UPSC Exam  >  UPSC Tests  >  Test: Mental Ability, Analytical & Logical Reasoning - 8 (2014-2013) - UPSC MCQ

Test: Mental Ability, Analytical & Logical Reasoning - 8 (2014-2013) - UPSC MCQ


Test Description

20 Questions MCQ Test - Test: Mental Ability, Analytical & Logical Reasoning - 8 (2014-2013)

Test: Mental Ability, Analytical & Logical Reasoning - 8 (2014-2013) for UPSC 2025 is part of UPSC preparation. The Test: Mental Ability, Analytical & Logical Reasoning - 8 (2014-2013) questions and answers have been prepared according to the UPSC exam syllabus.The Test: Mental Ability, Analytical & Logical Reasoning - 8 (2014-2013) MCQs are made for UPSC 2025 Exam. Find important definitions, questions, notes, meanings, examples, exercises, MCQs and online tests for Test: Mental Ability, Analytical & Logical Reasoning - 8 (2014-2013) below.
Solutions of Test: Mental Ability, Analytical & Logical Reasoning - 8 (2014-2013) questions in English are available as part of our course for UPSC & Test: Mental Ability, Analytical & Logical Reasoning - 8 (2014-2013) solutions in Hindi for UPSC course. Download more important topics, notes, lectures and mock test series for UPSC Exam by signing up for free. Attempt Test: Mental Ability, Analytical & Logical Reasoning - 8 (2014-2013) | 20 questions in 30 minutes | Mock test for UPSC preparation | Free important questions MCQ to study for UPSC Exam | Download free PDF with solutions
Test: Mental Ability, Analytical & Logical Reasoning - 8 (2014-2013) - Question 1

There are seven persons up on a ladder, A, B, C, D, E, F and G (not in that order). A is further up than E but is lower than C. B is in the middle. G is between A and B. E is between B and F. If F is between E and D, the person on the bottom step of the ladder will be

[2014]

Detailed Solution for Test: Mental Ability, Analytical & Logical Reasoning - 8 (2014-2013) - Question 1


D is at the bottom step of the ladder.

Test: Mental Ability, Analytical & Logical Reasoning - 8 (2014-2013) - Question 2

Six identical cards are placed on a table. Each card has number '1' marked on one side and number '2' marked on its other side. All the six cards are placed in such a manner that the number '1' is on the upper side. In one try, exactly four (neither more nor less) cards are turned upside down. In how many least number of tries can the cards be turned upside down such that all the six cards show number '2' on the upper side?

[2014]

Detailed Solution for Test: Mental Ability, Analytical & Logical Reasoning - 8 (2014-2013) - Question 2

Test: Mental Ability, Analytical & Logical Reasoning - 8 (2014-2013) - Question 3

Out of a total of 120 musicians in a club, 5% can play all the three instruments, guitar, violin and flute. It so happens that the number of musicians who can play any two and only two of the above instruments is 30. The number of musicians who can play the guitar alone is 40. What is the total number of those who can play violin alone or flute alone?

[2014]

Detailed Solution for Test: Mental Ability, Analytical & Logical Reasoning - 8 (2014-2013) - Question 3


a + b + c + d + e + f + g = 120

g = 6       ...(1)
c + b + e = 30        ...(2)
a = 40       ...(3)
So, a + b + c + e + d + f + g = 120    ...(4)
From (1), (2), (3) & (4)
40 + 30 + d + f + 6 = 120
d + f = 120 – 76
d + f = 44

Test: Mental Ability, Analytical & Logical Reasoning - 8 (2014-2013) - Question 4

There are 50 students admitted to a nursery class. Some students can speak only English and some can speak only Hindi. 10 students can speak both English and Hindi. If the number of students who can speak English is 21, then how many students can speak Hindi, how many can speak only Hindi and how many can speak only English?

[2014]

Detailed Solution for Test: Mental Ability, Analytical & Logical Reasoning - 8 (2014-2013) - Question 4


Students who can speak Hindi = 29 + 10 = 39
Students who can speak only Hindi = 50 – 21 = 29
Students who can speak only English = 50 – 29 – 10 = 11

Test: Mental Ability, Analytical & Logical Reasoning - 8 (2014-2013) - Question 5

Six books are labelled A, B, C, D, E and F and are placed side by side. Books B, C, E and F have green covers while others have yellow covers. Books A, B and D are new while the rest are old volumes. Books A, B and C are law reports while the rest are medical extracts. Which two books are old medical extracts and have green covers?

[2014]

Detailed Solution for Test: Mental Ability, Analytical & Logical Reasoning - 8 (2014-2013) - Question 5


So, E and F are old medical extracts and have green covers.

Test: Mental Ability, Analytical & Logical Reasoning - 8 (2014-2013) - Question 6

A, B, C, D, E, F are members of a family. They are engineer, stenographer, doctor, draughtsman, lawyer and judge (not in order). A, the engineer is married to the lady stenographer. The judge is married to the lawyer. F, the draughtsman is the son of B and brother of E. C, the lawyer is the daughter-in-law of D. E is the unmarried doctor. D is the grandmother of F. There are two married couples in the family.

Q. What is the profession of B?

[2014]

Detailed Solution for Test: Mental Ability, Analytical & Logical Reasoning - 8 (2014-2013) - Question 6


Judge

Test: Mental Ability, Analytical & Logical Reasoning - 8 (2014-2013) - Question 7

A, B, C, D, E, F are members of a family. They are engineer, stenographer, doctor, draughtsman, lawyer and judge (not in order). A, the engineer is married to the lady stenographer. The judge is married to the lawyer. F, the draughtsman is the son of B and brother of E. C, the lawyer is the daughter-in-law of D. E is the unmarried doctor. D is the grandmother of F. There are two married couples in the family.

Q. Which of the following is/are a couple/couples?

[2014]

Detailed Solution for Test: Mental Ability, Analytical & Logical Reasoning - 8 (2014-2013) - Question 7


Couples are AD & BC

Test: Mental Ability, Analytical & Logical Reasoning - 8 (2014-2013) - Question 8

A, B, C, D, E, F are members of a family. They are engineer, stenographer, doctor, draughtsman, lawyer and judge (not in order). A, the engineer is married to the lady stenographer. The judge is married to the lawyer. F, the draughtsman is the son of B and brother of E. C, the lawyer is the daughter-in-law of D. E is the unmarried doctor. D is the grandmother of F. There are two married couples in the family.

Q. What is the profession of D?

[2014]

Detailed Solution for Test: Mental Ability, Analytical & Logical Reasoning - 8 (2014-2013) - Question 8


Stenographer

Test: Mental Ability, Analytical & Logical Reasoning - 8 (2014-2013) - Question 9

If the 3rd day of a month is Monday, which one of the following will be the fifth day from 21st of this month?

[2014]

Detailed Solution for Test: Mental Ability, Analytical & Logical Reasoning - 8 (2014-2013) - Question 9

Tuesday
3rd ⇒ Monday + 7
10th ⇒ Monday + 7
17th ⇒ Monday + 7
24th ⇒ Monday
Fifth day from 21st is 25th day.
So, on 25th day is Tuesday.

Test: Mental Ability, Analytical & Logical Reasoning - 8 (2014-2013) - Question 10

In a row 'A' is in the 11th position from the left and 'B' is in the 10th position from the right. If ‘A’ and ‘B’ interchange, then 'A' becomes 18th from the left. How many persons are there in the row other than 'A' and 'B'?

[2014]

Detailed Solution for Test: Mental Ability, Analytical & Logical Reasoning - 8 (2014-2013) - Question 10


No. of students between A & B in the 1st arrangement = 17 – 11 = 6
∴ Total no. of students except A & B is, = 10 + 6 + 9 = 25

Test: Mental Ability, Analytical & Logical Reasoning - 8 (2014-2013) - Question 11

Examine the following statements:
1. George attends Music classes on Monday.
2. He attends Mathematics classes on Wednesday.
3. His Literature classes are not on Friday.
4. He attends History classes on the day following the day of his Mathematics classes.
5. On Tuesday, he attends his sports classes.
If he attends just one subject in a day and his Sunday is free, then he is also free on

[2014]

Detailed Solution for Test: Mental Ability, Analytical & Logical Reasoning - 8 (2014-2013) - Question 11

According to question,

So, Friday is free.

Test: Mental Ability, Analytical & Logical Reasoning - 8 (2014-2013) - Question 12

Four persons, Alok, Bhupesh, Chander and Dinesh have a total of ₹ 100 among themselves. Alok and Bhupesh between them have as much money as Chander and Dinesh between them, but Alok has more money than Bhupesh; and Chander has only half the money that Dinesh has. Alok has in fact ₹ 5 more than Dinesh has. Who has the maximum amount of money?

[2014]

Detailed Solution for Test: Mental Ability, Analytical & Logical Reasoning - 8 (2014-2013) - Question 12

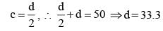
a + b + c + d = 100
Also, a + b = c + d = 50

∴ d > c
Also, a > b & between a and d, a = d + 5
∴ a > d
∴ Alok (a) has the maximum money.

Test: Mental Ability, Analytical & Logical Reasoning - 8 (2014-2013) - Question 13

If political leadership fails to emerge, there is Q likelihood of military taking over power in developing countries. Radical student groups or labour may try to raise revolution but they are not likely to compete with the military. Military intervention, rule, and withdrawal from politics is closely related to a society's level of political development."

In the context of political development, the assumption in the above passage is that

[2014]

Test: Mental Ability, Analytical & Logical Reasoning - 8 (2014-2013) - Question 14

Given the statement: "Buses are the cause of more accidents than cars, and trucks cause fewer accidents than buses", which of the following conclusions can we draw?

[2014]

Test: Mental Ability, Analytical & Logical Reasoning - 8 (2014-2013) - Question 15

The number of deaths among the army personnel is 8 in 1000, but among the civilian population it is 20 per 1000. Which one of the following inferences can be drawn from this statement?

[2014]

Test: Mental Ability, Analytical & Logical Reasoning - 8 (2014-2013) - Question 16

The letters L, M, N, O, P, Q, R, S and T in their order are substituted by nine integers 1 to 9 but not in that order. 4 is assigned to P. The difference between P and T is 5. The difference between N and T is 3. What is the integer assigned to N?

[2014]

Detailed Solution for Test: Mental Ability, Analytical & Logical Reasoning - 8 (2014-2013) - Question 16


Difference between P & T is 5 i.e., T = 5 + 4 = 9
Difference between N & T is 3 i.e., N = 9 – 3 = 6
So, integer assigned to N = 6

Test: Mental Ability, Analytical & Logical Reasoning - 8 (2014-2013) - Question 17

In a group of six women there are four dancers, four vocal musicians, one actress and three violinists. Girija and Vanaja are among the violinists while Jalaja and Shailaja do not know how to play on the violin. Shailaja and Tanuja are among the dancers. Jalaja, Vanaja, Shailaja and Tanuja are all vocal musicians and two of them are also violinists. If Pooja is an actress, who among the following is certainly a dancer and a violinist?

[2014]

Detailed Solution for Test: Mental Ability, Analytical & Logical Reasoning - 8 (2014-2013) - Question 17

Test: Mental Ability, Analytical & Logical Reasoning - 8 (2014-2013) - Question 18

A question paper must have a question on one of the eight poets : A, B, C, D, E, F, G or H. The first four belong to the medieval period while the rest are considered modern poets. Generally, modern poets figure in the question paper in alternate years. Generally those who like H like G also; and those who like F like E also. The paper-setter does not like to ask about F as he has written a book on F, but he likes F. Last year, the paper contained a question on A. On the basis of the information given, this year's paper is most likely to contain a question on

[2014]

Detailed Solution for Test: Mental Ability, Analytical & Logical Reasoning - 8 (2014-2013) - Question 18

Medieval Period Poets = A, B, C, D Modern Period Poets = E, F, G, H
Option (a) is eliminated as it is a modern poet. Question on modern poet will come in next year.
Option (c) is eliminated as the paper-setter does not like to ask about F.
Option (b) is appropriate as the paper-setter likes F and those who like F like (E) also.

Test: Mental Ability, Analytical & Logical Reasoning - 8 (2014-2013) - Question 19

Four friends A, B, C and D distribute some money among themselves in such a manner that A gets one less than B, C gets 5 more than D, D gets 3 more than B. Who gets the smallest amount?

[2013]

Detailed Solution for Test: Mental Ability, Analytical & Logical Reasoning - 8 (2014-2013) - Question 19

According to question,
A = B – 1
B = A + 1
C = D + 5
D = B + 3
According to above equation, we get except A, all others got some more amounts. So, A gets the smallest amount.

Test: Mental Ability, Analytical & Logical Reasoning - 8 (2014-2013) - Question 20

In a class of 45 students, a boy is ranked 20th. When two boys joined, his rank was dropped by one. What is his new rank from the end?

[2013]

Detailed Solution for Test: Mental Ability, Analytical & Logical Reasoning - 8 (2014-2013) - Question 20

Initial strength of class = 45
Now, new strength = 47
The boy’s rank is dropped by one Now, his rank becomes 21.
Total number of boys in class = Boy’s rank from starting + Boy’s rank from end – 1
∴ Boy’s rank from end = 47 – 21 + 1 = 27

Information about Test: Mental Ability, Analytical & Logical Reasoning - 8 (2014-2013) Page
In this test you can find the Exam questions for Test: Mental Ability, Analytical & Logical Reasoning - 8 (2014-2013) solved & explained in the simplest way possible. Besides giving Questions and answers for Test: Mental Ability, Analytical & Logical Reasoning - 8 (2014-2013), EduRev gives you an ample number of Online tests for practice
Download as PDF