JEE Exam  >  JEE Notes  >  Continuity & Differentiability, NCERT Solutions, Class 12, Maths , Part -8

Continuity & Differentiability, NCERT Solutions, Class 12, Maths , Part -8 - JEE PDF Download

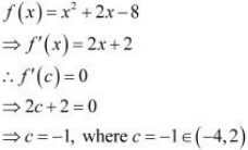
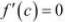
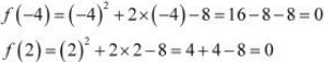
Question 1:
Verify Rolle’s Theorem for the function
Continuity & Differentiability, NCERT Solutions, Class 12, Maths , Part -8 - JEE


Answer
The given function, Continuity & Differentiability, NCERT Solutions, Class 12, Maths , Part -8 - JEE , being a polynomial function, is continuous in [−4,2] and is differentiable in (−4, 2).

Continuity & Differentiability, NCERT Solutions, Class 12, Maths , Part -8 - JEE
∴ f (−4) = f (2) = 0
⇒ The value of f (x) at −4 and 2 coincides.
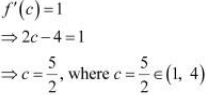
Rolle’s Theorem states that there is a point c ∈ (−4, 2) such that Continuity & Differentiability, NCERT Solutions, Class 12, Maths , Part -8 - JEE

Continuity & Differentiability, NCERT Solutions, Class 12, Maths , Part -8 - JEE
Hence, Rolle’s Theorem is verified for the given function.


Question 2:
Examine if Rolle’s Theorem is applicable to any of the following functions. Can you say
some thing about the converse of Rolle’s Theorem from these examples?
(i)
Continuity & Differentiability, NCERT Solutions, Class 12, Maths , Part -8 - JEE
(ii) Continuity & Differentiability, NCERT Solutions, Class 12, Maths , Part -8 - JEE
(iii) Continuity & Differentiability, NCERT Solutions, Class 12, Maths , Part -8 - JEE


Answer
By Rolle’s Theorem, for a function Continuity & Differentiability, NCERT Solutions, Class 12, Maths , Part -8 - JEE , if

(a) f is continuous on [a, b]
(b) f is differentiable on (a, b)
f (a) = f (b)
then, there exists some c ∈ (a, b) such that Continuity & Differentiability, NCERT Solutions, Class 12, Maths , Part -8 - JEE
Therefore, Rolle’s Theorem is not applicable to those functions that do not satisfy any of
the three conditions of the hypothesis.


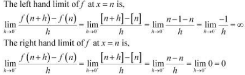
Continuity & Differentiability, NCERT Solutions, Class 12, Maths , Part -8 - JEE
Since the left and right hand limits of f at x = n are not equal, f is not differentiable at x = n
∴ f is not differentiable in (5, 9).
It is observed that f does not satisfy all the conditions of the hypothesis of Rolle’s Theorem.
Hence, Rolle’s Theorem is not applicable for Continuity & Differentiability, NCERT Solutions, Class 12, Maths , Part -8 - JEE .


Continuity & Differentiability, NCERT Solutions, Class 12, Maths , Part -8 - JEE
The differentiability of f in (−2, 2) is checked as follows.
Let n be an integer such that n ∈ (−2, 2).
Continuity & Differentiability, NCERT Solutions, Class 12, Maths , Part -8 - JEE


Continuity & Differentiability, NCERT Solutions, Class 12, Maths , Part -8 - JEE


Question 3:
If
Continuity & Differentiability, NCERT Solutions, Class 12, Maths , Part -8 - JEE  is a differentiable function and if  Continuity & Differentiability, NCERT Solutions, Class 12, Maths , Part -8 - JEE  does not vanish anywhere,

then prove that Continuity & Differentiability, NCERT Solutions, Class 12, Maths , Part -8 - JEE

 


Answer
It is given that Continuity & Differentiability, NCERT Solutions, Class 12, Maths , Part -8 - JEE  is a differentiable function.
Since every differentiable function is a continuous function, we obtain
(a) f is continuous on [−5, 5].
(b) f is differentiable on (−5, 5).
Therefore, by the Mean Value Theorem, there exists c ∈ (−5, 5) such that

Continuity & Differentiability, NCERT Solutions, Class 12, Maths , Part -8 - JEE
Hence, proved.


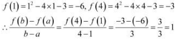
Question 4:
Verify Mean Value Theorem, if
Continuity & Differentiability, NCERT Solutions, Class 12, Maths , Part -8 - JEE  in the interval [a, b], where a =1 and b = 3.


Answer
The given function is Continuity & Differentiability, NCERT Solutions, Class 12, Maths , Part -8 - JEE
f, being a polynomial function, is continuous in [1, 4] and is differentiable in (1, 4) whose derivative is 2x − 4.

Continuity & Differentiability, NCERT Solutions, Class 12, Maths , Part -8 - JEE
Mean Value Theorem states that there is a point c (1, 4) such that Continuity & Differentiability, NCERT Solutions, Class 12, Maths , Part -8 - JEE

Continuity & Differentiability, NCERT Solutions, Class 12, Maths , Part -8 - JEE
Hence, Mean Value Theorem is verified for the given function.


Question 5:

Verify Mean Value Theorem , if Continuity & Differentiability, NCERT Solutions, Class 12, Maths , Part -8 - JEE in the interval [a, b], where a =1
Continuity & Differentiability, NCERT Solutions, Class 12, Maths , Part -8 - JEE b=3
Find all c


Answer
The given function f is Continuity & Differentiability, NCERT Solutions, Class 12, Maths , Part -8 - JEE
f, being a polynomial function, is continuous in [1, 3] and is differentiable in (1, 3)
whose derivative is 3x2 − 10x − 3.

Continuity & Differentiability, NCERT Solutions, Class 12, Maths , Part -8 - JEE

Continuity & Differentiability, NCERT Solutions, Class 12, Maths , Part -8 - JEE
Hence, Mean Value Theorem is verified for the given function and Continuity & Differentiability, NCERT Solutions, Class 12, Maths , Part -8 - JEE is the
only point for which Continuity & Differentiability, NCERT Solutions, Class 12, Maths , Part -8 - JEE


Question 6:
Examine the applicability of Mean Value Theorem for all three functions given in the above exercise 2.


Answer
Mean Value Theorem states that for a function Continuity & Differentiability, NCERT Solutions, Class 12, Maths , Part -8 - JEE , if
(a) f is continuous on [a, b]
(b) f is differentiable on (a, b)
then, there exists some c ∈ (a, b) such that Continuity & Differentiability, NCERT Solutions, Class 12, Maths , Part -8 - JEE
Therefore, Mean Value Theorem is not applicable to those functions that do not satisfy
any of the two conditions of the hypothesis.


(i) Continuity & Differentiability, NCERT Solutions, Class 12, Maths , Part -8 - JEE
It is evident that the given function f (x) is not continuous at every integral point.
In particular, f(x) is not continuous at x = 5 and x = 9 ⇒ f (x) is not continuous in [5, 9].
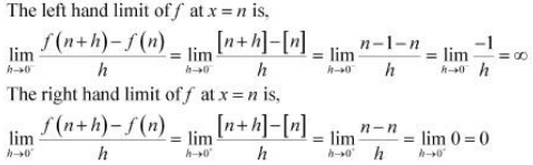
The differentiability of f in (5, 9) is checked as follows.
Let n be an integer such that n ∈ (5, 9).

Continuity & Differentiability, NCERT Solutions, Class 12, Maths , Part -8 - JEE
Since the left and right hand limits of f at x = n are not equal, f is not differentiable at x = n
∴ f is not differentiable in (5, 9).
It is observed that f does not satisfy all the conditions of the hypothesis of Mean Value Theorem.
Hence, Mean Value Theorem is not applicable for Continuity & Differentiability, NCERT Solutions, Class 12, Maths , Part -8 - JEE .


(ii) Continuity & Differentiability, NCERT Solutions, Class 12, Maths , Part -8 - JEE
It is evident that the given function f (x) is not continuous at every integral point.
In particular, f(x) is not continuous at x = −2 and x = 2 ⇒ f (x) is not continuous in [−2, 2].
The differentiability of f in (−2, 2) is checked as follows.
Let n be an integer such that n ∈ (−2, 2).

Continuity & Differentiability, NCERT Solutions, Class 12, Maths , Part -8 - JEE
Since the left and right hand limits of f at x = n are not equal, f is not differentiable at x = n
∴ f is not differentiable in (−2, 2).
It is observed that f does not satisfy all the conditions of the hypothesis of Mean Value Theorem.
Hence, Mean Value Theorem is not applicable for Continuity & Differentiability, NCERT Solutions, Class 12, Maths , Part -8 - JEE .


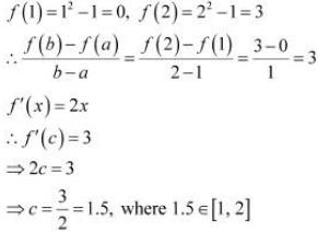
(iii) Continuity & Differentiability, NCERT Solutions, Class 12, Maths , Part -8 - JEE
It is evident that f, being a polynomial function, is continuous in [1, 2] and is differentiable in (1, 2).
It is observed that f satisfies all the conditions of the hypothesis of Mean Value Theorem.
Hence, Mean Value Theorem is applicable for Continuity & Differentiability, NCERT Solutions, Class 12, Maths , Part -8 - JEE .
It can be proved as follows.

Continuity & Differentiability, NCERT Solutions, Class 12, Maths , Part -8 - JEE

The document Continuity & Differentiability, NCERT Solutions, Class 12, Maths , Part -8 - JEE is a part of JEE category.
All you need of JEE at this link: JEE

FAQs on Continuity & Differentiability, NCERT Solutions, Class 12, Maths , Part -8 - JEE

1. What is the concept of continuity in mathematics?
Ans. Continuity is a fundamental concept in mathematics that refers to the smooth and uninterrupted behavior of a function. A function is said to be continuous if it does not have any abrupt jumps, holes, or vertical asymptotes in its graph. In simpler terms, a function is continuous if its graph can be drawn without lifting the pen from the paper.
2. How is the continuity of a function defined mathematically?
Ans. The continuity of a function at a point can be defined mathematically using the three conditions of continuity: - The function must be defined at that point. - The limit of the function as it approaches the point must exist. - The value of the function at the point must be equal to the limit. If all three conditions are satisfied, the function is said to be continuous at that point. If the function is continuous at every point in its domain, it is called a continuous function.
3. What is the significance of continuity in real-world applications?
Ans. Continuity plays a crucial role in real-world applications, especially in fields like physics, engineering, and economics. For example: - In physics, the concept of continuity is used to describe the smooth flow of fluids, electrical currents, or heat. - In engineering, continuity is important for designing structures that can withstand continuous loads and forces without breaking or collapsing. - In economics, continuity is used to model and analyze the behavior of continuous variables such as demand and supply curves. Understanding continuity helps in solving real-world problems by providing a mathematical framework for modeling and analyzing continuous phenomena.
4. What is the difference between continuity and differentiability?
Ans. Continuity and differentiability are two related but distinct concepts in calculus. While continuity refers to the smooth and uninterrupted behavior of a function, differentiability focuses on the existence of the derivative of a function at a particular point. A function is said to be differentiable at a point if the derivative of the function exists at that point. In other words, differentiability implies continuity, but continuity does not necessarily imply differentiability. A function can be continuous without being differentiable, but if a function is differentiable at a point, it is always continuous at that point.
5. How can we determine the differentiability of a function?
Ans. To determine the differentiability of a function at a point, we need to check if the derivative of the function exists at that point. The derivative of a function represents the rate of change of the function with respect to its independent variable. If the derivative exists at a point, it means that the function has a well-defined instantaneous rate of change at that point. The derivative can be calculated using differentiation rules and techniques. If the derivative exists, the function is differentiable at that point; otherwise, it is not differentiable. Note that a function may be differentiable at some points and not differentiable at others within its domain.
Download as PDF

Top Courses for JEE

Related Searches

mock tests for examination

,

video lectures

,

Class 12

,

Maths

,

Semester Notes

,

practice quizzes

,

Continuity & Differentiability

,

Part -8 - JEE

,

Sample Paper

,

Continuity & Differentiability

,

study material

,

Class 12

,

Extra Questions

,

MCQs

,

Summary

,

Exam

,

Maths

,

Part -8 - JEE

,

Previous Year Questions with Solutions

,

NCERT Solutions

,

Free

,

Objective type Questions

,

Class 12

,

NCERT Solutions

,

ppt

,

Important questions

,

NCERT Solutions

,

Continuity & Differentiability

,

shortcuts and tricks

,

pdf

,

Viva Questions

,

past year papers

,

Part -8 - JEE

,

Maths

;