Compaction is the application of mechanical energy to soil so as to rearrange its particles and reduce the void ratio. It is employed to improve the engineering properties of existing soils or during placement of fills for embankments, road bases, runways, earth dams and reinforced earth walls. Compaction is also used to prepare a firm and level foundation for buildings. Compaction normally rearranges particles and pore spaces; it does not change the water content significantly nor the size of individual soil grains.
The primary objectives of compaction are:
Laboratory compaction tests determine the variation of dry density with water content for a given compactive effort. These results are used to select field compaction procedures and to specify compaction control values for construction.
Standard laboratory procedures commonly used are:

The compactive energy applied per unit volume in a rammer-type laboratory test may be written as
E = (W × H × N) / V
where W = weight of rammer, H = fall height, N = total number of blows applied and V = mould volume. This expression shows why different combinations of rammer weight, drop height and number of layers produce different compactive efforts.


=4J
To measure the degree of compaction, the dry unit weight (dry density) is used because it indicates how closely the solid particles are packed in a given volume. Laboratory testing establishes the maximum dry density attainable for a specified compactive effort and the corresponding water content at which this maximum occurs.
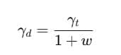
In practice, the bulk (wet) density (γ) and the moisture content (w) are measured. The dry density (γd) is then calculated as

where γ is the bulk (wet) unit weight and w is the water content (expressed as a decimal). The test is carried out at a range of moisture contents and a plot of dry density versus water content is drawn.



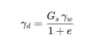
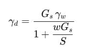
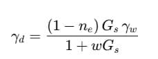
An increase in dry density represents a decrease in voids ratio and a more compact soil. Dry density may also be related to the percentage of air voids (na) as shown below.

The line obtained by assuming full saturation (S = 100 %) is called the zero air-voids line. It represents the theoretical maximum dry density for a given water content if all air were expelled. In practice, complete elimination of air is not possible, so the zero air-voids line represents an upper bound and is not achievable by compaction.
Try yourself: What test method was developed due to the inability of the Light Compaction Test to replicate field densities under heavier loading conditions?

The final dry density achieved in the field depends on the compaction technique. Important factors include compaction energy, moisture content at compaction, compaction method (static, impact, kneading, vibration), number of passes, type and size of compactor, soil gradation and particle shape, and environmental conditions. Choice of method should match soil type and the required field density.
Coarse-grained soils (sands and gravels) more readily attain higher dry densities at lower water contents. Fine-grained soils (silts and clays) typically achieve lower maximum dry densities and require higher moisture contents to reach MDD because of the presence of fines and adsorbed water films.
In the laboratory, the main factors influencing the degree of compaction are:
For cohesionless soils (clean sands and gravels) the standard Proctor-type compaction test is less useful because these soils are compacted effectively by vibration rather than by tamping. Vibration allows particles to rearrange into a dense packing. Watering during compaction may also help achieve higher densities for some granular materials.
For cohesionless soils, field specifications commonly use relative density (ID) as a requirement. Relative density is defined by reference to the maximum and minimum void ratios or corresponding dry densities determined in laboratory tests.


Values of maximum and minimum dry densities (or void ratios) depend on grain gradation and angularity, so relative density does not directly give an absolute dry density without knowing these bounds.
On the basis of relative density, sands and gravels are commonly classified into categories of loose, medium and dense condition as shown in laboratory tables and charts.

Soils compacted at the same dry density but on different sides of OMC (dry side or wet side) show different structures and engineering behaviour. The water content at compaction is therefore important, not only the dry density achieved.
For a given compactive effort, soils compacted on the dry side of OMC tend to have a flocculated or open structure where particles interlock in a more random arrangement. Soils compacted on the wet side tend to have a dispersed, more parallel particle orientation, caused by thicker adsorbed water films around particles.
Soils compacted dry of OMC have drier particles and partially developed water films; when they gain access to water they tend to absorb more and swell more than soils compacted wet of OMC.
Soils compacted wet of OMC usually exhibit greater shrinkage on drying because their particle arrangement allows greater change in volume as water is removed.
Compaction proceeds layer by layer in fills, generating pore water pressures in underlying layers. Soils compacted wet of OMC develop higher positive pore pressures, whereas soils compacted dry of OMC may develop negative pore pressures initially, affecting stability and consolidation behaviour.
Dry-side compacted soils with a random particle orientation tend to have more isotropic permeability. Wet-side compacted soils with aligned particle fabrics may be more permeable along particle orientation and less across it.
At low applied stresses, soils compacted dry of OMC are generally less compressible because of the truss-like flocculated arrangement. Wet-side compacted soils are more compressible at low stresses. Under high stresses where particle reorientation occurs, both initially dry-side and wet-side soils tend to converge to similar structures, compressibility and strength.

In the field, compaction is achieved using a variety of equipment chosen according to soil type and the required compaction. Common types of rollers and compactors include:
Field quality control ensures that the specified compaction (often expressed as a percentage of laboratory MDD) is achieved. Common field tests include:
Typical field specification requires compaction to a percentage of the laboratory MDD (for example, 95% of MDD by Standard Proctor) and control testing is performed at regular intervals and at locations specified by the engineer.


Try yourself: What is the effect of compaction on the structure of soil?
Compaction is a crucial construction operation: selecting the correct moisture content, compactive effort and compaction method for the soil type ensures a compacted layer with suitable strength, stiffness and permeability. Laboratory compaction tests provide MDD and OMC for specified compactive efforts; field compaction must be controlled against these laboratory values using appropriate field testing. Understanding differences between dry-side and wet-side compaction helps predict swelling, shrinkage, permeability and compressibility behaviour of compacted fills.
2 videos|160 docs|55 tests |
| 1. What is soil compaction in civil engineering? | ![]() |
| 2. Why is soil compaction important in construction projects? | ![]() |
| 3. How is soil compaction achieved in civil engineering? | ![]() |
| 4. What are the factors that affect soil compaction? | ![]() |
| 5. What are the common methods used for measuring soil compaction? | ![]() |