UPSC Exam  >  UPSC Tests  >  UPSC CSE Prelims Paper 2 Practice Test - 2 - UPSC MCQ

UPSC CSE Prelims Paper 2 Practice Test - 2 - UPSC MCQ


Test Description

30 Questions MCQ Test - UPSC CSE Prelims Paper 2 Practice Test - 2

UPSC CSE Prelims Paper 2 Practice Test - 2 for UPSC 2026 is part of UPSC preparation. The UPSC CSE Prelims Paper 2 Practice Test - 2 questions and answers have been prepared according to the UPSC exam syllabus.The UPSC CSE Prelims Paper 2 Practice Test - 2 MCQs are made for UPSC 2026 Exam. Find important definitions, questions, notes, meanings, examples, exercises, MCQs and online tests for UPSC CSE Prelims Paper 2 Practice Test - 2 below.
Solutions of UPSC CSE Prelims Paper 2 Practice Test - 2 questions in English are available as part of our course for UPSC & UPSC CSE Prelims Paper 2 Practice Test - 2 solutions in Hindi for UPSC course. Download more important topics, notes, lectures and mock test series for UPSC Exam by signing up for free. Attempt UPSC CSE Prelims Paper 2 Practice Test - 2 | 80 questions in 120 minutes | Mock test for UPSC preparation | Free important questions MCQ to study for UPSC Exam | Download free PDF with solutions
UPSC CSE Prelims Paper 2 Practice Test - 2 - Question 1

If Q means 'add to', J means 'multiply by', T means 'subtract from' and K means 'divide by' then 40 K 4 Q 5 J 2 T 6 =?

Detailed Solution for UPSC CSE Prelims Paper 2 Practice Test - 2 - Question 1
Using Correct Symbols, we have

Given expression = 40 / 4 + 5 x 2 - 6 = 10 + 10 - 6 = 14

UPSC CSE Prelims Paper 2 Practice Test - 2 - Question 2

Present ages of Rajeev and Anand are in the ratio of 7: 10 respectively. Five years hence, the ratio of their ages will become 8: 11 respectively. If the Sum of the present age of Rajeev and Anand is ab. then, find what the unit digit of (ab) is?

Detailed Solution for UPSC CSE Prelims Paper 2 Practice Test - 2 - Question 2

Let the present ages of Rajeev and Anand be 7x and 10x years respectively.

Then,

⇒ 77x + 55 = 80x + 40

⇒ 3x = 15

⇒ x = 5

So, the present ages of Rajeev and Anand are (7 x 5)and (10 x 5) respectively.

The sum of their ages = (35 + 50) = 85 Hence, a = 8 and b = 5

Then, ab = 85

We know unit digit of 8 repeated after 4 powers. So, unit digit of 85 = unit digit of 81 ⇒ 8

UPSC CSE Prelims Paper 2 Practice Test - 2 - Question 3

Excluding stoppages, the speed of a train is 60 km/h and including stoppages the speed of the train is 50 km/h. For how much time does the train stops per hour?

Detailed Solution for UPSC CSE Prelims Paper 2 Practice Test - 2 - Question 3
Due to stoppages, train covers 10 km less.

Time taken to cover 10 km

UPSC CSE Prelims Paper 2 Practice Test - 2 - Question 4

One-way governments can decrease air pollution is to impose a tax on industrial carbon dioxide emissions. But why should governments consider a carbon tax when they could control emissions by establishing energy efficiency and conservation standards, by legislating against coal use, or by increasing investment in nuclear? The great virtue of such a tax is that it would provide incentives for industry to achieve emission reductions. Because oil emits more carbon dioxide per unit of energy generated than does natural gas, and coal more than oil, a carbon tax would vary with the type of fuel. Such a tax would induce industry to substitute less-polluting fuels for those carrying a higher tax and also to reduce the total use of energy.

Q. Which one of the following circumstances would most seriously undermine the conclusion “Such a tax would induce industry to substitute less- polluting fuels for those carrying a higher tax”

Detailed Solution for UPSC CSE Prelims Paper 2 Practice Test - 2 - Question 4
From the passage it can be inferred that author mentioned that such a tax would induce industry to substitute less-polluting fuels for those carrying a higher tax because author thinks that the fuel taxed the highest costs considerably less to buy than fuel for those carrying higher tax.

UPSC CSE Prelims Paper 2 Practice Test - 2 - Question 5

"Popular art" has a number of meanings, impossible to define with any precision, which range from folklore to junk. The poles are clear enough, but the middle tends to blur. The Hollywood Western of the 1930‘s, for example, has elements of folklore, but is closer to junk than to high art or folk art. The case of Giuseppe Verdi is an interesting one: he took a popular genre, bourgeois melodrama set to music and, without altering its fundamental nature, transmuted it into high art. This remains one of the greatest achievements in music, and one that cannot be fully appreciated without recognizing the essential trashiness of the genre. As an example of such a transmutation, consider what Verdi made of the typical political elements of nineteenth-century opera. Generally, in the plots of these operas, a hero or heroine— usually portrayed only as an individual, unfettered by class—is caught between the immoral corruption of the aristocracy and the doctrinaire rigidity or secret greed of the leaders of the proletariat. Verdi transforms this naive and unlikely formulation with music of extraordinary energy and rhythmic vitality, music more subtle than it seems at first hearing. There are scenes and arias that still sound like calls to arms and were clearly understood as such when they were first performed. Such pieces lend an immediacy to the otherwise veiled political message of these operas and call up feelings beyond those of the opera itself. Or consider Verdi’s treatment of character. Before Verdi, there were rarely any characters at all in musical drama, only a series of situations which allowed the singers to express a series of emotional states. Any attempt to find coherent psychological portrayal in these operas is misplaced ingenuity. The only coherence was the singer’s vocal technique.

Q. According to the passage, the immediacy of the political message in Verdi’s operas stems from the

Detailed Solution for UPSC CSE Prelims Paper 2 Practice Test - 2 - Question 5
In the passage it is mentioned that "Verdi transforms this naive and unlikely formulation with music of extraordinary energy and rhythmic vitality, music more subtle than it seems at first hearing.” Implies that the immediacy of the political message in Verdi’s operas stems from the vitality and subtlety of the music.

UPSC CSE Prelims Paper 2 Practice Test - 2 - Question 6

"Popular art" has a number of meanings, impossible to define with any precision, which range from folklore to junk. The poles are clear enough, but the middle tends to blur. The Hollywood Western of the 1930‘s, for example, has elements of folklore, but is closer to junk than to high art or folk art. The case of Giuseppe Verdi is an interesting one: he took a popular genre, bourgeois melodrama set to music and, without altering its fundamental nature, transmuted it into high art. This remains one of the greatest achievements in music, and one that cannot be fully appreciated without recognizing the essential trashiness of the genre. As an example of such a transmutation, consider what Verdi made of the typical political elements of nineteenth-century opera. Generally, in the plots of these operas, a hero or heroine— usually portrayed only as an individual, unfettered by class—is caught between the immoral corruption of the aristocracy and the doctrinaire rigidity or secret greed of the leaders of the proletariat. Verdi transforms this naive and unlikely formulation with music of extraordinary energy and rhythmic vitality, music more subtle than it seems at first hearing. There are scenes and arias that still sound like calls to arms and were clearly understood as such when they were first performed. Such pieces lend an immediacy to the otherwise veiled political message of these operas and call up feelings beyond those of the opera itself. Or consider Verdi’s treatment of character. Before Verdi, there were rarely any characters at all in musical drama, only a series of situations which allowed the singers to express a series of emotional states. Any attempt to find coherent psychological portrayal in these operas is misplaced ingenuity. The only coherence was the singer’s vocal technique.

Q. According to the passage, all of the following characterize musical drama before Verdi EXCEPT:

Detailed Solution for UPSC CSE Prelims Paper 2 Practice Test - 2 - Question 6
In the passage it is mentioned that "Before Verdi, there were rarely any characters at all in musical drama” implies that before Verdimusic was not used for the purpose of defining a character.

UPSC CSE Prelims Paper 2 Practice Test - 2 - Question 7

"Popular art" has a number of meanings, impossible to define with any precision, which range from folklore to junk. The poles are clear enough, but the middle tends to blur. The Hollywood Western of the 1930‘s, for example, has elements of folklore, but is closer to junk than to high art or folk art. The case of Giuseppe Verdi is an interesting one: he took a popular genre, bourgeois melodrama set to music and, without altering its fundamental nature, transmuted it into high art. This remains one of the greatest achievements in music, and one that cannot be fully appreciated without recognizing the essential trashiness of the genre. As an example of such a transmutation, consider what Verdi made of the typical political elements of nineteenth-century opera. Generally, in the plots of these operas, a hero or heroine— usually portrayed only as an individual, unfettered by class—is caught between the immoral corruption of the aristocracy and the doctrinaire rigidity or secret greed of the leaders of the proletariat. Verdi transforms this naive and unlikely formulation with music of extraordinary energy and rhythmic vitality, music more subtle than it seems at first hearing. There are scenes and arias that still sound like calls to arms and were clearly understood as such when they were first performed. Such pieces lend an immediacy to the otherwise veiled political message of these operas and call up feelings beyond those of the opera itself. Or consider Verdi’s treatment of character. Before Verdi, there were rarely any characters at all in musical drama, only a series of situations which allowed the singers to express a series of emotional states. Any attempt to find coherent psychological portrayal in these operas is misplaced ingenuity. The only coherence was the singer’s vocal technique.

Q. It can be inferred that the author regards the independence from social class of the heroes and heroines of nineteenth- century opera as

Detailed Solution for UPSC CSE Prelims Paper 2 Practice Test - 2 - Question 7
from the passage it can be concluded that according to the author the independence from social class of the heroes and heroines of nineteenth-century opera is a plot convention with no real connection to political reality.

UPSC CSE Prelims Paper 2 Practice Test - 2 - Question 8

Although pathogenic organisms constantly alight on the skin, they find it a very unfavourable environment and, in the absence of injury, have great difficulty colonizing it. This "self-sterilizing" capacity of the skin results from the tendency of all well-developed ecosystems toward homeostasis, or the maintenance of the status quo. Species that typically live in

soil, water, and elsewhere rarely multiply on the skin. Undamaged skin is also unfavourable to most human pathogens. The skin is too acid and too arid for some species. The constant shedding of the surface skin layers further hinders the establishment of invaders. The most interesting defence mechanism, however, results from the metabolic activities of the resident flora. Unsaturated fatty acids, an important component of the lipids in sebum collected from the skin surface, inhibit the growth of several bacterial and fungal cutaneous pathogens. These acids are a metabolic product of certain gram-positive members of the cutaneous community, which break down the more complex lipids in freshly secreted sebum.

Q. The primary purpose of the passage is to

Detailed Solution for UPSC CSE Prelims Paper 2 Practice Test - 2 - Question 8
From the passage it can be concluded that the purpose of the passage is to describe mechanisms by which the skin protects itself against pathogens

UPSC CSE Prelims Paper 2 Practice Test - 2 - Question 9

Although pathogenic organisms constantly alight on the skin, they find it a very unfavourable environment and, in the absence of injury, have great difficulty colonizing it. This "self-sterilizing" capacity of the skin results from the tendency of all well-developed ecosystems toward homeostasis, or the maintenance of the status quo. Species that typically live in

soil, water, and elsewhere rarely multiply on the skin. Undamaged skin is also unfavourable to most human pathogens. The skin is too acid and too arid for some species. The constant shedding of the surface skin layers further hinders the establishment of invaders. The most interesting defence mechanism, however, results from the metabolic activities of the resident flora. Unsaturated fatty acids, an important component of the lipids in sebum collected from the skin surface, inhibit the growth of several bacterial and fungal cutaneous pathogens. These acids are a metabolic product of certain gram-positive members of the cutaneous community, which break down the more complex lipids in freshly secreted sebum.

Q. The "resident flora” mentioned refer to

Detailed Solution for UPSC CSE Prelims Paper 2 Practice Test - 2 - Question 9
From the passage it can be inferred that by residual flora author implies certain gram positive members of the cutaneous community

UPSC CSE Prelims Paper 2 Practice Test - 2 - Question 10

Directions : Symbols %, #, $, © are used with different meanings as explained below:

1. ‘P @ Q’ means ‘P is not greater than Q’.

2. ‘P % Q’ means ‘P is neither greater than nor equal to Q’.

3. ‘P # Q’ means ‘P is neither smaller than nor equal to Q’.

4. ‘P $ Q’ means ‘P is neither smaller than nor greater than Q’.

5. ‘P © Q’ means ‘P is not smaller than Q’.

Q. Three statements showing relationships have been given, which are followed by two conclusions (1) and (2). Assuming that the given statements are true, find out which conclusions(s) is/are definitely true.

Statements: W @ V, V # X, Y © V.

Conclusions:

X % Y

  • X $ W

    Detailed Solution for UPSC CSE Prelims Paper 2 Practice Test - 2 - Question 10

    UPSC CSE Prelims Paper 2 Practice Test - 2 - Question 11

    Read the following information carefully and answer the questions that follow—

    A, B, C, D, E and F are six students procuring their Master’s Degree in six different subjects—Data science, Finance, Criminal Justice, Fine arts, Economics and Music.

    • Two of them stay in hostel, two stay as paying guest (PG) and the remaining two stay at their home.

    • C does not stay as PG and studies Fine Arts.

    • The students studying Economics and Finance do not stay as PG.

    • E studies Music and D studies, Criminal Justice. F and D stay in Hostel. E stays as PG and B stays at home.

    Q. Who studies Data science?

    Detailed Solution for UPSC CSE Prelims Paper 2 Practice Test - 2 - Question 11

    Given the information:

    1. C studies Fine Arts and does not stay as PG.
    2. The students studying Economics and Finance do not stay as PG.
    3. E studies Music and stays as PG.
    4. D studies Criminal Justice and stays in Hostel.
    5. F stays in Hostel.
    6. B stays at home.

    From this:

    • C studies Fine Arts and is either in Hostel or at Home.
    • E studies Music and is PG.
    • D studies Criminal Justice and is in Hostel.
    • F is in Hostel.
    • B is at Home.

    Therefore:

    • Since B and F are not PG, they must study Economics or Finance (only possible subjects left for B and F).
    • Hence, neither B nor F can study Data Science.
    • E studies Music, so cannot study Data Science.
    • D studies Criminal Justice, so cannot study Data Science.
    • C studies Fine Arts, so cannot study Data Science.

    The only student left to study Data Science, not listed but implied, is A.

    Thus, the correct answer is: 4. None of these.

    UPSC CSE Prelims Paper 2 Practice Test - 2 - Question 12

    Read the following information carefully and answer the questions that follow—

    A, B, C, D, E and F are six students procuring their Master’s Degree in six different subjects—Data science, Finance, Criminal Justice, Fine arts, Economics and Music.

    Two of them stay in hostel, two stay as paying guest (PG) and the remaining two stay at their home.

  • C does not stay as PG and studies Fine Arts.

  • The students studying Economics and Finance do not stay as PG.

  • E studies Music and D studies, Criminal Justice. F and D stay in Hostel. E stays as PG and B stays at home.

    Q. Which of the following combination of subjects and place of stay is not correct?

    Detailed Solution for UPSC CSE Prelims Paper 2 Practice Test - 2 - Question 12

    UPSC CSE Prelims Paper 2 Practice Test - 2 - Question 13

    Read the following information carefully and answer the questions that follow—

    A, B, C, D, E and F are six students procuring their Master’s Degree in six different subjects—Data science, Finance, Criminal Justice, Fine arts, Economics and Music.

    Two of them stay in hostel, two stay as paying guest (PG) and the remaining two stay at their home.

  • C does not stay as PG and studies Fine Arts.

  • The students studying Economics and Finance do not stay as PG.

  • E studies Music and D studies, Criminal Justice. F and D stay in Hostel. E stays as PG and B stays at home.

    Q. Which of the following pairs of students stay one each at hostel and at home?

    Detailed Solution for UPSC CSE Prelims Paper 2 Practice Test - 2 - Question 13

    UPSC CSE Prelims Paper 2 Practice Test - 2 - Question 14

    Read the following information carefully and answer the questions that follow—

    A, B, C, D, E and F are six students procuring their Master’s Degree in six different subjects—Data science, Finance, Criminal Justice, Fine arts, Economics and Music.

    Two of them stay in hostel, two stay as paying guest (PG) and the remaining two stay at their home.

  • C does not stay as PG and studies Fine Arts.

  • The students studying Economics and Finance do not stay as PG.

  • E studies Music and D studies, Criminal Justice. F and D stay in Hostel. E stays as PG and B stays at home.

    Q. Which subject does B study?

    Detailed Solution for UPSC CSE Prelims Paper 2 Practice Test - 2 - Question 14

    UPSC CSE Prelims Paper 2 Practice Test - 2 - Question 15

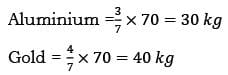
    Consider two alloys A and B. 70 kg of alloy A is mixed with 90 kg of alloy B. A contains Aluminium and Gold in the ratio 3: 4, and B contains them in the ratio 4: 5 respectively. What is the ratio of Gold to Aluminium in the mixture?

    Detailed Solution for UPSC CSE Prelims Paper 2 Practice Test - 2 - Question 15

    In 70 kg of alloy A,

    In 90 kg of alloy B,

    UPSC CSE Prelims Paper 2 Practice Test - 2 - Question 16

    A Salesman charges sales tax of x% upto Rs. 4,000 and above it he charges y%.

    A customer pays total tax of Rs 400, when he purchases the goods worth Rs. 6,000 and he pay’s the total tax of Rs. 2200 for the goods worth Rs. 24,000. The value of x and y is:

    Detailed Solution for UPSC CSE Prelims Paper 2 Practice Test - 2 - Question 16

    When customer purchases the good of worth 6000 tax paid =

    ⇒ 2x + y = 20 ............... (i)

    When customer purchases the good of worth 24000 tax paid =

    ⇒ x + 5y = 55.............. (ii)

    From (i) and (ii)

    x = 5 and y =10

    UPSC CSE Prelims Paper 2 Practice Test - 2 - Question 17

    For some time, scientists have believed that cholesterol plays a major role in heart disease because people with familial hypercholesterolemia, a genetic defect, have six to eight times the normal level of cholesterol in their blood and they invariably develop heart disease. Scientists also noticed that people with familial hypercholesterolemia appear to produce more LDL’s (low-density lipoproteins) than normal individuals. However, scientists wondered, could a genetic mutation that causes a slowdown in the removal of LDL’s from the blood also result in an increase in the synthesis of this cholesterol-carrying protein? Since scientists could not experiment on human body tissue, their knowledge of familial hypercholesterolemia was severely limited. However, a breakthrough came in the laboratories of Yoshio Watanabe of Kobe University in Japan in 1980. Watanabe noticed that a male rabbit in his colony had ten times the normal concentration of cholesterol in its blood. By appropriate breeding, Watanabe obtained a strain of rabbits that had very high cholesterol levels. These rabbits spontaneously developed heart disease. To his surprise, Watanabe further found that the rabbits, like humans with familial hypercholesterolemia, lacked LDL receptors. What scientists learned by studying the Watanabe rabbits is that the removal of the VLDL (very low-density lipoproteins) remnant requires the LDL receptor. Normally, the majority of the VLDL remnants go to the liver where they bind to LDL receptors and are degraded. In the Watanabe rabbit, due to a lack of LDL receptors on liver cells, the VLDL remnants remain in the blood and are eventually converted to LDL’s. The LDL receptors thus have a dual effect in controlling LDL levels. They are necessary to prevent over synthesis of LDL’s from VLDL remnants and they are necessary for the normal removal of LDL’s from the blood.

    Q. The passage supplies information to answer which of the following questions?

    Detailed Solution for UPSC CSE Prelims Paper 2 Practice Test - 2 - Question 17
    From the sentence "Normally, the majority of the VLDL remnants go to the liver where they bind to LDL receptors and are degraded. ” passage supplies information about the answer of "Where in the body are VLDL remnants degraded.”.

    UPSC CSE Prelims Paper 2 Practice Test - 2 - Question 18

    For some time, scientists have believed that cholesterol plays a major role in heart disease because people with familial hypercholesterolemia, a genetic defect, have six to eight times the normal level of cholesterol in their blood and they invariably develop heart disease. Scientists also noticed that people with familial hypercholesterolemia appear to produce more LDL’s (low-density lipoproteins) than normal individuals. However, scientists wondered, could a genetic mutation that causes a slowdown in the removal of LDL’s from the blood also result in an increase in the synthesis of this cholesterol-carrying protein? Since scientists could not experiment on human body tissue, their knowledge of familial hypercholesterolemia was severely limited. However, a breakthrough came in the laboratories of Yoshio Watanabe of Kobe University in Japan in 1980. Watanabe noticed that a male rabbit in his colony had ten times the normal concentration of cholesterol in its blood. By appropriate breeding, Watanabe obtained a strain of rabbits that had very high cholesterol levels. These rabbits spontaneously developed heart disease. To his surprise, Watanabe further found that the rabbits, like humans with familial hypercholesterolemia, lacked LDL receptors. What scientists learned by studying the Watanabe rabbits is that the removal of the VLDL (very low-density lipoproteins) remnant requires the LDL receptor. Normally, the majority of the VLDL remnants go to the liver where they bind to LDL receptors and are degraded. In the Watanabe rabbit, due to a lack of LDL receptors on liver cells, the VLDL remnants remain in the blood and are eventually converted to LDL’s. The LDL receptors thus have a dual effect in controlling LDL levels. They are necessary to prevent over synthesis of LDL’s from VLDL remnants and they are necessary for the normal removal of LDL’s from the blood.

    Q. According to the passage, by studying the Watanabe rabbits’ scientists learned that

    Detailed Solution for UPSC CSE Prelims Paper 2 Practice Test - 2 - Question 18
    In the passage it is mentioned that "What scientists learned by studying the Watanabe rabbits is that the removal of the VLDL (very low-density lipoproteins) remnant requires the LDL receptor. Normally, the majority of the VLDL remnants go to the liver where they bind to LDL receptors and are degraded.”

    UPSC CSE Prelims Paper 2 Practice Test - 2 - Question 19

    For some time, scientists have believed that cholesterol plays a major role in heart disease because people with familial hypercholesterolemia, a genetic defect, have six to eight times the normal level of cholesterol in their blood and they invariably develop heart disease. Scientists also noticed that people with familial hypercholesterolemia appear to produce more LDL’s (low-density lipoproteins) than normal individuals. However, scientists wondered, could a genetic mutation that causes a slowdown in the removal of LDL’s from the blood also result in an increase in the synthesis of this cholesterol-carrying protein? Since scientists could not experiment on human body tissue, their knowledge of familial hypercholesterolemia was severely limited. However, a breakthrough came in the laboratories of Yoshio Watanabe of Kobe University in Japan in 1980. Watanabe noticed that a male rabbit in his colony had ten times the normal concentration of cholesterol in its blood. By appropriate breeding, Watanabe obtained a strain of rabbits that had very high cholesterol levels. These rabbits spontaneously developed heart disease. To his surprise, Watanabe further found that the rabbits, like humans with familial hypercholesterolemia, lacked LDL receptors. What scientists learned by studying the Watanabe rabbits is that the removal of the VLDL (very low-density lipoproteins) remnant requires the LDL receptor. Normally, the majority of the VLDL remnants go to the liver where they bind to LDL receptors and are degraded. In the Watanabe rabbit, due to a lack of LDL receptors on liver cells, the VLDL remnants remain in the blood and are eventually converted to LDL’s. The LDL receptors thus have a dual effect in controlling LDL levels. They are necessary to prevent over synthesis of LDL’s from VLDL remnants and they are necessary for the normal removal of LDL’s from the blood.

    Q. The passage implies that Watanabe rabbits differ from normal rabbits in which of the following ways?

    Detailed Solution for UPSC CSE Prelims Paper 2 Practice Test - 2 - Question 19
    In the passage it is mentioned that “Watanabe further found that the rabbits, like humans with familial hypercholesterolemia, lacked LDL receptors.” Implies Watanabe rabbit’s blood contains more VLDL remnants than does the blood of normal rabbits.

    UPSC CSE Prelims Paper 2 Practice Test - 2 - Question 20

    "I want to criticize the social system, and to show it at work, at its most intense." Virginia Woolf’s provocative statement about her intentions in writing Mrs. Dalloway has regularly been ignored by the critics, since it highlights an aspect of her literary interests very different from the traditional picture of the "poetic” novelist concerned with examining states of reverie and vision and with following the intricate pathways of individual consciousness. In her novels, Woolf is deeply engaged by the questions of how individuals are shaped (or

    deformed) by their social environments, how historical forces impinge on people’s lives, how class, wealth, and gender help to determine people’s fates. Most of her novels are rooted in a realistically rendered social setting and in a precise historical time.Woolf’s focus on society has not been generally recognized because of her intense antipathy to propaganda in art. The pictures of reformers in her novels are usually satiric or sharply critical.Woolf detested what she called "preaching" in fiction, too, and criticized novelist D. H. Lawrence (among others) for working by this method. Woolf’s own social criticism is expressed in the language of observation rather than in direct commentary, since for her, fiction is a contemplative, not an active art. Woolf’s literary models were acute social observers like Chekhov and Chaucer. As she put it in The Common Reader, "It is safe to say that not a single law has been framed or one stone set upon another because of anything Chaucer said or wrote; and yet, as we read him, we are absorbing morality at every pore."

    Q. It can be inferred from the passage that Woolf chose Chaucer as a literary model because she believed that

    Detailed Solution for UPSC CSE Prelims Paper 2 Practice Test - 2 - Question 20
    In the passage it is mentioned that “It is safe to say that not a single law has been framed or one stone set upon another because of anything Chaucer said or wrote; and yet, as we read him, we are absorbing morality at every pore. ” Implies that Woolf chose Chaucer as a literary model because she believed that Chaucer’s writing was greatly, if subtly, effective in influencing the moral attitudes of his readers.

    UPSC CSE Prelims Paper 2 Practice Test - 2 - Question 21

    "I want to criticize the social system, and to show it at work, at its most intense." Virginia Woolf’s provocative statement about her intentions in writing Mrs. Dalloway has regularly been ignored by the critics, since it highlights an aspect of her literary interests very different from the traditional picture of the "poetic” novelist concerned with examining states of reverie and vision and with following the intricate pathways of individual consciousness. In her novels, Woolf is deeply engaged by the questions of how individuals are shaped (or

    deformed) by their social environments, how historical forces impinge on people’s lives, how class, wealth, and gender help to determine people’s fates. Most of her novels are rooted in a realistically rendered social setting and in a precise historical time.Woolf’s focus on society has not been generally recognized because of her intense antipathy to propaganda in art. The pictures of reformers in her novels are usually satiric or sharply critical.Woolf detested what she called "preaching" in fiction, too, and criticized novelist D. H. Lawrence (among others) for working by this method. Woolf’s own social criticism is expressed in the language of observation rather than in direct commentary, since for her, fiction is a contemplative, not an active art. Woolf’s literary models were acute social observers like Chekhov and Chaucer. As she put it in The Common Reader, "It is safe to say that not a single law has been framed or one stone set upon another because of anything Chaucer said or wrote; and yet, as we read him, we are absorbing morality at every pore."

    Q. It can be inferred from the passage that the most probable reason Woolf realistically described the social setting in the majority of her novels was that she

    Detailed Solution for UPSC CSE Prelims Paper 2 Practice Test - 2 - Question 21
    In the passage it is mentioned that “Woolf is deeply engaged by the questions of how individuals are shaped (or deformed) by their social environments, how historical forces impinge on people’s lives, how class, wealth, and gender help to determine people’s fates. Most of her novels are rooted in a realistically rendered social setting and in a precise historical time.” Implies that she was interested in the effect of a person’s social milieu on his or her character and actions.

    UPSC CSE Prelims Paper 2 Practice Test - 2 - Question 22

    A father is six times as old as his son and the mother is five times as old as the son. Let the age of son be "x" then the sum of the father's and the mother's age is [(x - 1)2 - 1] years. What is the age of the son?

    Detailed Solution for UPSC CSE Prelims Paper 2 Practice Test - 2 - Question 22

    Given, the age of son is “x”

    So, the age of father’s and mother’s be 6x and 5x respectively.

    So, according to the question,

    = 5x + 6x = [(x - 1)2 - 1]

    ⇒ 11x = x2 + 1 - 2x - 1

    ⇒ x2 = 13x

    ⇒ x = 13

    So, the age of the son is 13 years

    UPSC CSE Prelims Paper 2 Practice Test - 2 - Question 23

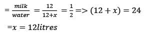
    The ratio of milk and water in a mixture of 24 liters is 1:1. How much water must be added to the mixture so that the ratio of milk and water be 1:2?

    Detailed Solution for UPSC CSE Prelims Paper 2 Practice Test - 2 - Question 23
    The quantity of milk in the original mixture

    Quantity of water = 24-12= 12

    Let quantity of water added = x

    UPSC CSE Prelims Paper 2 Practice Test - 2 - Question 24

    Find % change in the breadth of a rectangle if the length of a rectangle is

    doubled and the area remains fixed.

    Detailed Solution for UPSC CSE Prelims Paper 2 Practice Test - 2 - Question 24
    Area of rectangle = Length x breadth (fixed)

    UPSC CSE Prelims Paper 2 Practice Test - 2 - Question 25

    If 4+9= 18, 5+8=20 and 5+6 =15, then the value of 8+112=?

    Detailed Solution for UPSC CSE Prelims Paper 2 Practice Test - 2 - Question 25

    Let's look at the given operations and try to find a pattern:
    4+9 = 18
    5+8 = 20
    5+6 = 15

    It seems like the first number is being multiplied by the second number, and then the result is divided by 2:
    (4 * 9) / 2 = 18
    (5 * 8) / 2 = 20
    (5 * 6) / 2 = 15

    Now let's use the same pattern to find the value of 8+112:
    (8 * 112) / 2 = 896 / 2 = 448
    So, the value of 8+112 is 448 (option B).

    UPSC CSE Prelims Paper 2 Practice Test - 2 - Question 26

    Consider the following and answer the question based on it.

    1. Aayush’s playing schedule consists of Cricket, Hockey, Soccer, Tennis, and Volleyball from Monday to Saturday; each game is on one day, one day being a rest day.

    2. Cricket is played neither on the first day nor on last day but is played earlier than Tennis.

    3. Volleyball is played on the immediate next day of the tennis day.

    4. Hockey is played on the immediate previous day of the rest day.

      1. Volleyball and Soccer were played with a 2-day gap between them.

      2. Soccer is played on the day following the rest day.

    Q. Which of the following is a rest day?

    Detailed Solution for UPSC CSE Prelims Paper 2 Practice Test - 2 - Question 26

    Step 1: Identify the order of games played.

    • Since Cricket is not on the first or last day but before Tennis, the order is: [Cricket, _, _, _, Tennis].
    • Volleyball is played the day after Tennis, so the order becomes: [Cricket, _, _, Tennis, Volleyball].
    • Hockey is played the day before the rest day, so the order is: [Cricket, _, Hockey, Tennis, Volleyball].
    • Volleyball and Soccer have a 2-day gap, so the order is: [Cricket, _, Hockey, Tennis, Volleyball, _, Soccer].

    Step 2: Determine the position of Soccer.

    • Soccer is played the day after the rest day, so the order is: [Cricket, _, Hockey, Tennis, Volleyball, Rest, Soccer].

    Step 3: Determine the position of Volleyball.

    • Volleyball is played the day after Tennis, so the order is: [Cricket, _, Hockey, Tennis, Volleyball, Rest, Soccer].

    Step 4: Determine the position of Hockey.

    • Hockey is played the day before the rest day, so the order is: [Cricket, _, Hockey, Tennis, Volleyball, Rest, Soccer].

    Step 5: Determine the position of Cricket.

    • Cricket is not on the first or last day but before Tennis, so the order is: [Cricket, Soccer, Hockey, Tennis, Volleyball, Rest, Soccer].

    Step 6: Identify the rest day.

    • The rest day is the day after Hockey, so the order is: [Cricket, Soccer, Hockey, Tennis, Volleyball, Rest, Soccer].

    Final Answer

    The rest day is (c) Thursday.

    UPSC CSE Prelims Paper 2 Practice Test - 2 - Question 27

    Consider the following and answer the question based on it.

    1.  

      Aayush’s playing schedule consists of Cricket, Hockey, Soccer, Tennis, and Volleyball from Monday to Saturday; each game is on one day, one day being a rest day.

    2.  

      Cricket is played neither on the first day nor on last day but is played earlier than Tennis.

    3.  

      Volleyball is played on the immediate next day of the tennis day.

    4.  

      Hockey is played on the immediate previous day of the rest day.

      1.  

        Volleyball and Soccer were played with a 2-day gap between them.

      2.  

        Soccer is played on the day following the rest day.

     

    Q. Hockey and Volleyball days have a gap of how many days between them?

    Detailed Solution for UPSC CSE Prelims Paper 2 Practice Test - 2 - Question 27

    Explanation:


     


    • Cricket is not played on the first or last day, so it must be played on Tuesday, Wednesday, Thursday, or Friday.

    • Cricket is played earlier than Tennis, so Cricket cannot be played on Friday.

    • Therefore, Cricket is played on Tuesday, Wednesday, or Thursday.

    • Volleyball is played on the immediate next day of the tennis day, so Volleyball is played on Wednesday or Thursday.

    • Hockey is played on the immediate previous day of the rest day, so Hockey is played on Monday or Friday.

    • Soccer is played on the day following the rest day, so Soccer is played on Sunday or Saturday.

    • Since Cricket is not played on the first day, Hockey must be played on Friday.

    • Therefore, the schedule is as follows:

      • Monday: Hockey

      • Tuesday: Cricket

      • Wednesday: Volleyball

      • Thursday: Tennis

      • Friday: Rest day

      • Saturday: Soccer


      •  

    • Therefore, Hockey and Volleyball days have a gap of 4 days between them.


    •  

     

    UPSC CSE Prelims Paper 2 Practice Test - 2 - Question 28

    Consider the following and answer the question based on it.

    1. Aayush’s playing schedule consists of Cricket, Hockey, Soccer, Tennis, and Volleyball from Monday to Saturday; each game is on one day, one day being a rest day.

    2. Cricket is played neither on the first day nor on last day but is played earlier than Tennis.

    3. Volleyball is played on the immediate next day of the tennis day.

    4. Hockey is played on the immediate previous day of the rest day.

      1. Volleyball and Soccer were played with a 2-day gap between them.

      2. Soccer is played on the day following the rest day.

    Q. On which day is soccer played?

    Detailed Solution for UPSC CSE Prelims Paper 2 Practice Test - 2 - Question 28

    By systematically applying the constraints:

    1. HockeyRest, and Soccer must be consecutive (Hockey before Rest, Soccer after Rest).

    2. Cricket must precede Tennis, with Volleyball immediately after Tennis.

    3. Volleyball and Soccer must have a 2-day gap.

    Final Schedule:

    • Monday: Hockey

    • Tuesday: Rest

    • Wednesday: Soccer

    • Thursday: Cricket

    • Friday: Tennis

    • Saturday: Volleyball

    Key Validation:

    • Soccer is on Wednesday, fulfilling the 2-day gap with Volleyball (Saturday).

    • All other constraints (order of Cricket/Tennis/Volleyball, rest day placement) are satisfied.

    Soccer is played on Wednesday.

    UPSC CSE Prelims Paper 2 Practice Test - 2 - Question 29

    Consider the following and answer the question based on it.

    Aayush’s playing schedule consists of Cricket, Hockey, Soccer, Tennis, and Volleyball from Monday to Saturday; each game is on one day, one day being a rest day.

  • Cricket is played neither on the first day nor on last day but is played earlier than Tennis.

  • Volleyball is played on the immediate next day of the tennis day.

  • Hockey is played on the immediate previous day of the rest day.

    Volleyball and Soccer were played with a 2-day gap between them.

  • Soccer is played on the day following the rest day.

    Q. Which of the following is a correct statement?

    Detailed Solution for UPSC CSE Prelims Paper 2 Practice Test - 2 - Question 29
    The starting figure we start with when we read the first statement is

    Games are hockey, tennis, cricket, volleyball, and soccer.

    From the second and third clues (cricket is played neither on the first day nor on the last day but was played earlier than tennis, and volleyball was played on the day immediately following the tennis day), we know that tennis and volleyball should be together and also that cricket has to be somewhere before this.

    Visually this can be represented as:

    C ⇒ TV

    From the fourth and sixth clues we have:

    H-REST DAY’S

    Note: Putting it in a box signifies that there is no break between the items in the box.

    Once we have these two visual representations we can go back to our original figure and think as follows:

    Since cricket has to precede tennis and volleyball, and cricket is not on the first day we can have three possibilities of placing cricket viz., Tuesday, Wednesday or Thursday

    Possibility 1:

    This case is rejected because once we place cricket we would need to place tennis and volleyball in either Wednesday-Thursday or Thursday-Friday or Friday-Saturday. In each case, we would also need to place a 3-day having Hockey-Rest Day-Soccer. It can be easily seen that in any of these three situations under possibility 1, we do not have a complete 3-day period anywhere in the week. Thus, we can reject possibility 1.

    Possibility 2

    Rejected on the same logic as possibility 1. There is no availability of a 3-day having Hockey-Rest Day-Soccer.

    Possibility 3:

    This is the only possibility that would work, as in this case, the respective game order

    would be:

    UPSC CSE Prelims Paper 2 Practice Test - 2 - Question 30

    Correct the given equations by interchanging the two signs (10 - 14 ÷ 7 x 3 + 4 = 20)

    Detailed Solution for UPSC CSE Prelims Paper 2 Practice Test - 2 - Question 30

    Interchange of sign + and x makes the equation into 10 – 14 ÷ 7 + 3 x 4 = 10 - 2 + 3 × 4 = 20. Hence, option (b) is the correct answer.

     

     

    View more questions
    Information about UPSC CSE Prelims Paper 2 Practice Test - 2 Page
    In this test you can find the Exam questions for UPSC CSE Prelims Paper 2 Practice Test - 2 solved & explained in the simplest way possible. Besides giving Questions and answers for UPSC CSE Prelims Paper 2 Practice Test - 2, EduRev gives you an ample number of Online tests for practice
    Download as PDF