Class 3 Exam  >  Class 3 Notes  >  Mathematics Olympiad for Class 3  >  Mathematics Olympiad Model Test Paper - 1

Mathematics Olympiad Model Test Paper - 1 | Mathematics Olympiad for Class 3 PDF Download

Note: The questions provided in this document are similar to the questions that were asked in the actual Olympiad exam. So, we recommend you study these for your Olympiad preparation.

Logical Reasoning

Q1: If the code for 'CANDY' is 'ECPFA', what will be the code for 'RESIN'?
(a) TGRKP
(b) TYUKP
(c) TGNKP
(d) TGUKP

Mathematics Olympiad Model Test Paper - 1 | Mathematics Olympiad for Class 3View Answer  Mathematics Olympiad Model Test Paper - 1 | Mathematics Olympiad for Class 3

Ans: (d)
The pattern followed is as follows:
Mathematics Olympiad Model Test Paper - 1 | Mathematics Olympiad for Class 3

Similarly
Mathematics Olympiad Model Test Paper - 1 | Mathematics Olympiad for Class 3

Q2: Sheena, Anu, Piya and Reena, who are friends, appeared for a test. Sheena scored less marks in the test than Reena. Sheena did not come last. Piya did not come first. Anu didn't score the least.
Who scored the most among all the friends?

(a) Sheena
(b) Piya
(c) Anu
(d) Reena

Mathematics Olympiad Model Test Paper - 1 | Mathematics Olympiad for Class 3View Answer  Mathematics Olympiad Model Test Paper - 1 | Mathematics Olympiad for Class 3

Ans: (c)
The order of friends from first to last is:
Anu, Reena, Sheena, Piya

Q3: Find the figure from the options which will complete the given figure matrix.

Mathematics Olympiad Model Test Paper - 1 | Mathematics Olympiad for Class 3

(a) Mathematics Olympiad Model Test Paper - 1 | Mathematics Olympiad for Class 3

(b) Mathematics Olympiad Model Test Paper - 1 | Mathematics Olympiad for Class 3

(c) Mathematics Olympiad Model Test Paper - 1 | Mathematics Olympiad for Class 3

(d) Mathematics Olympiad Model Test Paper - 1 | Mathematics Olympiad for Class 3

Mathematics Olympiad Model Test Paper - 1 | Mathematics Olympiad for Class 3View Answer  Mathematics Olympiad Model Test Paper - 1 | Mathematics Olympiad for Class 3

Ans: (b)
Mathematics Olympiad Model Test Paper - 1 | Mathematics Olympiad for Class 3

In each row, the number of shapes is increased by one in each next column from the previous column.

Q4: Which of the following shapes is not present in the given figure?
Mathematics Olympiad Model Test Paper - 1 | Mathematics Olympiad for Class 3

(a) Circle
(b) Rectangle
(c) Square
(d) Triangle

Mathematics Olympiad Model Test Paper - 1 | Mathematics Olympiad for Class 3View Answer  Mathematics Olympiad Model Test Paper - 1 | Mathematics Olympiad for Class 3

Ans: (c)

Mathematics Olympiad Model Test Paper - 1 | Mathematics Olympiad for Class 3

So, the square shape is not present in the given figure.

Q5: Find the odd one out.
(a) Starfish
(b) Whale
(c) Shark
(d) Frog

Mathematics Olympiad Model Test Paper - 1 | Mathematics Olympiad for Class 3View Answer  Mathematics Olympiad Model Test Paper - 1 | Mathematics Olympiad for Class 3

Ans: (d)
Frogs can survive out of water. It means that they can survive on land but rest can only live in water but not on land.

Q6: Out of 24 students, Neha is standing at 20th position from starting of a queue. What is her position from last?

(a) 5th
(b) 7th
(c) 8th
(d) 9th

Mathematics Olympiad Model Test Paper - 1 | Mathematics Olympiad for Class 3View Answer  Mathematics Olympiad Model Test Paper - 1 | Mathematics Olympiad for Class 3

Ans: (a)
Mathematics Olympiad Model Test Paper - 1 | Mathematics Olympiad for Class 3

From the figure, there are 4 students behind Neha .
So, Neha is standing at 5th position from last.

Q7: If 'plate' is called 'cup', 'cup' is called 'bottle', 'bottle' is called 'glass', 'glass' is called 'fork' and 'fork' is called 'bowl', then noodles are eaten with a ______.
(a) bowl
(b) glass
(c) fork
(d) cup

Mathematics Olympiad Model Test Paper - 1 | Mathematics Olympiad for Class 3View Answer  Mathematics Olympiad Model Test Paper - 1 | Mathematics Olympiad for Class 3

Ans: (a)
Noodles are eaten with a 'fork' but 'fork' is called as 'bowl'. Therefore, bowl will come in the blank.

Q8: Find the next term in the given pattern.
28, 35, 42, 49, _____
(a) 61
(b) 55
(c) 56
(d) 62

Mathematics Olympiad Model Test Paper - 1 | Mathematics Olympiad for Class 3View Answer  Mathematics Olympiad Model Test Paper - 1 | Mathematics Olympiad for Class 3

Ans: (c)
The terms are increasing by 7.
28 + 7 = 35
35 + 7 = 42
42 + 7 = 49
49 + 7 = 56

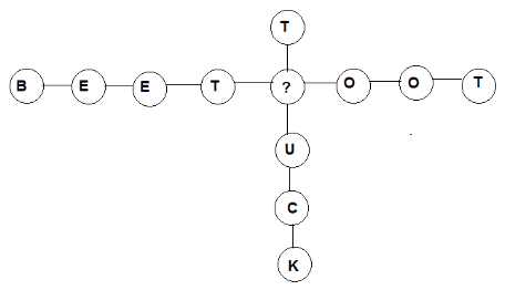
Q9: Which of the following letter will replace the question mark (?) to make one word as the name of a vegetable and the other word as name of a vehicle?

Mathematics Olympiad Model Test Paper - 1 | Mathematics Olympiad for Class 3(a) C
(b) R
(c) S
(d) M

Mathematics Olympiad Model Test Paper - 1 | Mathematics Olympiad for Class 3View Answer  Mathematics Olympiad Model Test Paper - 1 | Mathematics Olympiad for Class 3

Ans: (b)
Name of vegetable = Beetroot
Name of vehicle is = Truck
So, 'R' will come at the place of question mark.

Q10: Find out the category of the word which is formed after arranging the given letters.
TPURIJE
(a) Plant
(b) Planet
(c) Flower
(d) Animal

Mathematics Olympiad Model Test Paper - 1 | Mathematics Olympiad for Class 3View Answer  Mathematics Olympiad Model Test Paper - 1 | Mathematics Olympiad for Class 3

Ans: (b)
The word 'JUPITER' can be formed by re-arranging 'TPURIJE' and the category of Jupiter is planet.

Mathematical Reasoning

Q11: Rohit buys two toys, one for Rs. 48 and the other for Rs. 36. If he gives Rs. 100 to the shopkeeper, then how much money will he receive back?
(a) Rs. 12
(b) Rs. 14
(c) Rs. 16
(d) Rs. 18

Mathematics Olympiad Model Test Paper - 1 | Mathematics Olympiad for Class 3View Answer  Mathematics Olympiad Model Test Paper - 1 | Mathematics Olympiad for Class 3

Ans: (c)
Total amount of the two toys = Rs. (48 + 36) = Rs. 84
Amount of money received back from the shopkeeper = Rs. (100 – 84) = Rs. 16

Q12: There are 12 classrooms in a school and in each classroom, there are 40 students. How many benches are required for the school if 2 students can sit on one bench?
(a) 960
(b) 480
(c) 240
(d) 220

Mathematics Olympiad Model Test Paper - 1 | Mathematics Olympiad for Class 3View Answer  Mathematics Olympiad Model Test Paper - 1 | Mathematics Olympiad for Class 3

Ans: (c)
Number of classes in the school = 12
Number of students in each class = 40
Total number of students = 12 × 40 = 480
Number of benches required for two students = 1
Number of benches required for 480 students = 480 ÷ 2 = 240

Q13: Rahul got his pocket money for the month of June. He bought the following things and gave the shopkeeper Rs. 300. How much amount money did he get back?

Mathematics Olympiad Model Test Paper - 1 | Mathematics Olympiad for Class 3

(a) Rs. 35
(b) Rs. 25
(c) Rs. 50
(d) Rs. 45

Mathematics Olympiad Model Test Paper - 1 | Mathematics Olympiad for Class 3View Answer  Mathematics Olympiad Model Test Paper - 1 | Mathematics Olympiad for Class 3

Ans: (b)
Amount of money Rahul had = Rs. 300
Cost of Bottle = Rs. 50
Cost of Paper Bag = Rs. 25
Cost of Headphones = Rs. 80
Cost of Basket = Rs. 120
Now,
Total cost of all the items = 50 + 25 + 80 + 120 = Rs. 275
Amount of money he got back = 300 - 275 = Rs. 25
Hence, option B is correct.

Q14:Ritika got Rs. 500 to buy three notebooks for Rs. 75 each and one bag for Rs. 150. How much money does she has now if she bought the given items?
(a) Rs. 125
(b) Rs. 225
(c) Rs. 150
(d) Rs. 375

Mathematics Olympiad Model Test Paper - 1 | Mathematics Olympiad for Class 3View Answer  Mathematics Olympiad Model Test Paper - 1 | Mathematics Olympiad for Class 3

Ans: (a)
Amount of money Ritika had = Rs. 500
Cost of 1 notebook = Rs. 75
Cost of 3 notebooks = 75 x 3 = Rs. 225
Cost of 1 bag = Rs. 150
Total money spent on given items = 225 + 150 = Rs. 375
Amount of money left with her = 500 - 375 = Rs. 125

Q15: Which of the following statements is INCORRECT?
(i) 4 x 6 is equal to 6 x 4.
(ii) If there are 5 colours in a box, then there would be 75 colours in 15 boxes.
(iii) If Sonia has 48 gloves, then she has 24 pairs of gloves.
(iv) 3 - 2 is the same as 2 - 3.

(a) (i)
(b) (ii)
(c) (iii)
(d) (iv)

Mathematics Olympiad Model Test Paper - 1 | Mathematics Olympiad for Class 3View Answer  Mathematics Olympiad Model Test Paper - 1 | Mathematics Olympiad for Class 3

Ans: (d)
(i) 4 x 6 = 24 is equal to 6 x 4 = 24.
(ii) If there are 5 colours in a box, then there would be 75 colours in 15 boxes.
75 ÷ 5 = 15
(iii) If Sonia has 48 gloves, then she has 24 pairs of gloves.
48 ÷ 2 = 24
(iv) 3 - 2 is the same as 2 - 3' - this statement is incorrect.
3 - 2 = 1
2 - 3 = -1

Q16: Select the incorrect statement from the following:
(a) A cuboid has 4 faces.
(b) A triangular prism has 5 faces.
(c) A pyramid has 6 corners.
(d) A sphere has no face.

Mathematics Olympiad Model Test Paper - 1 | Mathematics Olympiad for Class 3View Answer  Mathematics Olympiad Model Test Paper - 1 | Mathematics Olympiad for Class 3

Ans: (a)
A cuboid has 6 faces. So, statement 1 is incorrect.
Mathematics Olympiad Model Test Paper - 1 | Mathematics Olympiad for Class 3

Q17: Match the following shaded faces with the correct shapes.
Mathematics Olympiad Model Test Paper - 1 | Mathematics Olympiad for Class 3(a) P - (2), Q - (1), R - (4), S - (3)
(b) P - (3), Q - (1), R - (4), S - (2)
(c) P - (3), Q - (1), R - (2), S - (4)
(d) P - (2), Q - (3), R - (1), S - (4)

Mathematics Olympiad Model Test Paper - 1 | Mathematics Olympiad for Class 3View Answer  Mathematics Olympiad Model Test Paper - 1 | Mathematics Olympiad for Class 3

Ans: (c)
Shape P is rectangular. (3)
Shape Q is circular. (1)
Shape R is triangular. (2)
Shape S is a square. (4)

Q18: Find the missing number in the box.
Mathematics Olympiad Model Test Paper - 1 | Mathematics Olympiad for Class 3

(a) 300
(b) 250
(c) 100
(d) 150

Mathematics Olympiad Model Test Paper - 1 | Mathematics Olympiad for Class 3View Answer  Mathematics Olympiad Model Test Paper - 1 | Mathematics Olympiad for Class 3

Ans: (c)
? x 5 - 3 + 8 ÷ 2 = 501
? x 5 - 3 + 4 = 501
? x 5 + 1 = 501
? x 5 = 501 - 1
? x 5 = 500
? = 500 ÷ 5
? = 100

Q19: The value of ☺ is 9 times the value of ♥. What will be the value of ☺ - 4, if ♥ + 64 = 123?
(a) 578
(b) 527
(c) 531
(d) 536

Mathematics Olympiad Model Test Paper - 1 | Mathematics Olympiad for Class 3View Answer  Mathematics Olympiad Model Test Paper - 1 | Mathematics Olympiad for Class 3

Ans: (b)
♥ + 64 = 123
♥ = 123 - 64
♥ = 59
Therefore,
the value of ☺ is 9 times the value of ♥.
☺ = 59 x 9 = 531
☺ - 4 = 531 - 4 = 527

Q20: There are 42 students going on a school trip in a bus. The bus has 7 seats in each row. How many rows are required to seat all the students?
(a) 5
(b) 6
(c) 7
(d) 8

Mathematics Olympiad Model Test Paper - 1 | Mathematics Olympiad for Class 3View Answer  Mathematics Olympiad Model Test Paper - 1 | Mathematics Olympiad for Class 3

Ans: (b)
Divide the number of students by the number of seats in each row.
42 ÷ 7 = 6
The students can be seated in 6 rows.

Q21: Shanti is making a calendar so that she can remember the birthday of her brother. Her brother's birthday falls on March 16, 20xx. What day will it be on this date?

Mathematics Olympiad Model Test Paper - 1 | Mathematics Olympiad for Class 3(a) Monday
(b) Tuesday
(c) Wednesday
(d) Thursday

Mathematics Olympiad Model Test Paper - 1 | Mathematics Olympiad for Class 3View Answer  Mathematics Olympiad Model Test Paper - 1 | Mathematics Olympiad for Class 3

Ans: (d)
Every single day is repeated after 7 days.
9th March is a Thursday, so 16th March will also be a Thursday.

Q22: The graph shows the number of students who participated in different sports in an academy. Study the graph carefully and answer the question.
Mathematics Olympiad Model Test Paper - 1 | Mathematics Olympiad for Class 3

The highest number of students participated in ________.
(a) swimming
(b) football
(c) badminton
(a) table tennis

Mathematics Olympiad Model Test Paper - 1 | Mathematics Olympiad for Class 3View Answer  Mathematics Olympiad Model Test Paper - 1 | Mathematics Olympiad for Class 3

Ans: (a)
According to the graph, the highest number of students, which is 2700, took part in swimming.

Q23: The given pictograph shows 4 different kinds of fruits Daniel bought baskets. Study the graph and answer the following question.
Mathematics Olympiad Model Test Paper - 1 | Mathematics Olympiad for Class 3

What is the difference between number of bananas and apples that Daniel bought?
(a) 5
(b) 6
(c) 10
(d) 12

Mathematics Olympiad Model Test Paper - 1 | Mathematics Olympiad for Class 3View Answer  Mathematics Olympiad Model Test Paper - 1 | Mathematics Olympiad for Class 3

Ans: (b)
Since, each basket has 6 fruits.
So, number of baskets of apples = 3
Total number of apples = 6 x 3 = 18
Now,
Number of baskets of bananas = 4
Total number of bananas = 6 x 4 = 24
So, the difference between number of bananas and apples = 24 - 18 = 6

Q24: If Bottle + Bottle + Bottle + Bottle = 660 ml, then Bottle = ?
(a) 200 ml
(b) 165 ml
(c) 250 ml
(d) 145 ml

Mathematics Olympiad Model Test Paper - 1 | Mathematics Olympiad for Class 3View Answer  Mathematics Olympiad Model Test Paper - 1 | Mathematics Olympiad for Class 3

Ans; (b)
Total number of bottles = 4
Total quantity 4 bottles contain = 660 ml
Quantity in each bottle = 660 ÷ 4
= 165 ml
So, Bottle = 165 ml

Q25: The given clocks show the time at which Ajay starts playing and the time at which he finishes playing. How long does he take to play?Mathematics Olympiad Model Test Paper - 1 | Mathematics Olympiad for Class 3

(a) 4 hours and 15 minutes
(b) 2 hours and 15 minutes
(c) 4 hours and 45 minutes
(d) 2 hours and 45 minutes

Mathematics Olympiad Model Test Paper - 1 | Mathematics Olympiad for Class 3View Answer  Mathematics Olympiad Model Test Paper - 1 | Mathematics Olympiad for Class 3

Ans: (b)
Ajay starts playing at 6:45 p.m.
He finishes playing at 9:00 p.m.
Total time taken by Ajay = Duration from 6:45 p.m. to 9:00 p.m. = 2 hours and 15 minutes

Q26: Ram was supposed to pack a box of chocolates. The chocolates were placed at regular intervals of 5 cm. If the distance between the first and last chocolates was 150 cm, then how many chocolates were there in the box?
(a) 31
(b) 20
(c) 40
(d) 50

Mathematics Olympiad Model Test Paper - 1 | Mathematics Olympiad for Class 3View Answer  Mathematics Olympiad Model Test Paper - 1 | Mathematics Olympiad for Class 3

Ans: (a)
Distance between two adjacent chocolates = 5 cm
Distance between first and last chocolates = 150 cm
So, number of chocolates = 150 ÷ 5 = 30+1= 31

Q27: There are 3756 sweets in a bag. If all the sweets are in groups of three, then how many groups would be there?
(a) 1245
(b) 1256
(c) 1243
(d) 1252

Mathematics Olympiad Model Test Paper - 1 | Mathematics Olympiad for Class 3View Answer  Mathematics Olympiad Model Test Paper - 1 | Mathematics Olympiad for Class 3

Ans: (d)
Number of sweets in the bag = 3756
The sweets are in groups of 3.
Therefore, 3756 ÷ 3 = 1252

Q28: Find the missing digit in the box, if the remainder is equal to 4.

Mathematics Olympiad Model Test Paper - 1 | Mathematics Olympiad for Class 3

(a) 3
(b) 6
(c) 7
(d) 9

Mathematics Olympiad Model Test Paper - 1 | Mathematics Olympiad for Class 3View Answer  Mathematics Olympiad Model Test Paper - 1 | Mathematics Olympiad for Class 3

Ans: (c)
Mathematics Olympiad Model Test Paper - 1 | Mathematics Olympiad for Class 3

Therefore, the missing digit is 7.
Alternative Method:
Dividend = Quotient x Divisor + Remainder
123 = 17 x ? + 4
17 x ? = 123 - 4
17 x ? = 119
? = 119 ÷ 17 = 7

Q29: The following pictograph shows the number of students attending karate class weekly. Study the graph and answer the following question.

Mathematics Olympiad Model Test Paper - 1 | Mathematics Olympiad for Class 3How many more students attended the class in week 3 than in week 4?

(a) 9
(b) 12
(c) 6
(d) 18

Mathematics Olympiad Model Test Paper - 1 | Mathematics Olympiad for Class 3View Answer  Mathematics Olympiad Model Test Paper - 1 | Mathematics Olympiad for Class 3

Ans: (a)
Each red belt represents 3 students.
Now,
Number of belts for week 3 = 6
Total number of students in week 3 = 3 x 6 = 18
Number of belts in week 4 = 3
Total number of students in week 4 = 3 x 3 = 9
Difference of students who attended the class in week 3 and in week 4 = 18 - 9 = 9

Q30: Which of the temperature readings given as options is closest to the temperature reading shown by the thermometer?

Mathematics Olympiad Model Test Paper - 1 | Mathematics Olympiad for Class 3(a) 60°F
(b) 62°F
(c) 70°F
(d) 68°F

Mathematics Olympiad Model Test Paper - 1 | Mathematics Olympiad for Class 3View Answer  Mathematics Olympiad Model Test Paper - 1 | Mathematics Olympiad for Class 3

Ans: (d)
The thermometer indicates a temperature of 68°F.

Achievers Section

Q31: If 12 bananas are put in each bag, how many bananas would be there altogether?
Mathematics Olympiad Model Test Paper - 1 | Mathematics Olympiad for Class 3(a) 72
(b) 24
(c) 36
(d) 40

Mathematics Olympiad Model Test Paper - 1 | Mathematics Olympiad for Class 3View Answer  Mathematics Olympiad Model Test Paper - 1 | Mathematics Olympiad for Class 3

Ans: (a)
Number of bananas in each bag = 12
Number of bags = 6
Number of bananas altogether = 12 x 6 = 72

Q32: The bar graph shows the marks scored by the different classes in an Olympiad exam. Study the graph and answer the following question.

Mathematics Olympiad Model Test Paper - 1 | Mathematics Olympiad for Class 3

What is difference between the minimum and maximum marks scored by the classes?
(a) 500
(b) 400
(c) 300
(d) 200

Mathematics Olympiad Model Test Paper - 1 | Mathematics Olympiad for Class 3View Answer  Mathematics Olympiad Model Test Paper - 1 | Mathematics Olympiad for Class 3

Ans: (a)
According to the bar graph,
The maximum marks scored = 800 by class IV
Minimum marks scored = 300 by class I
Therefore, the difference between the marks of classes getting highest and lowest marks = 800 - 300 = 500

Q33: Daniel purchased a baskets of bread, a basket of fruits and a basket of flowers.

Mathematics Olympiad Model Test Paper - 1 | Mathematics Olympiad for Class 3

The total weight she carries is ________.
(a) 4 kg 250 g
(b) 5 kg 785 g
(c) 5 kg 652 g
(d) 4 kg 548 g

Mathematics Olympiad Model Test Paper - 1 | Mathematics Olympiad for Class 3View Answer  Mathematics Olympiad Model Test Paper - 1 | Mathematics Olympiad for Class 3

Ans: (b)
Weight of the basket of breads = 2 kg 185 g
Weight of the basket of fruits = 3 kg 150 g
Weight of the basket of flowers = 450 g
Total weight = 5 kg 785 g

Q34: In a school, many events were held. A pie-eating contest began at 10:00 A.M. and lasted for 35 minutes. Immediately after that, a swimming contest was held, which ended after 25 minutes. A dance competition was held immediately after swimming competition, and it ended after 1 hour and 20 minutes. Then, immediately afterwards, a race was held, which took another 1 hour and 10 minutes to complete. Right after the race, lunch began and the it ended at 02:35 P.M.
At what time did the lunch begin?
(a) 11:00 A.M.
(b) 12:20 P.M.
(c) 01:30 P.M.
(d) 01:35 P.M.

Mathematics Olympiad Model Test Paper - 1 | Mathematics Olympiad for Class 3View Answer  Mathematics Olympiad Model Test Paper - 1 | Mathematics Olympiad for Class 3

Ans: (c)
According to the information given in the question, the following solution is achieved:

  • Pie-eating contest began at 10:00 A.M. and lasted for 35 minutes. So, it finished at 10:00 A.M. + 35 minutes = 10:35 A.M.
  • Swimming contest began at 10:35 A.M. and ended after 25 minutes. So, it finished at 10:35 A.M. + 25 minutes = 11:00 A.M.
  • Dance competition began at 11:00 A.M. and ended after 1 hour and 20 minutes. it finished at (11:00 A.M. + 1 hour and 20 minutes) = 12:20 P.M.
  • The race began at 12:20 P.M. and it ended after 1 hour and 10 minutes. So, 12:20 P.M. + 1 hour and 10 minutes = 01:30 P.M.

Therefore, the lunch began at 01:30 P.M.

Q35: While adding up the cost of stuffed toys, Sonia made a mistake.

Mathematics Olympiad Model Test Paper - 1 | Mathematics Olympiad for Class 3

Step A - Rs. (56 + 75 + 15 + 210)
Step B - Rs. 356
Step C - Total Bill = Rs. 356
She made a mistake at which step?
(a) Step A
(b) Step B
(c) Step C
(d) None of these

Mathematics Olympiad Model Test Paper - 1 | Mathematics Olympiad for Class 3View Answer  Mathematics Olympiad Model Test Paper - 1 | Mathematics Olympiad for Class 3

Ans: (a)
The cost of the 3rd stuffed toy has been written as Rs. 15 instead of Rs. 150
Total cost will become = 56 + 75 + 150 + 210 = Rs. 491
Hence, she made a mistake in step A.

The document Mathematics Olympiad Model Test Paper - 1 | Mathematics Olympiad for Class 3 is a part of the Class 3 Course Mathematics Olympiad for Class 3.
All you need of Class 3 at this link: Class 3
36 videos|77 docs|53 tests

FAQs on Mathematics Olympiad Model Test Paper - 1 - Mathematics Olympiad for Class 3

1. What is the purpose of the Mathematics Olympiad Model Test Paper for Class 3?
Ans.The Mathematics Olympiad Model Test Paper for Class 3 is designed to help young students develop their logical and mathematical reasoning skills. It provides practice questions that mimic the format and difficulty of actual Olympiad exams, allowing students to prepare effectively and build confidence in their mathematical abilities.
2. How can students prepare for the Mathematics Olympiad?
Ans.Students can prepare for the Mathematics Olympiad by practicing with model test papers, solving previous years' questions, and focusing on key mathematical concepts such as addition, subtraction, multiplication, and division. Additionally, engaging in group studies and using educational resources like books and online quizzes can be beneficial.
3. What types of questions are included in the Mathematics Olympiad Model Test Paper for Class 3?
Ans.The Mathematics Olympiad Model Test Paper for Class 3 typically includes a variety of question types, such as multiple-choice questions, fill-in-the-blank problems, and word problems that require logical reasoning. These questions often cover topics like basic arithmetic, shapes, patterns, and simple data interpretation.
4. Are there any specific topics that students should focus on for the Olympiad exam?
Ans.Yes, students should focus on fundamental topics such as number sense, addition and subtraction, multiplication and division, geometry (shapes and spatial understanding), measurement, and basic data handling. Mastery of these topics will enhance their problem-solving skills and improve their performance in the Olympiad.
5. What are the benefits of participating in the Mathematics Olympiad for Class 3 students?
Ans.Participating in the Mathematics Olympiad helps Class 3 students enhance their critical thinking and problem-solving skills. It encourages a deeper understanding of mathematical concepts, builds confidence, and fosters a competitive spirit. Additionally, it can ignite a lasting interest in mathematics and improve overall academic performance.
Related Searches

pdf

,

Sample Paper

,

practice quizzes

,

shortcuts and tricks

,

ppt

,

Objective type Questions

,

video lectures

,

study material

,

Viva Questions

,

past year papers

,

MCQs

,

Semester Notes

,

Important questions

,

mock tests for examination

,

Summary

,

Exam

,

Free

,

Mathematics Olympiad Model Test Paper - 1 | Mathematics Olympiad for Class 3

,

Mathematics Olympiad Model Test Paper - 1 | Mathematics Olympiad for Class 3

,

Mathematics Olympiad Model Test Paper - 1 | Mathematics Olympiad for Class 3

,

Extra Questions

,

Previous Year Questions with Solutions

;