Transistor Biasing & Stabilization | Analog and Digital Electronics - Electrical Engineering (EE) PDF Download

NEED FOR TRANSISTOR BIASING:

If the o/p signal must be a faithful reproduction of the i/p signal, then transistor must be operated in active region. That means an operating point has to be established in this region . To establish an operating point (proper values of collector current IC and collector to emitter voltage VCE) appropriate supply voltages and resistances must be suitably chosen in the circuit. This process of selecting proper supply voltages and resistance for obtaining desired operating point or Q point is called as biasing and the circuit used for transistor biasing is called as biasing circuit.

There are four conditions to be met by a transistor so that it acts as a faithful amplifier:

  1. Emitter base junction must be forward biased (VBE=0.7Vfor Si, 0.2V for Ge) and collector base junction must be reverse biased for all levels of i/p signal.
  2. Vce voltage  should not fall below VCE (sat) (0.3V for Si, 0.1V for Ge) for any part of the i/p signal. For VCE less than VCE (sat) the collector base junction is not probably reverse biased.
  3. The value of the signal Ic when no signal is applied should be at least equal to the max. collector current due to signal alone.
  4. Max. rating of the transistor Ic(max), VCE (max) and PD(max) should not be exceeded at any value of i/p signal.

Consider fig1. If operating point is selected at A, A represents a condition when no bias is applied to the transistor i.e, IC=0, VCE =0. It does not satisfy the above stated conditions necessary for faithful amplification.

Point C is too close to PD(max) curve of the transistor. Therefore  the o/p voltage swing in the positive direction is limited.

Point B is located in the middle of active region. It will allow both positive and negative  half cycles in the o/p signal. It also provides linear gain and larger possible o/p voltages and currents.

Hence operating point for a transistor amplifier is selected to be in the middle of active region.

                            Transistor Biasing & Stabilization

DC LOAD LINE:

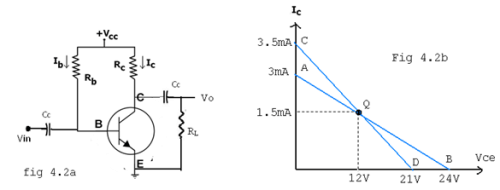
Referring to the biasing circuit of fig 4.2a, the values of VCC and RC are fixed and IC and VCE are dependent on RB.

Applying Kirchhoff’s voltage law to the collector circuit in fig. 4.2a, we get  

                                       VCC= ICR+ Vce
 

Transistor Biasing & Stabilization

 

The straight line represented by AB in fig4.2b is called the dc load line. The coordinates of the end point A are obtained by substituting VCE =0 in the above equation. Then 

ICC = VCC/RC  Therefore The coordinates of A are  VCE =0 and ICC = VCC/RC.


The coordinates of B are obtained by substituting IC=0 in the above equation. Then Vce = Vcc. Therefore the coordinates of B are VCE =Vcc and IC=0. Thus the dc load line AB can be drawn if the values of RC and VCC are known.

As shown in the fig4.2b, the optimum POINT IS LOCATED AT THE MID POINT OF THE MIDWAY BETWEEN A AND B. In order to get faithful amplification, the Q point must be well within the active region of the transistor.

Even though the Q point is fixed properly, it is very important to ensure that the operating point remains stable where it is originally fixed. If the Q point shifts nearer to either A or B, the output voltage and current get clipped, thereby distorting the o/p signal.

In practice, the Q-point tends to shift its position due to any or all of the following three main factors.

  1. Reverse saturation current, Ico, which doubles for every 10oC raise in temperature
  2. Base emitter Voltage ,VBE, which decreases by 2.5 mV per oC
  3. Transistor current gain, hFE or β which increases with temperature.  

If base current IB is kept constant since IB is approximately equal to Vcc/RB. If the transistor is replaced by another one of the same type, one cannot ensure that the new transistor will have identical parameters as that of the first one. Parameters such as β vary over a range. This results in the variation of collector current IC for a given IB. Hence , in the o/p characteristics, the spacing between the curves might increase or decrease which leads to the shifting of the Q-point to a location which might be completely unsatisfactory.

 

AC LOAD LINE:

After drawing the dc load line, the operating point Q is properly located at the center of the dc load line. This operating point is chosen under zero input signal condition of the circuit. Hence the ac load line should also pass through the operating point Q. The effective ac load resistance Rac, is a parallel combination of RC and RL i.e. Rac = R|| RC. So the slope of the ac load line CQD will be Transistor Biasing & Stabilization. To draw the ac load line, two end points, i.e. VCE(max) and IC(max)  when the signal is applied are required.

VCE(max)=VCEQ+ICQRac, which locates point D on the Vce axis.

Transistor Biasing & Stabilization  which locates the point C  on the IC axis.


By joining points C and D, ac load line CD is constructed. As RC > Rac, The dc load line is less steep than ac load line.

 


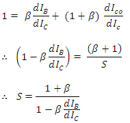
STABILITY FACTOR (S):

            The rise of temperature results in increase in the value of transistor gain β and the leakage current ICO. So, IC also increases which results in a shift in operating point. Therefore, The biasing network should be provided with thermal stability. Maintenance of the operating point is specified by S, which indicates the degree of change in operating point due to change in temperature.

The extent to which IC is stabilized with varying temperature is measured by a stability factor S.

Transistor Biasing & Stabilization

       For CE configuration Transistor Biasing & Stabilization

Differentiate the above equation w.r.t IC , We get

                                   Transistor Biasing & Stabilization

S should be small to have better thermal stability.

Stability factor S’ and S’’:

 

S’ is defined as the rate of change of   IC with VBE, keeping IC and VBE constant.

Transistor Biasing & Stabilization

S’’ is defined as the rate of change of   IC with β, keeping ICO and VBE constant.

Transistor Biasing & Stabilization

The document Transistor Biasing & Stabilization | Analog and Digital Electronics - Electrical Engineering (EE) is a part of the Electrical Engineering (EE) Course Analog and Digital Electronics.
All you need of Electrical Engineering (EE) at this link: Electrical Engineering (EE)
135 videos|181 docs|71 tests

FAQs on Transistor Biasing & Stabilization - Analog and Digital Electronics - Electrical Engineering (EE)

1. What is transistor biasing and why is it important in electronic circuits?
Ans. Transistor biasing is the process of setting the DC operating point or voltage and current conditions at which a transistor operates. It is important in electronic circuits because it ensures that the transistor operates in its desired region, allowing for proper amplification or switching of signals.
2. How does transistor biasing affect the stability of electronic circuits?
Ans. Transistor biasing plays a crucial role in stabilizing electronic circuits. Proper biasing ensures that the transistor operates within its linear region, avoiding distortion or clipping of the amplified signal. It also prevents thermal runaway, which is the uncontrolled increase in temperature of the transistor due to improper biasing, leading to circuit failure.
3. What are the different methods of transistor biasing?
Ans. There are various methods of transistor biasing, including fixed bias, emitter bias, collector-to-base bias, and voltage-divider bias. Fixed bias uses a fixed voltage source to bias the transistor, while emitter bias connects a resistor between the emitter and ground. Collector-to-base bias employs a resistor between the collector and base, and voltage-divider bias utilizes resistors to create a voltage divider network for biasing.
4. How can we calculate the values of resistors for transistor biasing?
Ans. The values of resistors for transistor biasing can be calculated using the desired DC operating conditions and the transistor's specifications. The calculations involve considering the desired collector current, base current, and voltage drops across various components. Formulas such as Ohm's law and transistor biasing equations are used to determine the appropriate resistor values.
5. What are the common issues faced in transistor biasing and how can they be resolved?
Ans. Common issues in transistor biasing include thermal instability, voltage or current drift, and sensitivity to ambient temperature changes. These issues can be resolved by using temperature-compensating components, such as diodes or thermistors, to stabilize the biasing conditions. Additionally, proper heat sinking and thermal management techniques can be employed to prevent thermal instability. Regular monitoring and adjustment of the biasing circuit can help maintain stability over time.
Related Searches
practice quizzes, study material, ppt, Extra Questions, Free, Viva Questions, Important questions, shortcuts and tricks, past year papers, Semester Notes, Exam, Previous Year Questions with Solutions, Summary, video lectures, MCQs, mock tests for examination, Objective type Questions, Transistor Biasing & Stabilization | Analog and Digital Electronics - Electrical Engineering (EE), Transistor Biasing & Stabilization | Analog and Digital Electronics - Electrical Engineering (EE), Sample Paper, pdf , Transistor Biasing & Stabilization | Analog and Digital Electronics - Electrical Engineering (EE);