| Table of contents |
Definition: A function f: A → B is called a one-one function or injective mapping if distinct elements of A have distinct images in B. Equivalently, for x1, x2 ∈ A,
f(x1) = f(x2) ⇔ x1 = x2.
In other words, x1 ≠ x2 implies f(x1) ≠ f(x2).
Diagrammatically an injective mapping can be shown as
OR
Remark:
Q.1. Determine if the function given below is one to one.
(i) To each state of India assign its Capital
Ans. This is not one to one function because each state of India has not different capital.
(ii) Function = {(2, 4), (3, 6), (-1, -7)}
Ans. The above function is one to one because each value of range has different value of domain.
(iii) f(x) = |x|
Ans. To check whether f(x) = |x| is one-one, evaluate values for some x in the domain and observe their images.

From the table we see that the range value 1 is obtained from both x = 1 and x = -1. Hence the mapping is not one-one.
Q.2. Without using graph prove that the function
F : R → R defiend by f (x) = 4 + 3x is one-to-one
Ans.
Assume f(x1) = f(x2) for arbitrary x1, x2 ∈ R.
4 + 3x1 = 4 + 3x2.
Subtract 4 from both sides: 3x1 = 3x2.
Divide both sides by 3: x1 = x2.
Thus f(x1) = f(x2) implies x1 = x2, so f is one-one.
Definition: A function f: A → B is called a many-one function if two or more distinct elements of A have the same image in B. That is, there exist x1, x2 ∈ A with x1 ≠ x2 but f(x1) = f(x2).
Diagrammatically a many-one mapping can be shown as
OR

Remark:
Q.3. Without using graph check the following function f: R → R defined by f (x) = x2 is one-to-one or not ?
Ans.
If x = 1 then f(1) = 1.
If x = -1 then f(-1) = 1.
Different domain elements 1 and -1 give the same image 1. Hence f(x) = x2 is not one-one; it is many-one.
Thus any function that is not one-one may be called many-one.
Example 16. Show that the function f(x) = (x2 - 8x + 18)/(x2 + 4x + 30) is not one-one.
Solution.
To test for one-one, check whether f(x1) = f(x2) implies x1 = x2.

From the algebraic manipulation (or by exhibiting distinct x values with the same image), we find that f(x1) = f(x2) does not necessarily imply x1 = x2. Hence f is not one-one.
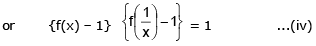
Example 17. Let f be an injective function such that f(x) f(y) + 2 = f(x) + f(y) + f(xy) ∀ x, y ∈ R. If f(4) = 65 and f(0) ≠ 2, then show that f(x) - 1 = x3 for x ∈ R
Solution.
Given f(x)f(y) + 2 = f(x) + f(y) + f(xy). (i)
Put x = y = 0 in (i): f(0)f(0) + 2 = f(0) + f(0) + f(0).
Hence (f(0))2 + 2 = 3f(0).
Rearrange: (f(0) - 2)(f(0) - 1) = 0.
Since f(0) ≠ 2, we get f(0) = 1.
Put x = y = 1 in (i) and perform similar steps to obtain (f(1) - 2)(f(1) - 1) = 0.
Injectivity excludes f(1) = 1, so f(1) = 2.
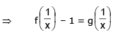
Now put y = 1/x in (i) (x ≠ 0) and simplify to obtain a relation leading to
Let g(x) = f(x) - 1.
From the transformed relation we get g(x) g(1/x) = 1.
This forces g(x) to be of the form ± xn for some integer n, so f(x) = ± xn + 1.
Given f(4) = 65, we solve 65 = ± 4n + 1.
Therefore 4n = 64 = 43, so n = 3.
With sign chosen to match values, we get f(x) = x3 + 1, i.e. f(x) - 1 = x3.
Definition: A function f: A → B is called onto or surjective if every element of the codomain B is the image of at least one element of A. That is, for every b ∈ B, there exists a ∈ A such that f(a) = b.
Diagrammatically surjective mapping can be shown as
OR

Note: If the range of f equals its codomain, then f is onto.
Q.4. If f: R → R is defined as f (x)= 3x + 7, x ∈ R, then show that f is an onto function.
Ans.
Let b ∈ R be arbitrary. Solve for x such that f(x) = b.
3x + 7 = b.
x = (b - 7)/3.
Since b ∈ R, x ∈ R. Thus for every b in R there exists x = (b - 7)/3 with f(x) = b.

Hence f is onto.
Definition: A function f: A → B is called into if there exists at least one element of the codomain B that is not an image of any element of A.
Diagrammatically into function can be shown as
Remark:
(a) One-one onto (injective & surjective)
(b) One-one into (injective but not surjective)
(c) Many-one onto (surjective but not injective)
(d) Many-one into (neither surjective nor injective)
Remark:
Q. Prove that
F : R → R defined by f (x) = 4x3 - 5 is a bijection
Ans.
First show injectivity: assume f(x1) = f(x2).
4x13 - 5 = 4x23 - 5.
Therefore x13 = x23.
So x13 - x23 = 0, which factors as (x1 - x2)(x12 + x1x2 + x22) = 0.
Since the quadratic factor is non-negative and zero only when x1 = x2, we get x1 = x2. Thus f is injective.
Now show surjectivity: given arbitrary y ∈ R, solve y = 4x3 - 5 for x.
4x3 = y + 5.
x = ((y + 5)/4)1/3, which is a real number for every real y.
Hence every y has a preimage; f is onto.
Therefore f is both one-one and onto, i.e. bijective.

Example 18. A function is defined as , f: D → R f(x) = cot-1 (sgn x) + sin-1(x - {x}) (where {x} denotes the fractional part function) Find the largest domain and range of the function. State with reasons whether the function is injective or not. Also draw the graph of the function.
Solution.
Analysis shows that such a function takes a finite set of values repeated on intervals because both signum and fractional part produce piecewise-constant or bounded behaviours. Therefore the function is many-one.
Example 19. Find the linear function(s) which map the interval [0, 2] onto [1, 4].
Solution.
Let f(x) = ax + b be linear and map [0, 2] onto [1, 4].
Either f(0) = 1 and f(2) = 4, or f(0) = 4 and f(2) = 1 (linear map reversing the interval).
Case 1: f(0) = b = 1 and f(2) = 2a + b = 4 ⇒ 2a + 1 = 4 ⇒ a = 3/2.
So f(x) = (3/2)x + 1.
Case 2: f(0) = b = 4 and f(2) = 2a + 4 = 1 ⇒ 2a = -3 ⇒ a = -3/2.
So f(x) = 4 - (3/2)x.
Thus the two linear maps are f(x) = 3x/2 + 1 and f(x) = 4 - 3x/2.
Example 20.
(i) Find whether f(x) = x + cos x is one-one.
(ii) Identify whether the function f(x) = -x3 + 3x2 - 2x + 4 ; R → R is ONTO or INTO
(iii) f(x) = x2 - 2x + 3; [0, 3] → A. Find whether f(x) is injective or not. Also find the set A, if f(x) is surjective.
Solution.
(i)
Compute derivative: f'(x) = 1 - sin x.
Since -1 ≤ sin x ≤ 1, we have f'(x) ≥ 0 for all x and equality holds only at isolated points where sin x = 1.
Therefore f is strictly increasing except at isolated points and is one-one on R.
(ii)
The cubic polynomial -x3 + 3x2 - 2x + 4 has codomain R and as a continuous odd-degree polynomial it attains all real values. Hence, as given with codomain = R, the function is ONTO.
(iii)
For f(x) = x2 - 2x + 3 on [0, 3], derivative f'(x) = 2(x - 1).
f is not monotonic on [0, 3] (it decreases on [0,1] and increases on [1,3]) so it is not injective.
To find A for surjectivity, compute the range on [0,3]. Minimum occurs at x = 1 with f(1) = 2 and maximum at an endpoint x = 3 with f(3) = 9 - 6 + 3 = 6.
Thus the range is [2, 6], so A = [2, 6].
Example 21. If f and g be two linear functions from [-1, 1] onto [0, 2] and
be defined by
Solution.
Let h be a linear function from [-1,1] onto [0,2], write h(x) = ax + b.
If a > 0 (increasing) we require h(-1) = 0 and h(1) = 2 giving -a + b = 0 and a + b = 2.
Solving: a = 1, b = 1, so h(x) = x + 1.
If a < 0 (decreasing) we require h(-1) = 2 and h(1) = 0 giving -a + b = 2 and a + b = 0.
Solving: a = -1, b = 1, so h(x) = 1 - x.
Thus the two onto linear maps are f(x) = 1 + x and g(x) = 1 - x (or swapped).
In both cases the required algebraic combination (as given in the original problem statement) can be evaluated; the image placeholders above indicate the steps and graphs as in a worked solution.
This chapter categorises functions by how elements of the domain map to the codomain: injective (one-one), surjective (onto), many-one, and into. A function that is both injective and surjective is bijective. For each concept, test by algebraic conditions or derivatives (for continuous functions) and use graphs and example functions to verify. Examples above illustrate functional equations, algebraic tests for injectivity/surjectivity, and construction of linear maps between intervals.
173 videos|510 docs|154 tests |
| 1. What is the classification of functions? | ![]() |
| 2. How are linear functions classified? | ![]() |
| 3. What are the characteristics of quadratic functions? | ![]() |
| 4. How are exponential functions classified? | ![]() |
| 5. What are the classifications of trigonometric functions? | ![]() |
173 videos|510 docs|154 tests |
![]() | Explore Courses for JEE exam |