JEE Exam  >  JEE Notes  >  Mathematics (Maths) Class 12  >  NCERT Solutions Exercise 5.4: Continuity & Differentiability

NCERT Solutions Class 12 Maths Chapter 5 - Continuity & Differentiability

Q1: Differentiate the following w.r.t. x: NCERT Solutions Class 12 Maths Chapter 5 - Continuity & Differentiability
Ans: Let y = NCERT Solutions Class 12 Maths Chapter 5 - Continuity & Differentiability
By using the quotient rule, we obtain
NCERT Solutions Class 12 Maths Chapter 5 - Continuity & Differentiability

Q2: Differentiate the following w.r.t. x: esin-1x
Ans: Let y = esin-1x
By using the chain rule, we obtain
NCERT Solutions Class 12 Maths Chapter 5 - Continuity & Differentiability

Q3: Differentiate the following w.r.t. x: NCERT Solutions Class 12 Maths Chapter 5 - Continuity & Differentiability
Ans: Let y = NCERT Solutions Class 12 Maths Chapter 5 - Continuity & Differentiability
By using the chain rule, we obtain
NCERT Solutions Class 12 Maths Chapter 5 - Continuity & Differentiability

Q4: Differentiate the following w.r.t. x: sin(tan-1e-x)
Ans: Let y = sin(tan-1e-x)
By using the chain rule, we obtain
NCERT Solutions Class 12 Maths Chapter 5 - Continuity & Differentiability

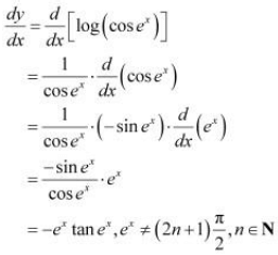
Q5: Differentiate the following w.r.t. x: log(cosex)
Ans: Let y = log(cosex)
By using the chain rule, we obtain
NCERT Solutions Class 12 Maths Chapter 5 - Continuity & Differentiability

Q6: Differentiate the following w.r.t. x:
NCERT Solutions Class 12 Maths Chapter 5 - Continuity & Differentiability
Ans:
NCERT Solutions Class 12 Maths Chapter 5 - Continuity & Differentiability

Q7: Differentiate the following w.r.t. x: NCERT Solutions Class 12 Maths Chapter 5 - Continuity & Differentiability
Ans: Let
NCERT Solutions Class 12 Maths Chapter 5 - Continuity & Differentiability

Q8: Differentiate the following w.r.t. x:
NCERT Solutions Class 12 Maths Chapter 5 - Continuity & Differentiability
Ans: Let y = NCERT Solutions Class 12 Maths Chapter 5 - Continuity & Differentiability
By using the chain rule, we obtain
NCERT Solutions Class 12 Maths Chapter 5 - Continuity & Differentiability

Q9: Differentiate the following w.r.t. x:
NCERT Solutions Class 12 Maths Chapter 5 - Continuity & Differentiability
Ans: Let y = NCERT Solutions Class 12 Maths Chapter 5 - Continuity & Differentiability
By using the quotient rule, we obtain
NCERT Solutions Class 12 Maths Chapter 5 - Continuity & Differentiability

Q10: Differentiate the following w.r.t. x: NCERT Solutions Class 12 Maths Chapter 5 - Continuity & Differentiability, x>0
Ans: Let y = NCERT Solutions Class 12 Maths Chapter 5 - Continuity & Differentiability
By using the chain rule, we obtain
NCERT Solutions Class 12 Maths Chapter 5 - Continuity & Differentiability 

The document NCERT Solutions Class 12 Maths Chapter 5 - Continuity & Differentiability is a part of the JEE Course Mathematics (Maths) Class 12.
All you need of JEE at this link: JEE
203 videos|307 docs|139 tests

FAQs on NCERT Solutions Class 12 Maths Chapter 5 - Continuity & Differentiability

1. What is the difference between continuity and differentiability in calculus?
Ans. Continuity refers to the smoothness of a function where there are no breaks, jumps, or holes. Differentiability, on the other hand, refers to the existence of a derivative at a point, indicating the rate at which the function changes at that point.
2. How do you determine if a function is continuous at a point?
Ans. To determine if a function is continuous at a point, check if the function is defined at that point, the limit of the function exists at that point, and the value of the function equals the limit at that point.
3. Can a function be continuous but not differentiable?
Ans. Yes, a function can be continuous but not differentiable at a point if there is a sharp corner, cusp, or vertical tangent at that point. In such cases, the function is continuous but the derivative does not exist.
4. What is the significance of continuity and differentiability in real-world applications?
Ans. Continuity and differentiability are crucial in real-world applications such as physics, engineering, and economics. They help in analyzing rates of change, determining maximum and minimum values, and understanding the behavior of functions in various scenarios.
5. How can we determine if a function is differentiable at a point using limits?
Ans. To determine if a function is differentiable at a point using limits, calculate the limit of the difference quotient as it approaches zero. If the limit exists, the function is differentiable at that point.
Related Searches

Important questions

,

Free

,

NCERT Solutions Class 12 Maths Chapter 5 - Continuity & Differentiability

,

study material

,

MCQs

,

mock tests for examination

,

ppt

,

NCERT Solutions Class 12 Maths Chapter 5 - Continuity & Differentiability

,

Sample Paper

,

Objective type Questions

,

past year papers

,

Summary

,

practice quizzes

,

Previous Year Questions with Solutions

,

NCERT Solutions Class 12 Maths Chapter 5 - Continuity & Differentiability

,

video lectures

,

Exam

,

Viva Questions

,

Extra Questions

,

pdf

,

shortcuts and tricks

,

Semester Notes

;