Class 8 Exam  >  Class 8 Notes  >  Mathematics (Maths) Class 8  >  Unit Test: Linear Equation in One Variable

Unit Test: Linear Equation in One Variable | Mathematics (Maths) Class 8 PDF Download

Time: 1 hour
 M.M.: 30 
Attempt all questions. 
Question numbers 1 to 5 carry 1 mark each. 
Question numbers 6 to 8 carry 2 marks each. 
Question numbers 9 to 11 carry 3 marks each.
Question numbers 12 & 13 carry 5 marks each.
Q1: Solve the following equation: 6x = x+15 (1 Mark)
(i)x=36
(ii)x=18
(iii)x=3
(iv)x=6

Q2: True or False: The solution to the equation 4z + 3= 6 + 2z is z=2.(1 Mark)

Q3: The equation 4t−7= 2t−9 has the solution: (1 Mark)
(a) t=−2
(b) t=−1
(c)t=1
(d) t=2

Q4: True or False: For the equation 2x−1 = 14−x, the solution is x=5.(1 Mark)

Q5: The equation 3x−2=14−x has the solution: (1 Mark)
(i)x=5
(ii)x=4
(iii) x=6
(iv) x=3

Q6: Solve and check the result: 2x−4 = 8 (2 Marks)

Q7: Simplify and solve: 4(t−2)=6(2t+1)(2 Marks)
Q8:  The solution to the equation x=45(x+10) is: (2 Marks)
Q9: Solve: 0.25(4f−3) = 0.05(10f−9) (3 Marks)

Q10. Solve the following equation: 

3y+45=295y

(3 Marks)
Q11. Solve the following equation
:10(y−3)−4(y−7)+3(y+5)=0 (3 Marks)
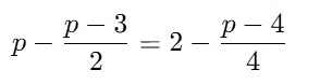
Q12. Solve the following equation: (5 Marks)

Unit Test: Linear Equation in One Variable | Mathematics (Maths) Class 8

Q13: Solve the following equation: (5 Marks)

Unit Test: Linear Equation in One Variable | Mathematics (Maths) Class 8

You can find the solutions of this Unit Test here: ​Unit Test (Solution): Linear Equation in One Variable​​​

The document Unit Test: Linear Equation in One Variable | Mathematics (Maths) Class 8 is a part of the Class 8 Course Mathematics (Maths) Class 8.
All you need of Class 8 at this link: Class 8
81 videos|423 docs|31 tests

FAQs on Unit Test: Linear Equation in One Variable - Mathematics (Maths) Class 8

1. What is a linear equation in one variable?
Ans.A linear equation in one variable is an equation that can be written in the form ax + b = 0, where 'a' and 'b' are constants, and 'x' is the variable. The equation represents a straight line when plotted on a graph.
2. How do you solve a linear equation in one variable?
Ans.To solve a linear equation in one variable, isolate the variable on one side of the equation by performing inverse operations. For example, if the equation is 2x + 3 = 7, you would first subtract 3 from both sides to get 2x = 4, and then divide both sides by 2 to find x = 2.
3. Can a linear equation in one variable have more than one solution?
Ans.No, a linear equation in one variable can only have one solution. This is because it represents a straight line, and any straight line intersects the x-axis at exactly one point, which corresponds to the unique solution of the equation.
4. What are some real-life applications of linear equations in one variable?
Ans.Linear equations in one variable can be used in various real-life situations, such as calculating expenses, determining profit or loss, and solving problems related to speed, distance, and time. For example, if you know the cost of an item and want to find how many items you can buy with a fixed budget, you can set up a linear equation to solve for the number of items.
5. How do you check if your solution to a linear equation is correct?
Ans.To check if your solution to a linear equation is correct, substitute the value of the variable back into the original equation. If both sides of the equation are equal after substitution, then your solution is correct. For instance, if you found x = 2 for the equation 2x + 3 = 7, substituting 2 back gives you 2(2) + 3 = 7, which confirms that the solution is correct.
Related Searches

practice quizzes

,

mock tests for examination

,

Important questions

,

Objective type Questions

,

Previous Year Questions with Solutions

,

past year papers

,

Exam

,

Viva Questions

,

pdf

,

Unit Test: Linear Equation in One Variable | Mathematics (Maths) Class 8

,

Unit Test: Linear Equation in One Variable | Mathematics (Maths) Class 8

,

shortcuts and tricks

,

Semester Notes

,

study material

,

Extra Questions

,

ppt

,

video lectures

,

Summary

,

MCQs

,

Free

,

Sample Paper

,

Unit Test: Linear Equation in One Variable | Mathematics (Maths) Class 8

;