Question 1: Find the area of the region bounded by the ellipse 
ANSWER : - The given equation of the ellipse,
, can be represented as
It can be observed that the ellipse is symmetrical about x-axis and y-axis.

∴ Area bounded by ellipse = 4 × Area of OAB

Therefore, area bounded by the ellipse = 4 × 3π = 12π units
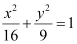
Question 2: Find the area of the region bounded by the ellipse 
ANSWER : -The given equation of the ellipse can be represented as


It can be observed that the ellipse is symmetrical about x-axis and y-axis.
∴ Area bounded by ellipse = 4 × Area OAB

Therefore, area bounded by the ellipse = 
Question 3: Area lying in the first quadrant and bounded by the circle x2 + y2 = 4 and the lines x = 0 and x = 2 is
A. π
B.
C.
D. 

ANSWER : -The area bounded by the circle and the lines, x = 0 and x = 2, in the first quadrant is represented as

Thus, the correct answer is A.
Question 4: Area of the region bounded by the curve y2 = 4x, y-axis and the line y = 3 is
A. 2
B. 
C. 
D. 

ANSWER : - The area bounded by the curve, y2 = 4x, y-axis, and y = 3 is represented as

Thus, the correct answer is B.
| 1. What is the application of integrals? | ![]() |
| 2. How do integrals help in finding areas? | ![]() |
| 3. Can integrals be used to determine the volume of irregular shapes? | ![]() |
| 4. What are the real-life applications of integrals? | ![]() |
| 5. How are integrals used in optimization problems? | ![]() |