pandavas were Yudhishthir, Bheem, Arjun, Nakul, and Sahdev.

Q10: Which moon holds the title of the largest in the Solar System?
(a) Europa
(b) Callisto
(c) Ganymede
(d) Titan

GK Olympiad Model Test Paper -2 | GK Olympiad for Class 3View Answer  GK Olympiad Model Test Paper -2 | GK Olympiad for Class 3

Ans: (c)

  • Ganymede is recognized as the largest moon in the Solar System, even bigger than the planet Mercury.
  • It is one of Jupiter's moons and is known for its unique geological features.
  • Ganymede has a magnetic field, which is quite rare for a moon.
  • In contrast, Europa, Callisto, and Titan are also significant moons, but they do not surpass Ganymede in size.

Q11: Which of the following materials is suitable for constructing the body of a pressure cooker?
(a) Metal
(b) Wood
(c) Plastic
(d) Glass

GK Olympiad Model Test Paper -2 | GK Olympiad for Class 3View Answer  GK Olympiad Model Test Paper -2 | GK Olympiad for Class 3

Ans: (a)

  • Metal is the ideal choice for a pressure cooker because it can withstand high temperatures and pressure.
  • Unlike wood and plastic, which can warp or melt, metal maintains its shape and integrity.
  • Pressure cookers need to be durable and safe, making metal the best option for this purpose.
  • Using glass is not practical as it cannot handle the pressure and heat required for cooking.

Q12: Select the word that has a similar meaning to the term "Ancient".
(a) Scared
(b) Brave
(c) Old
(d) Develop

GK Olympiad Model Test Paper -2 | GK Olympiad for Class 3View Answer  GK Olympiad Model Test Paper -2 | GK Olympiad for Class 3

Ans: (c)

  • Ancient refers to something that is very old or from a long time ago.
  • The correct answer is Old, as it directly relates to the age of something.
  • Options like Scared and Brave do not relate to age, while Develop implies growth, not age.
  • Thus, Old is the best synonym for Ancient.

Q13: Identify this monument.
 (a) Hawa Mahal, Jaipur
 (b) Taj Mahal, Agra
 (c) Red Fort, Delhi
 (d) Char Minar, Hyderabad

GK Olympiad Model Test Paper -2 | GK Olympiad for Class 3View Answer  GK Olympiad Model Test Paper -2 | GK Olympiad for Class 3

Ans: (c)
The Prime Minister of India addresses the nation on Independence Day, August 15, every year, from the Red Fort.

Q14: According to Hindu mythology, who is regarded as the creator of the universe?
(a) Lord Shiva
(b) Lord Brahma
(c) Lord Vishnu
(d) Lord Hanuman

GK Olympiad Model Test Paper -2 | GK Olympiad for Class 3View Answer  GK Olympiad Model Test Paper -2 | GK Olympiad for Class 3

Ans: (b)

  • Lord Brahma is recognized as the creator of the universe in Hindu mythology. He is part of the Trimurti, which includes Lord Vishnu and Lord Shiva.
  • While Lord Vishnu is known as the preserver and Lord Shiva as the destroyer, Brahma's role is specifically to create.
  • His significance is often depicted in various texts and stories, emphasizing his role in the creation of all living beings and the cosmos.
  • Thus, the correct answer is Lord Brahma.

Q15: Which of the following is a natural contributor to air pollution?
(a) Volcanic eruptions
(b) Smoke from factories
(c) Smoke from vehicles
(d) Waste from households

GK Olympiad Model Test Paper -2 | GK Olympiad for Class 3View Answer  GK Olympiad Model Test Paper -2 | GK Olympiad for Class 3

Ans: (a)

  • Volcanic eruptions release ash and gases into the atmosphere, which can significantly affect air quality.
  • Unlike smoke from factories or vehicles, which are human-made sources, volcanic activity is a natural phenomenon.
  • These eruptions can lead to short-term and long-term changes in the environment, impacting air pollution levels.
  • Understanding the difference between natural and man-made sources is crucial for addressing air quality issues.

Q16: Which of the following gemstones is characterized by its red hue?
(a) Emerald
(b) Ruby
(c) Aquamarine
(d) None of these

GK Olympiad Model Test Paper -2 | GK Olympiad for Class 3View Answer  GK Olympiad Model Test Paper -2 | GK Olympiad for Class 3

Ans: (b)

  • Ruby is the gemstone that is well-known for its vibrant red color, making it easily identifiable.
  • Emeralds are typically green, while aquamarines are blue, so they do not fit the description of being red.
  • The option "None of these" is incorrect as ruby clearly matches the criteria.
  • Thus, the correct answer is ruby, which is a popular choice in jewelry due to its striking appearance.

Q17: Which of the following facilitates communication via radio and television?
(a) Satellite
(b) Comet
(c) Asteroid
(d) Dwarf planet

GK Olympiad Model Test Paper -2 | GK Olympiad for Class 3View Answer  GK Olympiad Model Test Paper -2 | GK Olympiad for Class 3

Ans: (a)

  • Satellite plays a crucial role in enabling communication for radio and television by transmitting signals over long distances.
  • They orbit the Earth and relay information, making it possible for us to receive broadcasts.
  • Other options like comets, asteroids, and dwarf planets do not have any role in communication technology.
  • Thus, the correct answer is Satellite, as it is essential for modern communication systems.

Q18: What musical instrument does Peter use in 'Peter Pan'?
(a) Pan flute
(b) Pan trumpet
(c) Pan guitar
(d) Pan drum

GK Olympiad Model Test Paper -2 | GK Olympiad for Class 3View Answer  GK Olympiad Model Test Paper -2 | GK Olympiad for Class 3

Ans: (a)

  • Peter Pan is known for playing the pan flute, which is a traditional wind instrument.
  • The pan flute is made of multiple pipes of varying lengths, producing a sweet and melodious sound.
  • In the story, this instrument adds to the magical and whimsical atmosphere of Neverland.
  • Other options like the pan trumpet or pan guitar are not associated with Peter Pan.

Q19: Study the flow chart given below:
Plants → X → Lion
The arrow sign means “is eaten by”. Which of the following animals can X be?
(a) Snake
(b) Eagle
(c) Goat
(d) Frog

GK Olympiad Model Test Paper -2 | GK Olympiad for Class 3View Answer  GK Olympiad Model Test Paper -2 | GK Olympiad for Class 3

Ans: (c)
The only herbivore in the given options is goat, which can complete this food chain.

Q20: Some letters are given which are numbered as 1, 2, 3, 4 and 5. Select the combination of numbers from the options so that the letters are arranged accordingly to form a meaningful English word. H M Y R E
(a) 3, 2, 4, 1, 5
(b) 4, 3, 2, 5, 1
(c) 4, 1, 3, 2, 5
(d) 1, 3, 4, 2, 5

GK Olympiad Model Test Paper -2 | GK Olympiad for Class 3View Answer  GK Olympiad Model Test Paper -2 | GK Olympiad for Class 3

Ans: (c)

  • To form a meaningful word, we need to rearrange the letters H, M, Y, R, E.
  • The correct combination is 4, 1, 3, 2, 5, which gives us the word "MYRHE".
  • This word is a variant of "myrrh", a fragrant resin used in perfumes and incense.
  • Other combinations do not form valid English words.

Current Affairs

Q21: Who currently holds the position of Minister of Youth Affairs and Sports in India?
(a) Anurag Singh Thakur
(b) Smriti Irani
(c) Rajyavardhan Singh Rathore
(d) None of these

GK Olympiad Model Test Paper -2 | GK Olympiad for Class 3View Answer  GK Olympiad Model Test Paper -2 | GK Olympiad for Class 3

Ans: (a)

  • Anurag Singh Thakur is the current Minister of Youth Affairs and Sports in India.
  • This position involves overseeing the development of sports and youth programs in the country.
  • Thakur has been active in promoting sports initiatives and youth engagement.
  • His role is crucial for the growth of sports culture in India.

Q22: National Girl Child Day is celebrated on ________ in India.
(a) 24th January
(b) 16th July
(c) 8th March
(d) 18th September

GK Olympiad Model Test Paper -2 | GK Olympiad for Class 3View Answer  GK Olympiad Model Test Paper -2 | GK Olympiad for Class 3

Ans: (a)

  • National Girl Child Day is recognized on 24th January every year in India.
  • This day aims to promote the rights and welfare of the girl child.
  • It highlights the importance of gender equality and the need to eliminate discrimination against girls.
  • Various programs and activities are organized to raise awareness about the challenges faced by girls.

Q23: Which nation is the host for the ICC World Cup 2023?
(a) India
(b) England
(c) South Africa
(d) New Zealand

GK Olympiad Model Test Paper -2 | GK Olympiad for Class 3View Answer  GK Olympiad Model Test Paper -2 | GK Olympiad for Class 3

Ans: (a)

  • India is the country hosting the ICC World Cup 2023, showcasing its rich cricketing culture.
  • The tournament features teams from around the world competing for the prestigious title.
  • Hosting such a major event highlights India's capability to organize large-scale international sports.
  • Fans from various nations will gather to support their teams, making it a vibrant celebration of cricket.

Q24: Who is the present President of Ukraine?
(a) Volodymyr Zelenskyy
(b) Vladimir Putin
(c) Emmanuel Macron
(d) None of these

GK Olympiad Model Test Paper -2 | GK Olympiad for Class 3View Answer  GK Olympiad Model Test Paper -2 | GK Olympiad for Class 3

Ans: (a)

  • Volodymyr Zelenskyy is the current President of Ukraine, having taken office in May 2019.
  • He is known for his background as a comedian and actor before entering politics.
  • His leadership has been significant during the ongoing conflict with Russia.
  • Other options like Vladimir Putin and Emmanuel Macron are leaders of different countries, not Ukraine.

Q25: The latest 20 denomination banknote features the design of __________ on the back.
(a) Hampi
(b) Ellora Caves
(c) Rani Ki Vav
(d) Sanchi Stupa

GK Olympiad Model Test Paper -2 | GK Olympiad for Class 3View Answer  GK Olympiad Model Test Paper -2 | GK Olympiad for Class 3

Ans: (b)

  • Ellora Caves are a UNESCO World Heritage Site located in Maharashtra, India, known for their stunning rock-cut architecture.
  • The 20 denomination banknote showcases significant cultural heritage, and the Ellora Caves represent India's rich history.
  • Other options like Hampi, Rani Ki Vav, and Sanchi Stupa are also important, but the correct motif on the latest banknote is specifically the Ellora Caves.
  • This choice highlights the importance of preserving and recognizing India's historical sites through currency design.

Life Skills

Q26: Select the accurate statement.
(a) Bullying others is a good way of showing respect.
(b) Ignoring elders is a good way of showing respect.
(c) Good manners are not essential for demonstrating respect.
(d) Choosing your words carefully while talking and caring for other’s feelings is a sign of respect.

GK Olympiad Model Test Paper -2 | GK Olympiad for Class 3View Answer  GK Olympiad Model Test Paper -2 | GK Olympiad for Class 3

Ans: (d)

  • Choosing your words carefully and being considerate of others' feelings is crucial in showing respect. This means thinking before you speak and ensuring your words do not hurt others.
  • In contrast, options A, B, and C suggest negative behaviors or attitudes that do not align with the concept of respect.
  • Respect is about valuing others and treating them well, which is best demonstrated through good communication and empathy.

Q27: ‘Good personal hygiene’ means __________.
(a) Keeping our house and surroundings clean
(b) Keeping ourselves clean and free from germs and dirt
(c) Playing a soothing music
(d) Both A and C

GK Olympiad Model Test Paper -2 | GK Olympiad for Class 3View Answer  GK Olympiad Model Test Paper -2 | GK Olympiad for Class 3

Ans: (b)

  • Good personal hygiene refers to the practice of maintaining cleanliness to prevent illness and promote health.
  • The correct answer is keeping ourselves clean and free from germs and dirt, which is essential for our well-being.
  • While keeping our surroundings clean is important, it does not directly define personal hygiene.
  • Playing soothing music does not relate to hygiene practices.

Q28: Which of the following is a physical advantage of engaging in sports?
(a) Teamwork
(b) Time management
(c) Stronger body
(d) Improved mental health

GK Olympiad Model Test Paper -2 | GK Olympiad for Class 3View Answer  GK Olympiad Model Test Paper -2 | GK Olympiad for Class 3

Ans: (c)

  • Participating in sports primarily leads to a stronger body, which is a direct physical benefit.
  • While teamwork and time management are important skills gained from sports, they are not physical benefits.
  • Engaging in physical activities helps in building muscle, improving endurance, and enhancing overall fitness.
  • Thus, the correct answer focuses on the tangible physical improvements that come from regular sports participation.

Q29: Which of the following is considered poor table etiquette?
(a) Washing hands before coming to the table.
(b) Assisting your mother in clearing the table after the meal.
(c) Watching TV or playing video games while the meal is being served.
(d) Not speaking with your mouth full.

GK Olympiad Model Test Paper -2 | GK Olympiad for Class 3View Answer  GK Olympiad Model Test Paper -2 | GK Olympiad for Class 3

Ans: (c)

  • Watching TV or playing video games during meals is seen as disrespectful and can distract from family conversations.
  • Good table manners include washing hands before eating and helping to clear the table afterward.
  • It is also important to not talk with your mouth full to maintain a pleasant dining atmosphere.
  • Overall, being present and engaged during meals is key to good etiquette.

Q30: Your friend goes out for shopping with his mother to a shopping mall. He gets lost in the crowd. What should he do?
(a) He should ask a stranger for help.
(b) He should go to any house nearby.
(c) He should ask the security guard there to make a call to his parents.
(d) He should take a taxi and go home.

GK Olympiad Model Test Paper -2 | GK Olympiad for Class 3View Answer  GK Olympiad Model Test Paper -2 | GK Olympiad for Class 3

Ans: (c)

  • In a crowded place, like a shopping mall, it's easy to get separated from someone.
  • The best option is to ask the security guard for assistance, as they are trained to help lost individuals.
  • By asking the guard to call his parents, he can ensure he is safely reunited with them.
  • Other options, like asking a stranger or going home alone, could be unsafe.

Achievers Section

Q31: A farmer was about to die. He called his four sons who always quarrelled with each other. He asked them to bring a pile of wooden sticks. He asked each one of the sons to break all the wooden sticks of the pile together. None of the sons was able to do it. He then asked them to open the pile and gave each of them one wooden stick. He again asked them to break their stick into two which each of them easily did. Which important life skill was the father trying to teach his sons?
 (a) Time management
 (b) Teamwork
 (c) Environment sensitivity
 (d) All of these

GK Olympiad Model Test Paper -2 | GK Olympiad for Class 3View Answer  GK Olympiad Model Test Paper -2 | GK Olympiad for Class 3

Ans: (b)
United we stand, divided we fall.

Q32: What was the theme of National Voter’s Day 2023?
 (a) Let’s all vote this time
 (b) Voting is my Right
 (c) Making Elections Inclusive
 (d) Nothing Like Voting, I Vote for Sure

GK Olympiad Model Test Paper -2 | GK Olympiad for Class 3View Answer  GK Olympiad Model Test Paper -2 | GK Olympiad for Class 3

Ans: (d)
The National Voter’s Day is observed on January 25, which is also the founding day of the Election Commission of India (ECI). The theme of NVD 2023 was "Nothing Like Voting, I vote for Sure."

Q33: Vulture and wolf can be grouped together as ___________________.
 (a) omnivores
 (b) herbivores
 (c) producers
 (d) scavengers

GK Olympiad Model Test Paper -2 | GK Olympiad for Class 3View Answer  GK Olympiad Model Test Paper -2 | GK Olympiad for Class 3

Ans: (d)
Scavengers are the organisms that eat other dead organisms.

Q34: Which of these figures depicts the arrangement of stars in the constellation Sagittarius?
(a) GK Olympiad Model Test Paper -2 | GK Olympiad for Class 3(b) GK Olympiad Model Test Paper -2 | GK Olympiad for Class 3(c) GK Olympiad Model Test Paper -2 | GK Olympiad for Class 3(d) GK Olympiad Model Test Paper -2 | GK Olympiad for Class 3

GK Olympiad Model Test Paper -2 | GK Olympiad for Class 3View Answer  GK Olympiad Model Test Paper -2 | GK Olympiad for Class 3

Ans: (c)

It matches the shape of a hunter ready to shoot an arrow from his bow.

Q35: In case of earth, the ______________ protects us from solar wind and ______________ protects us from solar radiations.
 (a) magnetic field, ozone
 (b) magnetic field, oxygen
 (c) solar field, nitrogen
 (d) solar field, glaciers

GK Olympiad Model Test Paper -2 | GK Olympiad for Class 3View Answer  GK Olympiad Model Test Paper -2 | GK Olympiad for Class 3

Ans: (a)
The magnetic field of earth repels the hot solar winds, and the ozone layer deflects harmful ultraviolet radiations from reaching the earth’s surface.

The document GK Olympiad Model Test Paper -2 | GK Olympiad for Class 3 is a part of the Class 3 Course GK Olympiad for Class 3.
All you need of Class 3 at this link: Class 3
44 videos|31 docs|44 tests

FAQs on GK Olympiad Model Test Paper -2 - GK Olympiad for Class 3

1. What is the GK Olympiad and who can participate in it?
Ans.The GK Olympiad, or General Knowledge Olympiad, is a competitive exam designed to test the general awareness and current affairs knowledge of students. It is typically open to students from various grades, including Class 3, encouraging them to enhance their knowledge of the world around them.
2. How can students prepare for the GK Olympiad?
Ans.Students can prepare for the GK Olympiad by studying general knowledge books, current affairs magazines, and online resources. Participating in quizzes and mock tests can also help improve their understanding and retention of important information.
3. What topics are generally covered in the GK Olympiad for Class 3?
Ans.The GK Olympiad for Class 3 usually covers a variety of topics, including general knowledge about the environment, current events, famous personalities, history, geography, and basic mathematics. This helps students develop a well-rounded understanding of the world.
4. Why is participating in the GK Olympiad important for students?
Ans.Participating in the GK Olympiad is important for students as it helps them build confidence, improve their knowledge, and develop critical thinking skills. It also encourages healthy competition among peers and can enhance their academic performance.
5. What are some benefits of performing well in the GK Olympiad?
Ans.Some benefits of performing well in the GK Olympiad include recognition and awards, improved self-esteem, and potential opportunities for scholarships or advanced learning programs. Excelling in such competitions can also bolster a student’s resume for future educational endeavors.
Related Searches

Viva Questions

,

practice quizzes

,

GK Olympiad Model Test Paper -2 | GK Olympiad for Class 3

,

MCQs

,

ppt

,

Previous Year Questions with Solutions

,

Summary

,

GK Olympiad Model Test Paper -2 | GK Olympiad for Class 3

,

Objective type Questions

,

study material

,

video lectures

,

Sample Paper

,

shortcuts and tricks

,

GK Olympiad Model Test Paper -2 | GK Olympiad for Class 3

,

Semester Notes

,

pdf

,

past year papers

,

mock tests for examination

,

Important questions

,

Free

,

Extra Questions

,

Exam

;