
It may be noticed that in the first case 4 is multiplied 5 times and in the second case ‘a’ is multiplied 5 times. In all such cases a factor which multiplies is called the “base” and the number of times it is multiplied is called the “power” or the “index”. Therefore, “4” and “a” are the bases and “5” is the index for both. Any base raised to the power zero is defined to be 1; i.e. a 0. We also define

If n is a positive integer, and ‘a’ is a real number, i.e. n ∈ N and a ∈ R (where N is the set of positive integers and R is the set of real numbers), ‘a’ is used to denote the continued product of n factors each equal to ‘a’ as shown below:
an = a × a × a ………….. to n factors.
Here an is a power of “a“ whose base is “a“ and the index or power is “n“.
For example, in 3 × 3 × 3 × 3 = 34 , 3 is base and 4 is index or power.
Law 1
am ×an = am+n , when m and n are positive integers; by the above definition,
am = a × a ………….. to m factors and an = a × a ………….. to n factors.∴am × an = (a × a ………….. to m factors) × (a × a ……….. to n factors)
= a × a ………….. to (m + n) factors
= am+n
Now, we extend this logic to negative integers and fractions. First let us consider this for negative integer, that is m will be replaced by –n. By the definition of am × an = am+n ,
we get a–n × an = a–n+n = a0 = 1
For example 34 × 3 5 = (3 × 3 × 3 × 3) × (3 × 3 × 3 × 3 × 3) = 34 + 5 = 39
Again, 3–5 = 1/35 = 1/(3 × 3 × 3 × 3 × 3) = 1/243
Example 1: Simplify 2x1/2 3x-1 if x = 4
Solution: We have 2x 1/2 3x -1
Example 2: Simplify 6ab2c3 × 4b–2c–3d.
Solution: 6ab2c3 × 4b–2c–3d
= 24 × a × b2 × b–2 × c3 × c–3 × d
= 24 × a × b2+(–2) × c3+(–3) × d
= 24 × a × b2 – 2 × c3 – 3 × d
= 24a b0 × c0 × d
Law 2
am/an = am–n , when m and n are positive integers and m > n.
By definition, am = a × a ………….. to m factors
Now we take a numerical value for a and check the validity of this Law
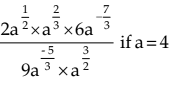
Example 3: Find the value of 
Solution:
= 4x-1 - (-1/3
= 4x-1 + 1/3
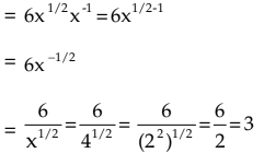
Example 4: Simplify
.
Solution:
(am)n = amn . where m and n are positive integers By definition (am)n
= am × am × am …….. to n factors
= (a × a …….. to m factors) a × a ×…….. to m factors……..to n times
= a × a …….. to mn factors
= amnFollowing above, (am)n = (am)p/q
(We will keep m as it is and replace n by p/q, where p and q are positive integers)
If we take the qth root of the above we obtain
Now with the help of a numerical value for a let us verify this law.
(24)3 = 24 × 24 × 24
= 24+4+4
= 212
= 4096
(ab)n = an.bn when n can take all of the values.
For example 63 = (2 × 3) 3 = 2 × 2 × 2 × 3 × 3 × 3 = 23 × 33First, we look at n when it is a positive integer. Then by the definition, we have
(ab)n = ab × ab ……………. to n factors
= (a × a ……..……. to n factors) × (b × b …………. n factors)
= an × bnWhen n is a positive fraction, we will replace n by p/q.
Then we will have (ab)n = (ab)p/q
The qth power of (ab)p/q = {(ab)(p/q)}q = (ab)p
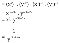
Example 5: Simplify (xa.y–b)3 . (x3 y2)–a
Solution: (xa.y–b)3 . (x3 y2)–a
Example 6: 
Solution:
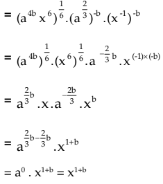
Example 7: Find x, if 
Solution:
[If base is equal, then power is also equal]
∴ x = 1
Example 8: Find the value of k from 
Solution:
![]()
or, (32 × 1/2) –7 × (3½)–5 = 3k
or, 3-7-5/2 = 3k
or, 3 –19/2 = 3k
or, k = –19/2
109 videos|327 docs|83 tests |
| 1. What are the fundamental laws of logarithms? | ![]() |
| 2. How do you change the base of a logarithm? | ![]() |
| 3. What is the significance of logarithms in solving exponential equations? | ![]() |
| 4. Can logarithms be used with any base? | ![]() |
| 5. What are some real-world applications of logarithms? | ![]() |
109 videos|327 docs|83 tests |
![]() | Explore Courses for CA Foundation exam |