JEE Exam  >  JEE Notes  >  Previous Year Questions - Biomolecules (IIT - JEE Advanced)

Previous Year Questions - Biomolecules (IIT - JEE Advanced) PDF Download

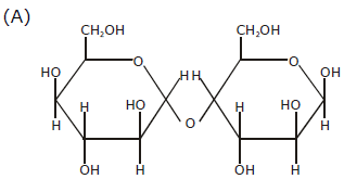
Q 1. Give the structures of the products in the following reaction Sucrose  Previous Year Questions - Biomolecules (IIT - JEE Advanced) A+B   [IIT 2000]

 

Ans.

Previous Year Questions - Biomolecules (IIT - JEE Advanced)     Previous Year Questions - Biomolecules (IIT - JEE Advanced)

 

Q 2. Give the structure of the products in the following reaction                                              [IIT 2000]
Previous Year Questions - Biomolecules (IIT - JEE Advanced)

 

Ans.

Previous Year Questions - Biomolecules (IIT - JEE Advanced) Previous Year Questions - Biomolecules (IIT - JEE Advanced) Previous Year Questions - Biomolecules (IIT - JEE Advanced)


 

Q 3. Aspartame, an artificial sweetener, is a peptide and has the following structure :            [IIT 2001]


Previous Year Questions - Biomolecules (IIT - JEE Advanced)

(ii) Write the zwitter ionic structure.
(iii) Write the structure of the amino acids obtained from the hydrolysis of aspartame.
(iv) Which of the two amino acids is more hydrophobic?

 

Ans.

Previous Year Questions - Biomolecules (IIT - JEE Advanced)

Previous Year Questions - Biomolecules (IIT - JEE Advanced)

Previous Year Questions - Biomolecules (IIT - JEE Advanced)

Previous Year Questions - Biomolecules (IIT - JEE Advanced) Previous Year Questions - Biomolecules (IIT - JEE Advanced)

(iv) B is more hydrophobic due to presence of larger organic gp., benzyl gp. (C6H5CH2-).


Q 4. Write the structure of alanine at pH = 2 and pH = 10.                                                       [IIT 2002]

 

Ans. 

Previous Year Questions - Biomolecules (IIT - JEE Advanced)                     Previous Year Questions - Biomolecules (IIT - JEE Advanced)


Q 5. Write down the heterogeneous catalyst involved in the polymerization of ethylene.      [IIT 2003]

 

Ans. nCH2 = CH2   Previous Year Questions - Biomolecules (IIT - JEE Advanced) Zieglar Natta catalyst (R3Al + TiCl4) acts as heterogenous catalyst. While Willikinson's Catalyst ((Ph3P)3.RhCl) acts as homogenous catalyst.


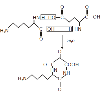
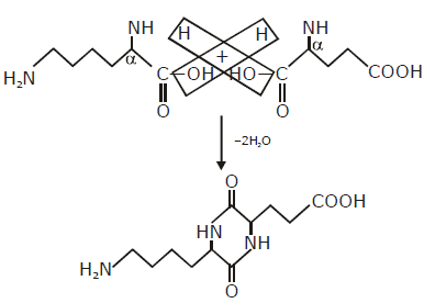
Q 6.. Following two amino acids liosine and glutamine form dipeptide linkage. What are two possible dipeptides ?
Previous Year Questions - Biomolecules (IIT - JEE Advanced)               [IIT 2003]

 

Ans.

Peptide linkage is  Previous Year Questions - Biomolecules (IIT - JEE Advanced) and it is formed by the condensatoin between —NH2 group and —COOH group as follows :

Previous Year Questions - Biomolecules (IIT - JEE Advanced)

In given amino acids liosine and glutamine the two possible dipeptides are formed as follows:

(i) When both NH2 gp. α to —COOH are condensed

Previous Year Questions - Biomolecules (IIT - JEE Advanced)

(ii) When α-NH2 of both amino acids is used but in one terminal —COOH gp. lacking α-NH2 gp. is used.

Previous Year Questions - Biomolecules (IIT - JEE Advanced)


Q 7. The structure of D-glucose is as follows : [IIT 2004]
Previous Year Questions - Biomolecules (IIT - JEE Advanced)
(a) Draw the structure of L-glucose

(b) Give the reaction of L-glucose with Tollen’s reagent

 

Ans. (a) The structure of L-glucose can be drawn by reversing the position of H and OH at the second last C-atom of D-glucose given i.e.,

Previous Year Questions - Biomolecules (IIT - JEE Advanced)

Hence structure of L-glucose will be :


Previous Year Questions - Biomolecules (IIT - JEE Advanced)

Position of H and OH at C* is opposite to that in D.

(b) With Tollen's reagent the terminal —CHO group oxidised to —COOH group as :

Previous Year Questions - Biomolecules (IIT - JEE Advanced)

 


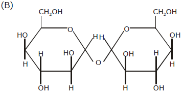
Q 8. Which of the following disaccharide will not reduce Tollen’s reagent ?
 
Previous Year Questions - Biomolecules (IIT - JEE Advanced)


Previous Year Questions - Biomolecules (IIT - JEE Advanced)

 

Ans. In structure (a), one ring has a free hemiacetal group, will hydrolyse into open chain in aqueous solution and therefore will reduce Tollen's reagent. Structure 'b' has only acetyl groups, will not hydrolyse in aqueous solution into open chain, will not reduce Tollen's reagent.


Q 9. Monomer A of a polymer on ozonolysis yields two moles of HCHO and one mole of CH3COCHO.
(a) Deduce the structure of A.
(b) Write the structure of “all cis”-form of polymer of compound A.                                       [IIT 2005]

 

Ans.

Previous Year Questions - Biomolecules (IIT - JEE Advanced)

 

Q 10. What is the total number of basic grops in the following form of lysine ?                         [IIT 2010]
 

Previous Year Questions - Biomolecules (IIT - JEE Advanced)
 

Ans. 2

 

Q 11. When the following aldohexose exists in its D-configuration, the total number stereoisomers in its pyranose form is                                                                            [IIT 2012]
Previous Year Questions - Biomolecules (IIT - JEE Advanced)
 

Ans. 8

 

Q 12. The substituents R1 and R2 for nine peptides are listed in the table given blow. How many of these peptides are positively charged at pH = 7.0?                                [IIT 2012]
Previous Year Questions - Biomolecules (IIT - JEE Advanced)
Previous Year Questions - Biomolecules (IIT - JEE Advanced)

 

Ans. 4


Q 13. The total number of lone-pairs of electrons in melamine is                             [IIT(Advance) 2013]

 

Ans. 0006

Previous Year Questions - Biomolecules (IIT - JEE Advanced)

Lone pairs of electrons in malamine is 6.
 

Q 14. A tetrapeptide has –COOH group on alanine. This produces glycine (Gly), valine (Val), phenyl alanine (Phe) and alanine (Ala), on complete hydrolysis. For this tetrapeptite, the number of possible sequencess (primary structures) with –NH2 group attached to a chiral center is        IIT(Advance) 2013]
 

Ans. 0004

Phe –– Gly –– Val –– Ala

Phe –– Val –– Gly –– Ala

Val –– Gly –– Phe –– Ala

Val –– Phe –– Gly –– Ala

(Glycine has no chiral centre)

The document Previous Year Questions - Biomolecules (IIT - JEE Advanced) is a part of JEE category.
All you need of JEE at this link: JEE

FAQs on Previous Year Questions - Biomolecules (IIT - JEE Advanced)

1. What are biomolecules and why are they important in biological systems?
Ans. Biomolecules are organic molecules that are essential for the functioning of living organisms. They include carbohydrates, proteins, lipids, and nucleic acids. Biomolecules play crucial roles in various biological processes such as metabolism, cellular signaling, and DNA replication. They provide energy, structural support, and are involved in the transmission of genetic information.
2. How are carbohydrates classified and what are their functions in living organisms?
Ans. Carbohydrates are classified into monosaccharides, disaccharides, and polysaccharides based on the number of sugar units they contain. Monosaccharides are the simplest carbohydrates and are the building blocks of larger carbohydrates. Disaccharides are formed when two monosaccharides are joined together, and polysaccharides are formed by the polymerization of monosaccharides. Carbohydrates serve as a major source of energy in living organisms. They are broken down during cellular respiration to produce ATP, which is used as a source of energy for various cellular activities. Carbohydrates also play a role in cell recognition, cell signaling, and act as structural components in plants (cellulose) and animals (chitin).
3. What are the primary functions of proteins in living organisms?
Ans. Proteins have diverse functions in living organisms. They are involved in catalyzing biochemical reactions as enzymes, providing structural support to cells and tissues, transporting molecules (e.g., hemoglobin), defending against pathogens as antibodies, and regulating gene expression as transcription factors. Proteins also play a crucial role in cell signaling, muscle contraction, and immune response.
4. What is the structure and function of nucleic acids?
Ans. Nucleic acids are macromolecules that store and transmit genetic information in living organisms. They are composed of nucleotide monomers, which consist of a sugar (ribose or deoxyribose), a phosphate group, and a nitrogenous base (adenine, guanine, cytosine, or thymine/uracil). There are two types of nucleic acids: DNA (deoxyribonucleic acid) and RNA (ribonucleic acid). DNA carries the genetic instructions for the development, functioning, and reproduction of all known organisms. RNA is involved in various cellular processes, including protein synthesis and gene regulation.
5. How do lipids function in cells and organisms?
Ans. Lipids are a diverse group of biomolecules that are insoluble in water. They serve several important functions in cells and organisms. Lipids act as a concentrated source of energy, storing more than twice the amount of energy as carbohydrates. They also provide insulation and protection to organs, serve as structural components of cell membranes, and act as signaling molecules. Lipids are involved in the synthesis of hormones, such as estrogen and testosterone, and play a crucial role in the absorption and transport of fat-soluble vitamins. Additionally, lipids contribute to the formation of the myelin sheath, which insulates nerve cells and facilitates efficient nerve impulse transmission.
Download as PDF

Top Courses for JEE

Related Searches

Viva Questions

,

Previous Year Questions - Biomolecules (IIT - JEE Advanced)

,

Sample Paper

,

practice quizzes

,

pdf

,

Summary

,

shortcuts and tricks

,

study material

,

Objective type Questions

,

Previous Year Questions - Biomolecules (IIT - JEE Advanced)

,

video lectures

,

Exam

,

mock tests for examination

,

Previous Year Questions - Biomolecules (IIT - JEE Advanced)

,

Important questions

,

Previous Year Questions with Solutions

,

past year papers

,

MCQs

,

ppt

,

Semester Notes

,

Free

,

Extra Questions

;