JEE Exam  >  JEE Notes  >  Mathematics (Maths) for JEE Main & Advanced  >  NCERT Solutions: Binomial Theorem

NCERT Solutions Class 11 Maths Chapter 7 - Binomial Theorem

Exercise 7.1

Q1: Expand the expression (1– 2x)5
Ans: By using Binomial Theorem, the expression (1– 2x)can be expanded as

NCERT Solutions Class 11 Maths Chapter 7 - Binomial Theorem

Q2:  Expand the expression NCERT Solutions Class 11 Maths Chapter 7 - Binomial Theorem
Ans: By using Binomial Theorem, the expression NCERT Solutions Class 11 Maths Chapter 7 - Binomial Theorem  can be expanded as

NCERT Solutions Class 11 Maths Chapter 7 - Binomial Theorem

Q3: Expand the expression (2x – 3)6
Ans: By using Binomial Theorem, the expression (2x – 3)can be expanded as

NCERT Solutions Class 11 Maths Chapter 7 - Binomial Theorem

Q4: Expand the expression NCERT Solutions Class 11 Maths Chapter 7 - Binomial Theorem
Ans: By using Binomial Theorem, the expression NCERT Solutions Class 11 Maths Chapter 7 - Binomial Theorem  can be expanded as

NCERT Solutions Class 11 Maths Chapter 7 - Binomial Theorem

Q5: Expand NCERT Solutions Class 11 Maths Chapter 7 - Binomial Theorem
Ans: By using Binomial Theorem, the expression  NCERT Solutions Class 11 Maths Chapter 7 - Binomial Theorem can be expanded as

NCERT Solutions Class 11 Maths Chapter 7 - Binomial Theorem
NCERT Solutions Class 11 Maths Chapter 7 - Binomial Theorem

NCERT Solutions Class 11 Maths Chapter 7 - Binomial Theorem 

Q6: Using Binomial Theorem, evaluate (96)3
Ans: 96 can be expressed as the sum or difference of two numbers whose powers are easier to calculate and then, binomial theorem can be applied.
It can be written that, 96 = 100 – 4

NCERT Solutions Class 11 Maths Chapter 7 - Binomial Theorem

Q7: Using Binomial Theorem, evaluate (102)5
Ans: 102 can be expressed as the sum or difference of two numbers whose powers are easier to calculate and then, Binomial Theorem can be applied.
It can be written that, 102 = 100+ 2

NCERT Solutions Class 11 Maths Chapter 7 - Binomial Theorem

NCERT Solutions Class 11 Maths Chapter 7 - Binomial Theorem

Q8: Using Binomial Theorem, evaluate (101)4
Ans: 101 can be expressed as the sum or difference of two numbers whose powers are easier to calculate and then, Binomial Theorem can be applied.
It can be written that, 101 = 100+ 1

NCERT Solutions Class 11 Maths Chapter 7 - Binomial Theorem

Q9: Using Binomial Theorem, evaluate (99)5
Ans: 99 can be written as the sum or difference of two numbers whose powers are easier to calculate and then, Binomial Theorem can be applied.
It can be written that, 99 = 100 – 1

NCERT Solutions Class 11 Maths Chapter 7 - Binomial Theorem

Q10: Using Binomial Theorem, indicate which number is larger (1.1)10000 or 1000.
Ans: By splitting 1.1 and then applying Binomial Theorem, the first few terms of (1.1)10000 can be obtained as

NCERT Solutions Class 11 Maths Chapter 7 - Binomial Theorem

Q11: Find (a  + b)4 – (ab)4. Hence, evaluate NCERT Solutions Class 11 Maths Chapter 7 - Binomial Theorem
Ans: Using Binomial Theorem, the expressions, (a +  b)4 and (ab)4, can be expanded as

NCERT Solutions Class 11 Maths Chapter 7 - Binomial Theorem

NCERT Solutions Class 11 Maths Chapter 7 - Binomial Theorem

Q12: Find (x + 1)6 + (x – 1)6. Hence or otherwise evaluate NCERT Solutions Class 11 Maths Chapter 7 - Binomial Theorem.
Ans: Using Binomial Theorem, the expressions, (x + 1)6 and (x – 1)6, can be expanded as

NCERT Solutions Class 11 Maths Chapter 7 - Binomial Theorem
By putting NCERT Solutions Class 11 Maths Chapter 7 - Binomial Theorem, we obtain

NCERT Solutions Class 11 Maths Chapter 7 - Binomial Theorem

Q13: Show that NCERT Solutions Class 11 Maths Chapter 7 - Binomial Theorem is divisible by 64, whenever n is a positive integer.
Ans: In order to show that NCERT Solutions Class 11 Maths Chapter 7 - Binomial Theorem is divisible by 64, it has to be proved that,
NCERT Solutions Class 11 Maths Chapter 7 - Binomial Theorem, where k is some natural number
By Binomial Theorem,
NCERT Solutions Class 11 Maths Chapter 7 - Binomial Theorem
For a = 8 and m = n  1, we obtain

NCERT Solutions Class 11 Maths Chapter 7 - Binomial Theorem
Thus, NCERT Solutions Class 11 Maths Chapter 7 - Binomial Theorem is divisible by 64, whenever n is a positive integer.

Q14: Prove that NCERT Solutions Class 11 Maths Chapter 7 - Binomial Theorem.
Ans: By Binomial Theorem,

NCERT Solutions Class 11 Maths Chapter 7 - Binomial Theorem

By putting b = 3 and a = 1 in the above equation, we obtain

NCERT Solutions Class 11 Maths Chapter 7 - Binomial Theorem
Hence, proved.

Exercise Miscellaneous

Question 1: If a and b are distinct integers, prove that ab is a factor of anbn, whenever n is a positive integer.

[Hint: write an = (a b  + b)n and expand]

ANSWER : - In order to prove that (ab) is a factor of (anbn), it has to be proved that

anbn = k (ab), where k is some natural number

It can be written that, a = ab +  b

NCERT Solutions Class 11 Maths Chapter 7 - Binomial Theorem

This shows that (ab) is a factor of (anbn), where n is a positive integer.

Question 2: Evaluate NCERT Solutions Class 11 Maths Chapter 7 - Binomial Theorem.

ANSWER : - Firstly, the expression (a  + b)6 – (ab)6 is simplified by using Binomial Theorem.

This can be done as

NCERT Solutions Class 11 Maths Chapter 7 - Binomial Theorem

NCERT Solutions Class 11 Maths Chapter 7 - Binomial Theorem

NCERT Solutions Class 11 Maths Chapter 7 - Binomial Theorem  

Question 3: Find the value of NCERT Solutions Class 11 Maths Chapter 7 - Binomial Theorem.

ANSWER : - Firstly, the expression (x  + y)4  (xy)4 is simplified by using Binomial Theorem.

This can be done as

NCERT Solutions Class 11 Maths Chapter 7 - Binomial Theorem

NCERT Solutions Class 11 Maths Chapter 7 - Binomial Theorem

NCERT Solutions Class 11 Maths Chapter 7 - Binomial Theorem  

 Question 4: Find an approximation of (0.99)5 using the first three terms of its expansion.

ANSWER : - 0.99 = 1 – 0.01

NCERT Solutions Class 11 Maths Chapter 7 - Binomial Theorem

NCERT Solutions Class 11 Maths Chapter 7 - Binomial Theorem

Thus, the value of (0.99)5 is approximately 0.951.

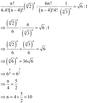
Question 5: Find n, if the ratio of the fifth term from the beginning to the fifth term from the end in the expansion of NCERT Solutions Class 11 Maths Chapter 7 - Binomial Theorem

ANSWER : - In the expansion, NCERT Solutions Class 11 Maths Chapter 7 - Binomial Theorem ,

Fifth term from the beginning NCERT Solutions Class 11 Maths Chapter 7 - Binomial Theorem

Fifth term from the end NCERT Solutions Class 11 Maths Chapter 7 - Binomial Theorem

Therefore, it is evident that in the expansion of NCERT Solutions Class 11 Maths Chapter 7 - Binomial Theorem, the fifth term from the beginning is NCERT Solutions Class 11 Maths Chapter 7 - Binomial Theorem and the fifth term from the end is NCERT Solutions Class 11 Maths Chapter 7 - Binomial Theorem.

NCERT Solutions Class 11 Maths Chapter 7 - Binomial Theorem

It is given that the ratio of the fifth term from the beginning to the fifth term from the end is NCERT Solutions Class 11 Maths Chapter 7 - Binomial Theorem. Therefore, from (1) and (2), we obtain

NCERT Solutions Class 11 Maths Chapter 7 - Binomial Theorem

Thus, the value of n is 10.

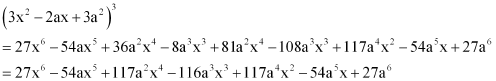
Question 6: Expand using Binomial Theorem NCERT Solutions Class 11 Maths Chapter 7 - Binomial Theorem.

 ANSWER : - Using Binomial Theorem, the given expression NCERT Solutions Class 11 Maths Chapter 7 - Binomial Theorem  can be expanded as

NCERT Solutions Class 11 Maths Chapter 7 - Binomial Theorem

Again by using Binomial Theorem, we obtain

NCERT Solutions Class 11 Maths Chapter 7 - Binomial Theorem

From (1), (2), and (3), we obtain

NCERT Solutions Class 11 Maths Chapter 7 - Binomial Theorem

 

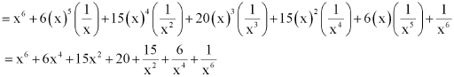
Question 7: Find the expansion of NCERT Solutions Class 11 Maths Chapter 7 - Binomial Theorem using binomial theorem.

 ANSWER : - Using Binomial Theorem, the given expression  NCERT Solutions Class 11 Maths Chapter 7 - Binomial Theorem can be expanded as

NCERT Solutions Class 11 Maths Chapter 7 - Binomial Theorem

Again by using Binomial Theorem, we obtain

NCERT Solutions Class 11 Maths Chapter 7 - Binomial Theorem

From (1) and (2), we obtain

NCERT Solutions Class 11 Maths Chapter 7 - Binomial Theorem

The document NCERT Solutions Class 11 Maths Chapter 7 - Binomial Theorem is a part of the JEE Course Mathematics (Maths) for JEE Main & Advanced.
All you need of JEE at this link: JEE
172 videos|503 docs|154 tests

FAQs on NCERT Solutions Class 11 Maths Chapter 7 - Binomial Theorem

1. What is the Binomial Theorem?
Ans. The Binomial Theorem is a mathematical formula that provides a way to expand expressions of the form (a + b)^n, where 'n' is a positive integer.
2. How is the Binomial Theorem used in mathematics?
Ans. The Binomial Theorem is used to simplify and expand expressions involving binomials, making it easier to calculate powers of binomials and coefficients in algebraic expressions.
3. Can the Binomial Theorem be applied to negative exponents?
Ans. Yes, the Binomial Theorem can be applied to negative exponents by using the formula (a + b)^-n = 1/(a + b)^n for any positive integer 'n'.
4. What are some real-life applications of the Binomial Theorem?
Ans. The Binomial Theorem is used in fields such as probability theory, statistics, finance, and engineering to model and solve various real-world problems involving combinations and permutations.
5. How can one remember and apply the Binomial Theorem effectively in exams?
Ans. To remember and apply the Binomial Theorem effectively in exams, it is recommended to practice a variety of problems, understand the pattern of coefficients in Pascal's Triangle, and memorize key formulas and concepts related to binomial expansions.
Related Searches

Free

,

NCERT Solutions Class 11 Maths Chapter 7 - Binomial Theorem

,

Important questions

,

shortcuts and tricks

,

Semester Notes

,

MCQs

,

Sample Paper

,

Previous Year Questions with Solutions

,

NCERT Solutions Class 11 Maths Chapter 7 - Binomial Theorem

,

past year papers

,

study material

,

practice quizzes

,

Viva Questions

,

Objective type Questions

,

NCERT Solutions Class 11 Maths Chapter 7 - Binomial Theorem

,

Exam

,

mock tests for examination

,

Summary

,

Extra Questions

,

pdf

,

ppt

,

video lectures

;